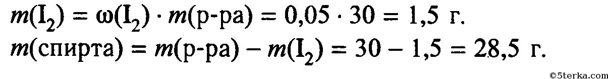
Молярная масса йода. как найти массу. молярная масса йода 2. молекулярная масса йода.Йод химический элемент в таблице менделеева. йод вещество таблица менделеева. йод символ химического элемента. атомная масса йода.Йод в периодической системе менделеева. йод положение в периодической системе. порядковый номер йода в таблице менделеева. йод химический элемент в таблице менделеева.Йод 2 массаЙод в таблице менделеева. характеристика йода. йод характеристика элемента. йод для презентации.Йод химический элемент в таблице менделеева. йод по таблице менделеева. йод вещество таблица менделеева. йод для презентации.Периодическая таблица менделеева галогены. галогены химические элементы таблица. йод в таблице менделеева. периодическая таблица менделеева йод.Йод формула химическая. электронная конфигурация иода. электронная формула йода.Белок и йод. йод 2. реакции с йодом. белок и йод реакция.Йод 2 массаЙод химический элемент. йод химия элемент. йод относится к группе. йод как химический элемент.Степень окисления йода. электронная формула йода. химическая формула йола. йод формула химическая.Йод химия элемент. йод вещество таблица менделеева. йод характеристика элемента. йод химический элемент характеристика.Задачи на объем раствора. задачи на расчёт объем раствора. определите какая масса. рассчитать массу необходимую для приготовления раствора.Испарение йода. атомная масса йода. йод состоит из. какие вещества содержатся в йоде.Йод 2 массаЙод химический элемент. йод знак. химический знак йода. йод хим элемент.Йод химический элемент. йод химия элемент. йод формула. йод формула химическая.Порядковый номер йода в таблице менделеева. аргон в системе менделеева. йод в таблице менделеева. аргон таблица менделеева.Структурная формула йода. молекула йода формула. йод формула химическая. гексахлорид дииода.Йод 2 массаЙод 2 массаЙод 2 массаЙод в таблице менделеева. йод элемент таблицы менделеева. химический элемент йод карточка. йод химический элемент в таблице менделеева.Йод 2 массаЙод 2 связь схема. химическтетсвойства йода. физические свойства йода. химические свойства йода.Йод химия. йод химический элемент. йод хим элемент. йод неметалл.Нахождение йода в природе. неметаллы в организме человека. йод в жизни человека. соединения йода в природе.Йод 2 массаХимические свойства йода. химическая характеристика йода. йод в химических реакциях. взаимодействие йода с металлами.Титрование растворов. титрование это в химии. титрование раствором йода. титрование тиосульфатом натрия раствора йода.Йод химический элемент. иод i2 простое вещество. йод металлический. йод твердый.Йод элемент. йод химический элемент. йод химия элемент. химический элемент йод карточка.Какое количество вещества йода i2 составляет 9 10 23. какое количество вещества йода i2 составляет 9 10 23 молекул. какое количество йода i2 составляет 9 1023 молекул. объем вещества i2.Йод жидкий химическая формула. кристаллический йод i2. кристаллический йод формула. твердый йод формула.Йод. раствор йода химия.Химический элемент йод карточка. йод в таблице менделеева. йод химический элемент в таблице менделеева. йод обозначение химического элемента.Йод 2 массаЙод 2 массаЙод 2 массаЙод калия при радиации. йодид калия для профилактики радиации. йодная профилактика при радиационной аварии. йод профилактика радиации.Раствор йода спиртовой группа препарата. 2% спиртовой раствор йода. спиртовой раствор йода 5 процентный. йода раствор спиртовой 5 формула.Йод формула химическая. формула йода в химии. формула йода формула. химическая формула йола.Йодид калия и хлор. хлор плюс калий хлор. хлор+ йодид калия. калий йод и хлор реакция.Йод 2 массаКакого цвета йод. йод в граммах. йод маленькая баночка. сколько мл йода в маленьком пузырьке.Йодид бария формула. барий йод 2. иодид бария формула соли. барий и йод формула.Раствор с йодом для обработки. подкормка помидор йодом и молоком. раствор молоко и йод пропорции. полить томаты йодом пропорции.Йод 2 массаГалогены простые вещества. фтор бром йод. хлор и йод. хлор бром йод.Йод 2.Йод 2 массаЙод и тиосульфат натрия реакция. тиосульфат с йодом реакция. реакция обесцвечивания йода тиосульфатом. обесцвечивание йода тиосульфатом натрия.Йод 2 массаЙод 2 массаВычислите массы иода и спирта. вычислите массы йода и спирта необходимые. сколько грамм йода в. сколько граммов иода и спирта нужно взять для приготовления.Состав йода аптечного химический. йод формула химическая. химическая формула йода аптечного. химическая формула йода в химии.Название химического элемента йод. йод для презентации. йод неметалл. йод химическое название.Йод. треххлористого йода. йод треххлористый. хлорид йода.Йод 2 массаЙод в организме человека. йод микроэлемент. йод витамины. роль йода в организме человека.Йод 2 массаЙод в таблице менделеева. i химический элемент йод. йод символ химического элемента. йод элемент таблицы менделеева.Йод 2 массаНормы суточного потребления йода воз. суточная дозировка йода. суточная норма йода. норма йода в день для женщин.Йод 2 массаЙод в организме человека. презентация «йод в организме человека и продуктах питания». презентация по химии йод в организме человека. йод влияние на организм.Йод 2 массаОтравление йодом. отравление йодом симптомы. антидот при отравлении йодом. хроническое отравление йодом.Плотность раствора йода. плотность раствора йода в спирте. как получить 5% раствор. сколько йода в растворе йода.Химические свойства фтора хлора брома йода таблица. химические свойства брома с галогенидами. хлор бром йод. галогены фтор хлор бром йод.Йод 2 массаЙод 2 массаЛантаноиды в таблице менделеева. железо порядковый номер в таблице менделеева. таблица менделеева молярная масса 2. таблица периодической системы атомные массы.Таблица бром хлор фтор. фтор хлор бром йод астат таблица. химические свойства галогенов йод 9 класс. физические свойства простого вещества йода.Йод 2 массаЙод 2 массаСколько граммов иода и спирта. сколько граммов иода и спирта нужно взять для приготовления. сколько граммов йода и спирта нужно. сколько граммов йода и спирта нужно взять для приготовления.Сколько граммов иода и спирта нужно взять для приготовления. сколько граммов йода и спирта. сколько граммов йода и спирта нужно взять. вычислите массы йода и спирта необходимые.Йод 2 масса