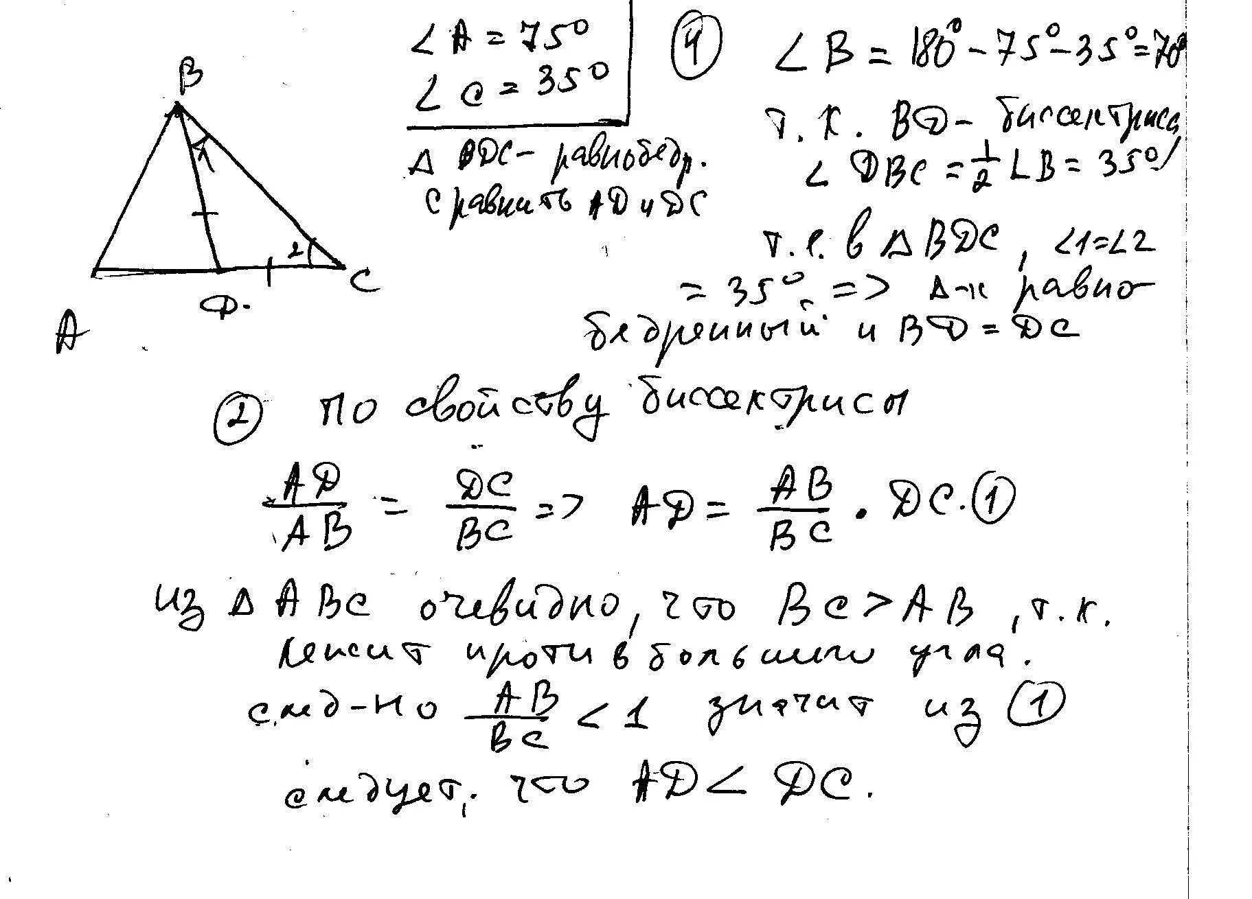
Отрезок вд биссектриса треугольника авсТреугольник абс аб=16см ac=20см. bd биссектриса треугольника abc bd<bc. отрезок ad биссектриса треугольника. треугольник bdad=bcac.Биссектриса треугольника авс. в треугольнике авс ад биссектриса. стороны на которые биссектриса делит сторону. биссектриса делит сторону ас.Задачи на биссектрису треугольника. биссектриса треугольника abc. биссектриса треугольника абс. задача на нахождение биссектрисы треугольника.Отрезок ак биссектриса треугольника авс ав 12 см. cd биссектриса треугольника abc cd. отрезок ak биссектриса треугольника abc ab 12. bd биссектриса треугольника abc bd<bc.Медиана перпендикулярна биссектрисе. биссектриса треугольника авс. перпендикулярные медианы. медианы перпендикулярны в треугольнике.Уравнение биссектрисы внешнего угла. медиана ae и cf проведенные к боковым сторонам bc и ab. отрезок cd биссектриса треугольника abc с основанием. как биссектриса делит сторону равнобедренного треугольника.Треугольник абс периметр 36. периметр треугольника абс. найти ab bc. найдите (ab→;bc→)..Отрезок вд биссектриса треугольника авсОтрезок ад биссектриса треугольника авс. отрезок ад биссектриса треугольника abc. отрезок ав биссектриса треугольника авс через точку. отрезок ad биссектриса треугольника abc через точку d.Биссектриса треугольника авс. доказать что каждая сторона треугольника меньше суммы двух других. треугольник abc с биссектрисой bd. докажите, что биссектриса треугольника меньше его полупериметра.Отрезок вд биссектриса треугольника авсБиссектриса в в равнобедренном треугольнике abc. треугольник авс равнобедренный с основанием. биссектриса равнобедренного треугольника абс. в равнобедренном треугольнике ab b -.Отрезок ад биссектриса треугольника авс. атрезок аб биссектриса треугольника абс.. отрезок ad биссектриса треугольника авс .через точку. отрезок ad биссектриса треугольника abc через точку d проведена прямая.Отрезок ак биссектриса треугольника. биссектриса треугольника это отрезок. биссектриса пересекающая сторону треугольника. треугольник сае, ак биссектриса.В треугольнике авс проведена биссектриса вк а 75 с 35. сравните отрезки ad и dc. в треугольнике авс проведена биссектриса вд а=75. в треугольнике авс проведена биссектриса вд угол а 75 угол с 35.Отрезок вк биссектриса треугольника авс через точку. отрезок bk биссектриса треугольника abc. отрезок вк биссектриса треугольника. отрезок вк биссектриса треугольника авс через точку к проведена.Отрезок вд биссектриса треугольника авсБиссектриса вд делит сторону ас треугольника. биссектриса ад треугольника авс делит сторону. сд биссектрисса треугольника авс. биссектриса треугольника авс делит сторону.Биссектриса треугольника bd. треугольник авс, вд - биссектриса. bd биссектриса треугольника abc bd<bc. равнобедренный прямоугольный треугольник авс биссектриса.Отрезок вд биссектриса треугольника авсБиссектриса треугольника abc. биссектриса треугольника авс делит сторону на отрезки. см биссектриса треугольника авс. задачи с биссектрисой.Биссектриса треугольника abc. биссектриса треугольника делит сторону на отрезке. невырожденный треугольник. биссектриса треугольника авс делит сторону.Отрезок ав биссектриса треугольника авс. отрезок ад биссектриса треугольника авс. отрещрк ад биссектриса. треугольна абс. атрезок аб биссектриса треугольника абс..Ab 8 см bc 8 см найдите ac. bd биссектриса треугольника abc bc - ab= 6см, ад =12см. ad = 4 bc = 5 ab + dc = 12 найти ab, dc, ac. дано ad bc ac биссектриса найти абс.Медианы треугольника авс. чему равна медиана в треугольнике. треугольник abc bd медиана. чему равна меридиана треугольника.Отрезок вд биссектриса треугольника авсЗадачи на биссектрису треугольника. площадь треугольника abc равна. нахождение площади треугольника с биссектрисой. задачи на нахождение медианы в треугольнике.Треугольник а б у биссектриса б к. биссектриса треугольника abc. bk биссектриса треугольника abc. треугольник авс медиана вм.Биссектриса треугольника авс. см биссектриса треугольника авс. касательная к окружности описанной около треугольника. касательная к описанной окружности треугольника.Отрезок bk биссектриса треугольника abc. отрезок искомая треугольника абс. отрезок ак биссектриса треугольника абс аб 12см. сторона аб треугольника авс продолжена за точку.В равнобедренном треугольнике авс с основанием ас. в равнобедренном треугольнике abc с основанием ac. в равнобедренном треугольнике ab b -. в равнобедренном треугольнике abc с ос.Bd биссектриса треугольника авсd. высота треугольника делит сторону на отрезки. высота треугольника делит сторону треугольника на отрезки. в треугольнике abc на стороне ac.В треугольнике авс биссектриса вд угол а 75 угол с 35. в треугольнике авс проведена биссектриса вд угол а 75 угол с 35. стороны треугольника с углами 75 75 30. угол авс,вд-биссектриса,угол авд=20°,вдс-?.Биссектриса ab. биссектриса вд делит сторону. найти сторону ab треугольника abc. биссектриса вд делит сторону ас треугольника.Отрезок вд биссектриса треугольника авсОтрезок вд биссектриса треугольника авсДоказать что треугольники равны. докажите что треугольники равны. как доказать что треугольники ровні?. треугольник авс = треугольнику adc.Отрезок вд биссектриса треугольника авсОтрезок ак биссектриса треугольника абс. отрезок ак биссектриса треугольника. отрезок ав биссектриса треугольника авс. отрезок ак биссектриса треугольника абц.