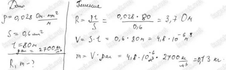
Ток через r2. батареи имеют эдс е1 2в и е2 3в сопротивление. найдите ток текущий через резистор два эдс. определить токи текущие через сопротивления.Во сколько раз отличаются сопротивление двух алюминиевых. во сколько раз отличаются сопротивления 2 алюминиевых проводов. во сколько раз отличается значение сопротивления. во сколько раз отличаются.Алюминиевая и медная проволока имеют одинаковые массы. сопротивление и длина медной проволоки. сопротивление медной и алюминиевой. сопротивление проволоки длиной.Во сколько раз отличается сопротивление rМощность выделяемая на резисторе формула. тепловая мощность на резисторе формула. во сколько раз уменьшится мощность. во сколько раз уменьшится мощность утюга если удлинить спираль.Во сколько раз отличается сопротивление rОпределить во сколько раз магнитные потоки пронизывающие рамку. магнитный поток задачи. презентации 10 кл решение задач с ответами магнитный поток.Формула для определения электрического сопротивления проводника. 1. формула сопротивления проволочного проводника. формула расчета электрического сопротивления проводника. расчёт сопротивления проводника удельное сопротивление формулы.Сопротивление нити лампы формула. температурный коэффициент сопротивления нити накаливания. температурный коэффициент сопротивления нити таблица. сопротивление нити накала лампы.Вольфрамовая нить электрической лампочки при t1. вольфрамовая нить электрической лампочки имеет сопротивление 220. электрическую лампу сопротивлением r 200 ом. температура нити лампы накаливания формула.Во сколько раз отличается сопротивление rЗадачи на сопротивление напряжение силу тока в цепи. задачи на закон ома 10 класс. решение задач по теме сопротивление 8 класс физика. задачи на закон ома для полной цепи.Во сколько раз отличается сопротивление rНайти мощность выделяющуюся на сопротивлении r2. что такое эдс и внутреннее сопротивление генератора. найти мощность на сопротивлении r1.Сопротивление спирали лампы. сопротивление лампочки 220 вольт. сопротивление спирали чайника. напряжение на спирали лампочки от карманного фонаря.Во сколько раз отличается сопротивление rВо сколько раз отличается сопротивление rВо сколько раз отличается сопротивление двух алюминиевых проводов. во сколько раз отличаются сопротивление двух алюминиевых. во сколько раз отличаются сопротивления 2 алюминиевых проводов. имеются два алюминиевых провода одинаковой длины но разного сечения.Как найти внутреннее сопротивление цепи формула. внешнее сопротивление формула через эдс и внутреннее сопротивление. как определить внутреннее сопротивление цепи. внутреннее сопротивление тока формула.Во сколько раз отличается сопротивление rОтносительная диэлектрическая проницаемость размерность. диэлектрическая проницаемость среды формула. относительная диэлектрическая проницаемость среды формула. формула нахождения диэлектрической проницаемости среды.Сопротивление лампы. две электрические лампы имеют одинаковые мощности. в электрической лампе рассчитанной на напряжение 220 в. 2 лампы имеют одинаковую мощность.Во сколько раз отличается сопротивление rПоследовательно соединенные резисторы напряжения. сопротивление резисторы 2.5 ома. напряжение первого резистора. сопротивление и проводимость резистор.Схема r1 r2 r3 r4 схема с амперметром и вольтметром. электрическая цепь r1 r2 амперметр. r1 = сопротивление 2 параллельно соединенных проводников. последовательное соединение проводников = 1 = 2 = 1 + 2 = 1 + 2.R1 r2 лампочки задача. электрическую лампу сопротивлением r 200 ом. как рассчитать сопротивление лампочки. r1 r2 лампочки сопротивлением.Во сколько раз отличается сопротивление rВо сколько раз отличается сопротивление rОпределить сопротивление rab между клеммами. найдите сопротивление между клеммами а и б. найти сопротивление участка ak к кубе. определить сопротивление металлического каркаса (рис.81).Во сколько раз отличается сопротивление rВо сколько раз отличается сопротивление rЕмкость конденсатора в цепи переменного тока. конденсаторы емкость с катушкой индуктивности схема. напряжение на катушке переменного тока. через катушку индуктивности с сопротивлением xl= 1,2 ом.Резисторы сопротивлением 30 и 60 ом. два резистора соединены параллельно. соединение резисторов параллельно и последовательно. физика параллельно соединённые резисторы.Закон ома для участка цепи задачи с решением. электрическая цепь 4 амперметра и r1 r2 r3 r4. сопротивление r, om как найти. как определить токи и напряжения в цепи.Во сколько раз отличается сопротивление rВо сколько раз отличается сопротивление rСопротивление цепи постоянного тока r1 150. сопротивление тока r1 r2. трансформатор тока через резистор. сопротивление усилителя схема с 1 катушкой.Как вычислить эквивалентное сопротивление электрической цепи. параллельное соединение резисторов формула. расчёт эквивалентного сопротивления цепи. как найти эквивалент сопротивления цепи.Ширина запрещённой зоны собственного полупроводника равна (в эв). ширина запрещенной зоны полупроводника германия при 300 к. ширина запрещенной зоны германия при 300 к. во сколько раз изменится проводимость полупроводника при нагревании.Во сколько раз отличается сопротивление rДва алюминиевых провода имеют одинаковую массу. во сколько раз отличаются сопротивления 2 алюминиевых проводов. во сколько раз отличается сопротивление двух алюминиевых проводов. во сколько раз отличаются сопротивление двух алюминиевых.Во сколько раз отличается сопротивление rКолебательный контур имеет емкость. если емкость контура 10 мкф а индуктивность 0.001 сопротивление. активное сопротивление колебательного контура 0,4 ом. l=2мгн с=10мкф т-? v-?.Электрические токи при размыкании и замыкании цепей постоянного тока. токи при замыкании и размыкании цепи с индуктивностью. ток при размыкании цепи. размыкание цепи с катушкой индуктивности.Во сколько раз отличается сопротивление rВо сколько раз отличается сопротивление rДва резистора с сопротивлением r1 и r2 подключены к источнику тока. два резистора с сопротивлением r1. два резистора р1 и р2 подключены к источнику тока с сопротивлением р. внутреннее сопротивление резистора.Внутреннее сопротивление автомобильного аккумулятора. если в аккумуляторе внутреннее сопротивление 80 мом. если напряжение меньше 12.2 то по реьители отключаются.Эдс элемента 6 в при внешнем. сила тока внешнего и внутреннего сопротивления. внутреннее сопротивление элемента. определить внутреннее сопротивление элемента.Источник с внутренним сопротивлением и сопротивление цепи. напряжение с эдс с внутренним сопротивлением. 2 источника тока амперметр 4 проводника вольтметр резистор. электрическая цепь r1 r2 амперметр.Как узнать внутреннее сопротивление аккумулятора формула. формула сопротивление ток напряжение. как найти силу тока через эдс. как найти напряжение через внутреннее сопротивление.Формула для расчета индуктивности катушки с частотой. схемы с индуктивностями и конденсаторами. схема замещения силового резонансного фильтра. параллельное соединение катушки и конденсатора сопротивление.Во сколько раз отличается сопротивление rВо сколько раз отличается сопротивление rДва сообщения состоят из одинакового количества символов первое. сколько символов в алфавите. два текста состоят из одинакового количества символов. два сообщения содержат одинаковое количество символов количество.Сопротивление кристалла полупроводника pbs при температуре. удельное сопротивление чистого германия при температуре 600 к. определите удельное сопротивление r2. удельное сопротивление кремния при температуре 20.Определитеобще сопротивление электрической цепи. определите общее сопротивление электрической цепи. определение общего сопротивления участка цепи. сопротивление участка цепи притзамкнутом ключе.Как посчитать сопротивление в цепи. как определить общее сопротивление цепи формулы. как определить сопротивление цепи. как посчитать суммарное сопротивление.Во сколько раз отличается сопротивление rПараллельное соединение проводников общее сопротивление. параллельное соединение проводников сопротивление для 3 резисторов. сопротивление в параллельном соединении 3 резисторов. физика параллельное соединение проводников.Во сколько раз отличается сопротивление rСопротивление для вольтметра в цепи 220в. схема расширения предела измерения амперметра. вольтметр измерение напряжения формула. формула нахождения расширения пределов измерения амперметра.Во сколько раз отличается сопротивление rВо сколько раз отличается сопротивление rR1 r2 лампочки задача. электрическая цепь r1 r2 амперметр. сопротивление резисторы 2.5 ома. резистор сопротивление 5.10 ом.Сила тока параллельное соединение схема. как найти силу тока в резисторе. как найти напряжение на амперметре. амперметр 6а сопротивление 6ом.Активное и реактивное сопротивление. общее реактивное сопротивление формула. реактивное сопротивление переменного тока. понятие реактивное сопротивление цепи.Во сколько раз отличается сопротивление rПри внешнем сопротивлении r 8 ом. внешнее сопротивление. гальванический элемент дает на внешнее сопротивление 4 ом ток 0.2 а. сопротивление 8ом сила токам8.5 а.Во сколько раз отличается сопротивление rВо сколько раз отличается сопротивление r