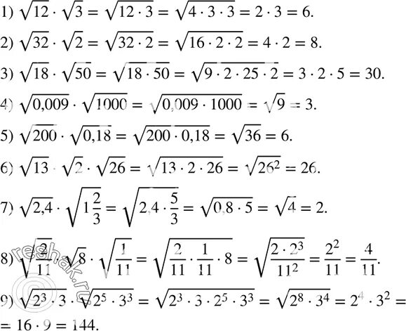
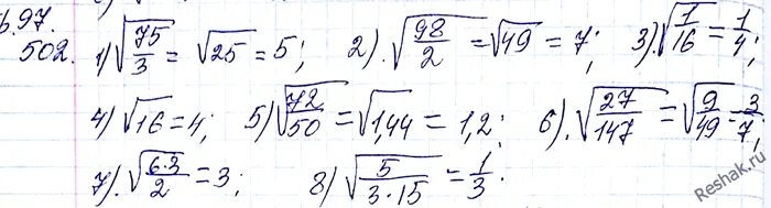
Корень из 75 умножить на корень из 3. корень 75 корень 3. упростите выражение корень из 75. корень 75 плюс корень 75.Корень 75 корень 3. корень 48. корень 98. 75 под корнем.Упростить выражение 3/корня из 3. корень 75. корень из 75. корень из 3.Значение выражения корень 75 корень 33 корня из 27. корень из 75/корень из 3. три корней из 27. корень 27/корень 3.Корень 8 75 корень 2 корень 3. 75 под корнем. 8.2.3. 2 в 8.Упростить корень 75 - 2 корень из 27 +4 корень из 48. корень из 75. упростите выражение 5корень 12-2корень из 27-3 корень из 3. упростить выражение корень 27.Корень 4 корень 7 корень 4 корень 7. пять седьмых 18 корней * на 98 корней. корень7-корень5 корень7+корень5. найдите значение выражения с корнями.Корень 75. корень 27. корень из 75. упростите выражение корень 75-корень 12 корень 3.Значение выражения корень 75 корень 3Как вычислить квадратный корень из 6. как вычислить 2 корня из 2. найдите значение выражения корень 8/корень 2.Корень 75. корень 27 корень 48 корень 75. упростить корень из 27. упростите выражение корень из 75.Упростите выражение корень 75-корень 12 корень 3. упростить выражение (корень 48- корень 2) * корень 3. упростить выражение (корень 2+корень 5)(2 - корень 5). упростить выражение корень х6у12.Извлечение квадратного корня из дроби. корень из дроби. извлечь корень из дроби. как найти корень из дроби.Значение выражения корень 75 корень 3Как вычислить 2 корня из 2. как выводить корень из дроби. как вычислить дробный корень. как найти корень из дроби.Степень и арифметический квадратный корень-свойства 8 класс. свойства арифметического квадратного корня 8 класс. арифметический квадратный корень примеры. карточка свойства арифметического квадратного корня 8 класс.Значение выражения корень 75 корень 3Умножение корня на корень в дроби. извлечение корня десятичных дробей. квадратный корень 16.16. извлечение квадратного корня из дроби.Найдите значение выражения корень 8/корень 2. корень из выражения. умножение под корнем. корень из произведения неотрицательных множителей равен.Упростить выражение квадратный корень из степени. упростить выражение корень из корня. выражение под корнем. упростить выражение с квадратным корнем.Значение выражения корень 75 корень 3Значение выражения корень 75 корень 3Значение выражения корень 75 корень 3Найдите значение выражения с корнями. найти значение выражения с квадратными корнями. вычислите значение корня. найдите значение выражения квадратный корень.13 под корнем. 4 корень 13. число под корнем является рациональным. является ли корень рациональным числом.Значение выражения корень 75 корень 3Найти значение выражения с корнями. корень из 11. как решать значение выражения с корнями. 11 под корнем.Как решать выражения с корнями. преобразование числовых выражений, содержащих квадратные корни.. преобразование выражений содержащих кв корни. как решать выражения под корнем.Значение выражения корень 75 корень 3Вынести множитель под знак корня 3√3 =. вынесите множитель из под знака корня со степенями. корень из 3 на 2. вынесите множитель из под знака корня x2/y.Корень квадрата 48. упростить выражение с корнями 5(3. упростите выражение 1 корень из 2. упростите выражение 3корень2-корень50) корень 3.Примеры вычисления квадратного корня из числа. как вычислить квадратный корень из числа 3. как решать корень из числа. как решать выражения под корнем.Упростите выражение 10 корень 3. упростите выражение корень -3.2 в квадрате. упростите выражение корень из -5 в квадрате. упростите выражение корень из (a-3)^2.Арифметический корень натуральной степени задания. арифметический корень натуральной степени 10 класс задания. арифметический корень натуральной степени 9 класс задания. задания 10 класс математика корень n ой степени.Значение выражения корень 75 корень 3Найти значение выражения с корнями. решение выражений с корнями и степенями. нахождение значений выражений с корнями. решение выражений с корнями и дробями.Значение выражения корень 75 корень 3(5-3) 2 с корнями упростите выражение. упростите выражение корень 3-корень 5 2-корень 2-корень 5 2. упростите выражение корень 5 корень 2. упростить выражение (-а) в степени 2.Значение выражения корень 75 корень 3Корень из 75. корень 3 степени из 75. корень 3 степени 75 умножить на 45. корень четвертой степени из 1296.Значение выражения корень 75 корень 3Косинус корня из 15. корень из 15 в квадрате минус 15 корень из 2 в квадрате. косинус три корня делить на два. косинус в квадрате умножить на 2.Как вычислить квадратный корень дроби. как вычислить квадратный корень из дроби. дроби с корнями примеры. решение выражений с корнями.Корень из 8 75 корень из 6. корень 6.75. корень 8 75 корень 2 корень 3. 75 умножить на корень из двух.Корень из 300. корень 12 cos в квадрате 13п/12*корень из 12 13п/12. корень из 300 корень из 300. корень из 300 cos 2 23 п/12-корень из 75.Как вычислить приближенное значение корня. приближенное вычисление квадратного корня. приближенные вычисления корней. вычислить приближенное значение корня.Внесите множитель под знак корня 6 корень 2. множитель из под знака корня 8 класс задание. вынесение множителя за знак корня 8 класс проверочная. сравните значения выражений корней.Значение выражения корень 75 корень 3Значение выражения корень 75 корень 3Формула корня квадратного раскрытие. квадратный корень из квадрата. квадратный корень в квадрате. число в квадрате под корнем.Квадратный корень из произведения произведение корней. арифметический корень и квадратный корень. нахождение арифметического квадратного корня. квадратный корень из 2 как вычислить.Корень из 63. корень из 84. корень из 75. корень из 63 разложить.Корень из 9-4корня из 5. корень из 23. упростите выражение корень 9 4 корень 5. корень из 9-4корня из 5 минус корень из 5.-x при x=-2. ((8/x+x2) корень x)'. y x-2 2 y2 корень 8-x. xy y2 8x 4x x y при x корень из 3 y -5 2.Корень из 19. (корень из 19+3 корня из 2)(корень из 19-3 корня из 2). корень из девятнадцати. корень из 19 умножить на корень из 19.Какие выражения имеют смысл. имеет ли смысл выражение корень. когда корень не имеет смысла. как записать корень в степени.Значение выражения корень 75 корень 3Корень из 27. корень из 75. корень из 12. 27 корней из 3.Значение выражения корень 75 корень 3Корень 48. корень 27 корень 48 корень 75. упростите 4 корень 27 + 2 корень 48. корень 75 упростить.(корень 12+корень корень 3 )корень 3. 3,1 < корень 10 < 3,2 4 корня из 10 -2 корня из 10. корень 10*(корень 10+корень 40) =. корень 12-корень 3 корень 12.Значение выражения корень 75 корень 3Корень32-корень2 корень2. корень 18 корень 2 корень 2. ( корень 18 - корень 2 ) * корень из 2. корень 2 корень 2 корень 2.Корень из 75. корень из 90. корень из 60. корень из 80 умножить на 40 и умножить на корень из 2 решение.Корень 48. корень 75 - корень 48. корень 75 корень 3. корень 48/3.4 корень из 3 4 корень из 3. сравнить 4 корень из 3 и 3 корень из 5. сравните 3 корня из 5 и 5 корней из 2. сравнить 5 корней из 3 и 4 корней из 5.Имеет ли смысл выражение корень. корень имеет смысл. какие выражения имеют смысл корень. выражения с корнями, имеющие смысл.Значение выражения корень 75 корень 3Упростите выражение с корнями 8 класс. упрощение выражений с корнями примеры. упростить квадратный корень. упростить с корнями 8 класс.