Удиви меня
1 tg 2 1 sinx 1
1 tg 2 1 sinx 1
1 tg 2 1 sinx 1
1 tg 2 1 sinx 1
1 tg 2 1 sinx 1
Sinx=12. sinx=1. sinx sqrt32. sqrt sinx*sinx.
1 tg 2 1 sinx 1
1 tg 2 1 sinx 1
1 tg 2 1 sinx 1
1 tg 2 1 sinx 1
Tgx<1 решить неравенство. решите уравнение tg3x корень из 3. tg x = -1. корень из 3 tgx+12sinx-1 0.
1 tg 2 1 sinx 1
1 tg 2 1 sinx 1
1 tg 2 1 sinx 1
1 tg 2 1 sinx 1
Tg x 12 решение. tg 2 x−2tgx+1=0. tg2x=3sinx. 1-tg2x1+tg2x.
1 tg 2 1 sinx 1
1 tg 2 1 sinx 1
Решить уравнение cos x 2. tg х2=(1-cos x)sin x. решение уравнения sinx+cosx=2. cos a 35 sin a>0.
1 tg 2 1 sinx 1
Sin x cos x формула. sinx cosx формула. sinx cosx таблица. tg x tg y формула.
Cos2x-корень из 2 sinx-1tgx-1 0. cos2x+корень из 3 sinx-1. cos2x-корень3sinx-1=0. 2cos2x+sinx-2 корень из 5tgx 0.
Sin x x cos x. sin2x cos2x. cos2x=1-sin(п2-x). sinx=1 х=.
1 tg 2 1 sinx 1
1 tg 2 1 sinx 1
1 tg 2 1 sinx 1
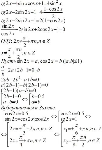
Решение уравнения tg x= - корень из 3. решите уравнение 3tg2x-12sinx+1 0. tg x 0 решение уравнения. решение уравнения tg x a.
2 sinx - 1 корень -cos +1. корни уравнений sin(x) cos(x) tg(x). 2sin^2(п4-x)-cos^22tgx-4=0. cos x * cos(2x) + корень из 3sinx**2=cosx.
1 tg 2 1 sinx 1
1 tg 2 1 sinx 1
Разложить на множители 1+2sinx. sin x -12 решение примера. тригонометрические уравнения решаемые разложением на множители. sin2x как разложить.
1 tg 2 1 sinx 1
1 tg 2 1 sinx 1
Cos 2x производная функции. y 2 cosx производная функции. производная функции y=sinx равна. найти производную y=sinx (x^2 - 2).
Предел tgx-sinxx 3. lim tgx sinx x 3. lim x стремится к 0 sinxx. предел sinxx.
1 tg 2 1 sinx 1
1 tg 2 1 sinx 1
1 tg 2 1 sinx 1
Sin2x cos2x формула. sin2x-sin2x формула. cos2+sin2 1 формула. 12 sinx cosx формула.
1 tg 2 1 sinx 1
1 tg 2 1 sinx 1