Удиви меня
Взаимодействие карбоновых кислот с гидроксидом кальция
Щавелевая кислота и гидроксид меди 2. реакция щавелевой кислоты с гидроксидом кальция. качественная реакция на щавелевую кислоту.
Реакции карбоновых кислот. взаимодействие карбоновых кислот с гидроксидами. карбоновая кислота и натрий. реакция карбоновых кислот с основаниями.
Взаимодействие карбоновых кислот с гидроксидом кальция
Химические свойства карбоновых кислот 10 класс. карбоновые кислоты 10 класс химия. карбоновая кислота + br2. карбоновых кислот h2 ni.
Уксусная кислота плюс гидроксид кальция. этановая кислота плюс магний. взаимодействие уксусной кислоты с гидроксидом кальция. уксусная кислота и кальций реакция.
Взаимодействие карбоновых кислот. взаимодействие карбоновых кислот с аммиаком. взаимодействие карбоновых кислот с аммиаком при нагревании. карбоновая кислота + koh.
Взаимодействие карбоновых кислот с водородом. уксусная кислота и карбонат кальция. уксусная кислота плюс карбонат кальция. муравьиная кислота и гидроксид кальция.
Уксусная кислота плюс гидроксид кальция. уксусная кислота и гидроксид кальция. карбоновая кислота и гидроксид кальция. уксусная кислота гидроксид кальция уравнение.
Взаимодействие уксусной кислоты с карбонатом кальция. уксусная кислота и кальций реакция. взаимодействие уксусной кислоты с кальцием. уксусная кислота и карбонат кальция.
Уксусная кислота и гидроксид магния реакция. взаимодействие карбоновых кислот с магнием. карбоновые кислоты с магнием. взаимодействие карбоновых кислот с кислотами.
Схема реакции образования оксалата кальция. окисление аммиака. сложный эфир и аммиак. диэтилоксалат в синтезе.
Реакция образования оксалата кальция. схема реакции образования оксалата кальция. оксалат кальция формула. оксалат кальция и уксусная кислота.
Реакция этерификации. взаимодействие карбоновых кислот с солями.
Соль образованная сильным основанием и слабой кислотой. соль образована слабым основанием и сильной кислотой. сильные и слабые кислоты основания соли. формула соли образованной сильной кислотой и слабым основанием.
Взаимодействие карбоновых кислот с гидроксидом кальция
Уксусная кислота гидроксид кальция уравнение. взаимодействия пропионовой кислоты с гидроксидом кальция. взаимодействие уксусной кислоты с магнием. уксусная кислота плюс гидроксид кальция.
Муравьиная кислота плюс гидроксид бария. взаимодействие уксусной кислоты с гидроксидом бария. адипиновая кислота и гидроксид бария. пропионовая кислота плюс гидроксид бария.
Взаимодействие карбоновых кислот с гидроксидом кальция
Муравьиная кислота и карбонат натрия. гидроксид кальция реакция. гидроксид натрия и гидроксид кальция. муравьиная кислота с карбонатом натрия уравнение реакции.
Взаимодействие карбоновых кислот с гидроксидом кальция
Взаимодействие гидроксидов с кислотами. взаимодействие металлов с гидроксидами. сн3соон naoh.
Масляная кислота гидроксид кальция. взаимодействие ацетата натрия с гидроксидом натрия. реакция уксусной кислоты с гидроксидом натрия. взаимодействие уксусной кислоты с гидроксидом натрия.
Уксусная кислота плюс гидроксид кальция. уксусная кислота плюс гидроксид меди 2. уксусная кислота и гидроксид кальция. термолиз ацетата кальция.
Пропионовая кислота взаимодействует с. пропионовая кислота и натрий. химические реакции с пропионовой кислотой. пропановая кислота взаимодействует с.
Уксусная кислота и карбонат натрия. уксусная кислота и карбонат натрия реакция. уксусная кислота плюс карбонат натрия. реакция уксусной кислоты с карбонатом.
Пропионовый эфир уксусной кислоты. сложный эфир этиловый эфир серной кислоты. ацетат натрия сложный эфир. этиловый эфир плюс уксусная кислота реакция.
Реакция уксусной кислоты с гидроксидом натрия. уксусная кислота и гидроксид натрия. уксусная кислота и оксид фосфора 5 реакция. взаимодействие уксусной кислоты с гидроксидом натрия уравнение.
Взаимодействие карбоновых кислот с гидроксидом кальция
Взаимодействие карбоновых кислот с основными оксидами.
Взаимодействие муравьиной кислоты с кальцием. взаимодействие оксида кальция с кислотами. взаимодействия с кислотой ca. взаимодействие карбоната кальция с кислотой.
Взаимодействие карбоновых кислот с гидроксидом кальция
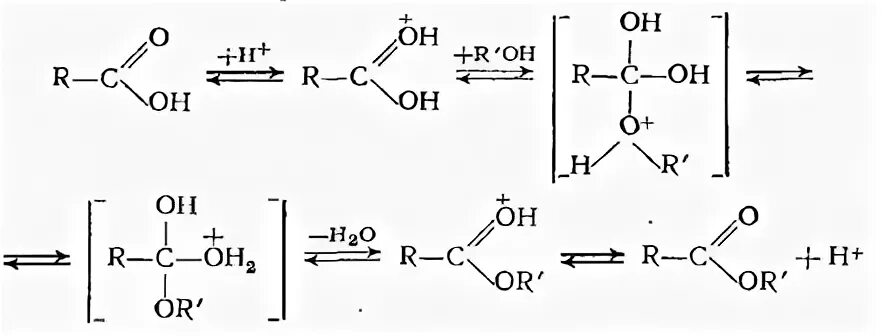
Взаимодействие карбоновых кислот со спиртами. взаимодействие сложных эфиров с водородом. взаимодействие карбоновых кислот с водородом. сложный эфир и аммиак.
Уксусная кислота образование солей. щавелевая кислота оксалаты. образование солей карбоновых кислот. уксусная кислота уксусная кислота реакция.
Взаимодействие карбоновых кислот с гидроксидом кальция
Олеиновая кислота и гидроксид натрия. натриевая соль олеиновой кислоты. цис октадецен 9 овая кислота.
Уксусная кислота и карбонат калия. реакция уксусной кислоты с карбонатом калия. уксусная кислота плюс гидроксид кальция. взаимодействие уксусной кислоты с карбонатом калия.
Взаимодействие карбоновых кислот с гидроксидом кальция
Пропионовая кислота плюс бром 2. 2 2 диметилпропан и бром. реакция 2,2-диметилпропана с бромом. 2 2 диметилпропан реакция вюрца.
Химические свойства 5 атомных спиртов. химические свойства спиртов таблица егэ. химические свойства одноатомных спиртов горение. химические свойства спиртов как кислот.
Реакция глюкозы со свежеполученным гидроксидом меди 2. карбоновая кислота плюс гидроксид меди 2. качественная реакция с гидроксидом меди.