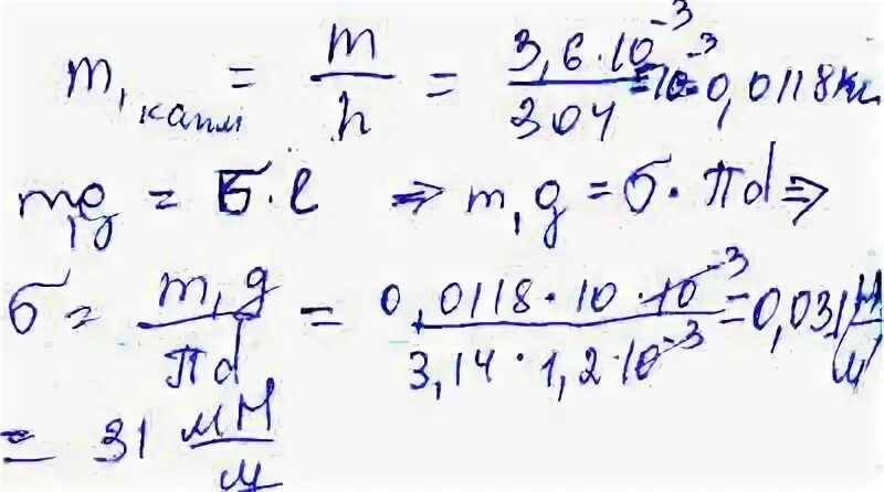
Диаметр капли. диаметр шейки капли. задача на капиллярные явления. поверхностное натяжение физика задачи.Поверхностное натяжение в капле жидкости. диаметр шейки капли. плотность поверхностного натяжения воды. сила поверхностного натяжения капля.Какова масса капли воды вытекающей из пипетки в момент отрыва. масса капли из пипетки. вес капли воды диаметром 5 мм.Вычислить диаметр шейки каплиКакова масса капли воды вытекающей из пипетки в момент отрыва. масса капли из пипетки. вес капли воды диаметром 5 мм.Капля воды вытекает из вертикальной стеклянной трубки диаметром 2 мм. оцените диаметр капель воды вытекающей из трубки диаметром 2 мм. коэффициент натяжения капли спирта. диаметр шейки капли если диаметр трубки 10 мм.Радиус капли. вода по каплям вытекает из вертикальной трубки внутренним радиусом. найти радиус капли. масса одной капли.Вычислить диаметр шейки каплиВычислить диаметр шейки каплиВычислить диаметр шейки каплиВычислить диаметр шейки каплиВычислить диаметр шейки каплиВычислить диаметр шейки каплиКапля воды вытекает из вертикальной стеклянной трубки диаметром 2 мм. капли решение задач. капля воды какую массу имеет. рассчитайте коэффициент поверхностного натяжения масла.Вычислить диаметр шейки каплиВычислить диаметр шейки каплиВычислить диаметр шейки каплиВычислить диаметр шейки каплиВычислить диаметр шейки каплиВычислить силы поверхностного натяжения воды. поверхностное натяжение (определение, формулы, физический смысл).. коэффициент поверхностного натяжения жидкости 10 класс. поверхностное натяжение формулы 10 класс.Вычислить диаметр шейки каплиОбъем капли масла. как найти объем капли масла. капля маслом объемом 0.003 мм растеклась по поверхности. диаметр молекулы масла в мм.Вычислить диаметр шейки каплиВычислить диаметр шейки каплиКапля воды вытекает из вертикальной стеклянной трубки диаметром 2 мм. масса капли. вес капли воды. какова масса капли воды вытекающей из пипетки диаметром 1.2 мм.Вычислить диаметр шейки каплиМасса капли воды. диаметр капли воды. масса 1 капли воды. масса одной капли воды формула.Рассчитать диаметр молекулы масла. диаметр молекулы масла. как определить диаметр молекулы масла. диаметр капли масла.Диаметр молекулы масла. растекание капли масла по поверхности воды.Вычислить диаметр шейки каплиВычислить диаметр шейки каплиВычислить диаметр шейки каплиВычислить диаметр шейки каплиВычислить диаметр шейки каплиВычислить диаметр шейки каплиВычислить диаметр шейки каплиВычислить диаметр шейки каплиОбъем капли масла. диаметр молекулы оливкового масла. расчет объема.Метод отрыва капель. поверхностное натяжение метод отрыва капель. метод висячей капли поверхностное натяжение. сталагмометрический метод измерения.Вычислить диаметр шейки капли