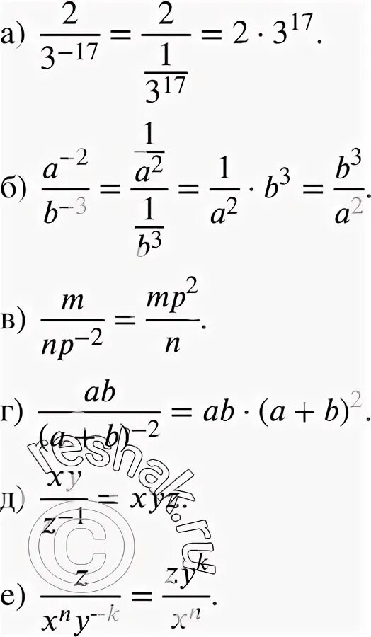
Запишите выражение равноеЗапиши выражения и вычисли их. запиши выражения и вычислите их значения. запиши выражение. запиши выражения и найди их значения.Запиши соответствующие равенства.. запишите соответствующее равенство. что такое соответствующие равенства. выполни вычисления.Используя сочетательное свойство сложения. запишите сочетательное свойство. запиши сочетательное свойство сложения. сочетательное свойство выражения.Значение выражения равно. выражения с равными значениями. вычислить (-620-14-(-6)+36):(×250)=. чему равно выражение (3+9)².Запишите сочетательное свойство. сочетательное свойство сложения записывают. запишите выражение равное данному используя сочетательное. запиши равенство используя сочетания свойства сложения.Запиши выражения и вычисли их значения. запиши выражение. запиши выражения и вычисления. записать выражение.Выпиши выражения значения которых делятся на 4. выпиши выражение значение которое делится на 4. значение выражения а плюс 347 и а 39 если а равен 53 а равен 558 а. определи значение переменной 4/2 равняется z 6 ответ z равняется.Запишите выражение равноеТождественно равные выражения тождества. выберите тождественное выражение. выберите тождественно равные выражения. выберите выражение тождественно равное выражение.Запиши выражение. запиши выражение состоящее. придумай и запиши выражение значение которого больше 50. номер 27 запиши выражение и вычисли их значение.Запишите выражение равноеЗапиши выражение равное данному используя свойства сложения. запишите выражение равное данному используя сочетательное. запиши равенства используя сочетательное свойство сложения. запишите выражения, используя сочетательное свойство умножения..Выражение длины ломаной. запиши выражение и найди длину. запиши выражение для длины ломаной abcd если ab равно x bc в 2 раза больше. запиши выражение и найди длину ломаной.Замените выражение равным не содержащим отрицательных показателей. алгебра 8 класс упр 119. замените выражением не содержащий отрицательные показателя b-3. гдз восьмой класс дорофеев суворова 109 упражнение.Запишите выражение равноеЗаписать выражение в виде суммы. представь выражение в виде суммы трех слагаемых. запиши выражение на обычном языке. представьте выражение в виде суммы.Запишите выражение равноеВычисли значения выражений записанных на конфетах. выражения с равными значениями. вычисли значения выражений записанных на конфетах конфеты значения. выражение математика 4 класс.Запиши выражения и вычисли. запиши выражения и вычисли их. запиши выражение. запиши выражения и вычисления.Вычисли значения выражений записанных на конфетах. вычисли значения выражений записанных на конфетах конфеты значения. вычисли значения выражений записанных на конфетах 4 класс. запиши выражение не вычисляя его 1 класс.Записать выражение. как записать выражение. запиши выражение. запишите выражения и найдите их значения.Запишите выражение равноеВычисли значения выражений. определить значение выражения. вычислите выражение. значение выражения -2,3.Запишите выражение равноеЗапиши выражение состоящее. запишите выражение состоящее из. запиши выражение состоящее из произведения 226 и 41 знака. запиши выражение состоящее из суммы чисел.Заполните таблицу записав выражения с переменной. запишите выражение 5 класс математика. прочитайте записанные выражения (с+d)2. запишите словосочетание читал с выражением.Запишите выражение равноеЗапишите выражение равноеЗаписать выражение. вычитание частных чисел. составление выражений.Запишите выражение равноеЗапишите выражение равноеЗапишите выражение равноеИнфиксная и постфиксная формы записи. префиксная запись выражений. префиксная форма информатика 10 класс. постфиксное выражение.Тождественно равные выражения. какие выражения тождественно равны. какие выражения тождественные. выражению (a-b)2 тождественно равно выражение.Запишите выражение равноеЗапиши выражение для степени. выражения со степенями. запишите выражения для степени. а в степени n умножить на а в степени n.Постфиксная и префиксная формы записи выражений. выражение в постфиксной форме. инфиксная и постфиксная форма. выражение в префиксной форме.Запишите выражение равноеЗапишите выражение равноеВыражение тождественно равное дроби. укажите выражение тождественно равное дроби. тождественно равные выражения примеры. выражение тождественно равно.Запишите выражение равноеЗапишите выражение равноеЗапишите выражение равноеЗапиши выражения и вычисли их. запиши выражения и вычисли их значения. запиши выражение и их значение. запиши выражения и вычисления.Замените выражение равным не содержащим отрицательных показателей. при одинаковых степенях но с разными основаниями. как решать уравнения с отрицательными степенями дробями.Запишите выражение равноеЗапиши выражения и вычисли. запиши выражения и вычисли 3 класс. записать математическое выражение. записать числовые выражения и вычислить их значения.Запишите выражение равноеЗапишите выражение равноеЗапишите выражение равноеЗапишите выражение равноеЗапишите выражение равноеЗапишите выражение равноеЗапишите выражения и найдите их значения. как записать выражение. выражение сколько. записать выражение в периоде.Запишите выражение равноеЗапишите числовые выражения задания. числовые выражения 2 класс задания.Из числа вычесть произведение чисел. запиши выражение в числах и их значение. как записать произведение чисел. записать пример из произведения чисел вычесть число.Запишите выражение равноеЗапишите выражение равноеЗапишите выражение равноеЗапишите выражение равноеЗапишите выражение равноеЗапиши выражения и вычисли. запиши выражение. запиши выражения и вычисли их. запиши выражения и найди их значения.Запиши выражение. запиши выражения и вычисли их значения. запиши выражение и найти их значения. запиши выражения и найди их значения.Выражения с переменными. выражение с переменной. выражения с переменными. значение выражения с переменными. переменная. выражения с переменной..Запишите выражение равноеЗапишите в виде выражения. запишите в виде суммы выражение квадрата чисел. запишите в виде выражения квадрат суммы. запишите сумму в виде произведения.Первое слагаемое. чему равно слагаемое. значение выражения первое слагаемое. выражение первое слагаемое сумма.Как записать решение задачи выражением. запиши выражения сумма 25 и х. 555 запишите выражения. запиши выражения по схемам.Запишите выражение равноеЗапишите выражение равноеЗапишите выражение равноеЗначение выражения с переменной. таблица значений выражения. таблица значений функций как вычислить. выражение с 2 переменными.Запишите выражения на языке программирования х+у/2=(х+3)2.Запиши выражение для степени. запишите выражения для степени. упростите выражение учи ру. упрости выражение запиши выражение для степени учи ру 7 класс.Запишите выражение равноеЗапишите выражение равноеЗапиши выражение на обычном языке. запиши выражение на обычном языке 2x y.. запиши выражение на обычном языке: (x+y)⋅3.. записать выражение на языке паскаль y = 2,5 x2.Запишите выражение равноеПреобразуйте выражение. преобразование степеней. выражения со степенями. преобразование выражений содержащих степени.