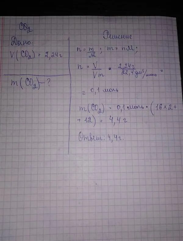
, рассчитайте объем оксида углерода iv который образуется при горении. вычислить массу оксида углерода iv. вычислите объем оксида углерода 4 и массу оксида. вычислить объем, образовавшегося оксида углерода 4.Вычислите массу оксида углерода ivВычислите массу 3 моль оксида углерода 4. масса оксида углерода 4. как рассчитать массу оксида углерода. рассчитать массу 3 моль оксида углерода.Вычислите массу оксида углерода ivКак рассчитать массу оксида углерода. вычислите массу оксида углерода. рассчитайте массу оксида углерода 4 которое выделяется при. вычислите объем оксида углерода.Масса оксида углерода. масса оксида углерода 4. масса оксида углерода iv. 44 грамм оксида.Какая масса углерода необходима для получения метана. какая масса у углерода. какая масса углерода необходима для реакции с 10 г водорода?. масса оксида углерода.Вычислите массу оксида который образовался. вычислите массу оксида натрия полученного при сгорании 5.6г натрия. вычислите массу оксида углерода. вычислить массу оксида углерода iv.Вычислить массу оксида. масса оксида углерода 4. как рассчитать массу оксида углерода. как вычислить массу оксида углерода.Ca оксид молярная масса. масса оксида углерода 4. рассчитайте молекулярную массу оксида углерода iv. приращложении100гкарбоната.Оксида углерода(iv) с оксидом кальция.. молярная карбоната кальция. сожгли 4 7 г фенола и получившийся оксид углерода. карбонат кальция оксид кальция оксид углерода.Вычислите массу оксида углерода ivВычислите массу оксида углерода ivВычислите массу оксида углерода ivПодсчитайте число молекул оксида углерода iv. вычислите массу 6,02*10 молекул оксида углерода 4. рассчитайте молекулярную массу оксида углерода iv. вычислите массу одной молекулы оксида углерода.Вычислите массу оксида углерода ivМасса железа 28 г рассчитать оксид железа. при взаимодействии железа массой 37. вычислите массу оксида железа 3 из которого с помощью оксида углерода. вычислите массу железа получаемого доменным производством.Какую массу имеют 44.8 л при н.у угарного газа оксид углерода ii. какую массу имеет. какую массу имеют 44 8 л при н у угарного газа. какова масса 33 6 л углекислого газа co2.Вычислите массу оксида углерода ivВычислите массу оксида углерода ivКакой объем оксида углерода 4 выделится при сжигании 5 кг. массовая доля углерода в угле. что образуется при сгорании угля. рассчитайте массовую долю углерода.Вычислите массу соли которую. вычислите массу соли которая образуется при взаимодействии 5,6. ввчислите массу соли которую можно получитьпри. определите массу соли образовавшейся при взаимодействии 5 г оксида.Вычислите массу оксида углерода ivКоличество вещества углерода. количество вещества оксида углерода. количество вещества оксида углерода (iv). количество вещества оксида углерода 4.При обжиге известняка массой 500 кг. при обжиге известняка. вычислить массу негашеной извести cao. при обжиге известняка массой.Масса оксида углерода 4. при пропускании два 2 4 л оксида углерода. определите массу 18 л оксида углерода 4 при н у. определите массу при н. у. 2 л оксида углерода.Вычислите массу оксида углерода ivВычислите массу оксида углерода ivПри сгорании угля. при сгорании угля с массой 187. углерод при сжигании угля. массовая доля углерода в оксиде углерода 4.Оксид углерода 4ипрлреогоировал с оксидом натрия массой 655 грамм.Вычислите массу оксида углерода ivВычислите массу оксида углерода ivВысчитайте число молекул в 6 моль углекислого газа. вычислите число молекул в 6 моль углекислого газа. масса углекислого газа co2 равна. определите объем и число молекул углекислого газа co2.Вычислите массу оксида углерода ivМасса одной молекулы оксида углерода 4. масса молекулы оксида углерода. определите массу оксида углерода. найдите массу одной молекулы оксида углерода 4.К смеси газообразных оксида углерода 2 и оксида углерода 4 объемом 50 мл. трехкомпонентная газовая смесь 2 + 2 + 2. химия задачи на газовые смеси. объем оксида углерода.Какой объем оксида углерода 4 выделится при обжиге 500 т известняка.Объем оксида углерода 2. объем оксида углерода. задача по химии fe2o3. задачи на оксид железа.Рассчитайте объем оксида углерода 4 который. 250 г известняка. рассчитайте объем 66 г оксида углерода iv. решите задачу вычислить объем оксида углерода 4.Вычислите массу оксида углерода ivЗадачи на массовую долю примесей. массовая доля оксида углерода. вычислите объем оксида углерода. рассчитайте массовую долю углерода.Вычислите массу оксида углерода ivПри сжигании углеводорода образовался оксид углерода 2. при сгорании углеводорода массой 2.34. задачи на сгорание углеводородов. задачи на горение углеводородов.Вычислите массу оксида углерода ivОбъем оксида углерода. какой объем оксида углерода 4 образуется при сжигании. какой объем оксида углерода 4. какой объем в м3 оксида углерода 4 образуется.Рассчитайте относительную плотность оксида углерода(iv) по водороду. вычислить относительную плотность оксид углерода. вычислите относительную плотность оксида углерода 4 по водороду. относительная плотность газовой смеси по водороду.Объем оксида углерода 2. объем оксида углерода. определить массу железа. задача по химии углерод и масса.Какой объём углекислого газа выделится при обжиге 500 т известняка. какой объем оксида углерода. при обжиге 1 т известняка. обжиг 500 т известняка содержащего 0.1 массовой доли.Сгорело 6 кг угля с вычислите объем образовавшегося оксида углерода. сгорело 6 кг угля с вычислите объем образовавшегося оксида углерода 4. 6 кг угля с вычислите объем образовавшегося оксида. сгорело 6 кг угля с. вычислите объем образовавшегося со2.Вычислите массу оксида углерода ivВычислите массу оксида углерода ivВычислите массу оксида углерода ivВычислите массовую долю кислорода в оксиде углерода iv. вычислите массовую долю в оксиде углерода 4. вычислите объем оксида углерода. вычислите массовую долю каждого элемента в оксиде углерода 4.Объем оксида углерода. вычислите объем углерода. рассчитайте объём оксида углерода.. вычислите объем оксида углерода.Вычисли массу объемов газов при нормальных условиях. вычислите массу и объем при нормальных условиях 3 маль 03. вычислить объем и массу 2 моль. задачи на нахождение массы этилена.Число молекул оксида. определить число атомов кислорода. массовая доля кислорода в оксиде углерода (iv)?. массу молекулы оксида.Рассчитайте объем (н.у.) оксида углерода 4. рассчитайте массу оксида углерода 4 которое выделяется при. вычислите объем оксида углерода 4 который выделиться. вычисли объем оксида углерода 4 который.Вычислите массу оксида углерода ivВычислите 0,25 моль углекислого газа. какой объем оксида углерода 4. какой объем в м3 оксида углерода iv образуется при сжигании. вычислите массу 0.25 моль сероводорода.Вычислите массу оксида углерода ivВычислите массу оксида углерода ivПри полном сгорании углеводорода объемом 3 л. при сжигании 2.5 в. при полном сгорании н3р образуется. при полном сгорании углеводорода образовался оксид углерода.Сгорело 6 кг угля с вычислите объем образовавшегося оксида углерода. вычислите объем оксида углерода 4. сгорело 6 кг угля с вычислите объем образовавшегося оксида. вычислите объем углерода.При обжиге известняка массой 500 кг. вычислите объем в м3 оксида углерода 4 и массу жженой извести. какова масса оксида кальция полученного при обжиге 500 кг известняка.Объем оксида углерода 2. объем оксида углерода. смесь оксида углерода 4 и оксида углерода 2. вычислите объем оксида углерода.Вычислите массу оксида углерода ivВычислите массу оксида углерода ivВычислите массу оксида углерода ivОбъем углерода при н.у. 500 т обжига известняка. какой объем углекислого газа выделится при обжиге 500 т. при обжиге 100 г известняка.Оксид кальция и оксид углерода 4. оксида углерода(iv) с оксидом кальция.. оксид углерода и гидроксид кальция. раствор карбоната и гидроксида кальция.Объем углекислого газа при нормальных условиях. вычислите объем газа при н у. какой объем углекислого газа. вычислите объём газа (н. у.).Масса оксида углерода 4.Вычислите массу оксида углерода ivРассчитать массу этанола. какую массу этанола можно получить при брожении глюкозы массой 40. какую массу этанола можно получить при брожении глюкозы массой 40 г. рассчитайте массу этилового спирта.Вычислите массу оксида углерода ivВычислите массу оксида углерода ivСгорело 6 кг угля с вычислите объем. сгорело 6 кг углерода рассчитайте объем. вычислите массу и объем оксида углерода 4. вычислите объем оксида углерода 4.Вычислите массу оксида углерода ivМасса молекулы оксида углерода ii. количество вещества оксида углерода. определите массу 2 моль воды. рассчитать количество вещества оксида углерода в 1,.Вычислите массу оксида углерода iv