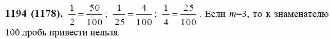
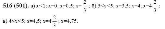
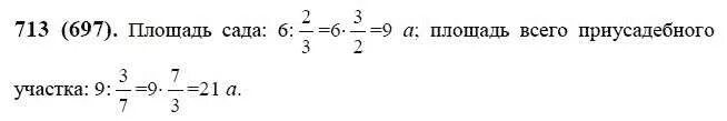
Математика 6 класс номер 1346. номер 1346 по математике 6 класс виленкин.Математика 6 класс виленкин упражнение 90. математика 6 класс номер 90. виленкин 6 класс номер 90. математика 6 класс виленкин 1 часть номер 90.Виленкин жохов математика 6 класс номер 3.93Математика 6 класс виленкин уравнения. уравнения 6 класс по математике виленкин. решение уравнений 6 класс математика виленкин. математические уравнения 6 класс.Математика 6 класс виленкин жохов. математика 6 класс жохов номер 22. математика 6 класс жохов 2 часть.Математика 6 класс виленкин номер 403. математика 6 класс виленкин. математика 6 класс номер 390. математика 6 класс стр 76 номер 403.Виленкин жохов математика 6 класс номер 3.93Виленкин жохов математика 6 класс номер 3.93По математике 6 класс виленкин номер 1327. математика 6 класс виленкин номер 1311.Математика номер 390. номер 390 по математике 6. матем номер 390 6 класс виленкин. математика 5 класс номер 390.Математика 6 класс виленкин номер 1591. математика 6 класс 1575. задания 702 по математике 6 класса. математика 6 класс номер 1575.Математика 6 класс жохов 2 часть. математика 6 класс виленкин 2 часть. математика 6 класс виленкин 1 часть. математика 6 класс виленкин жохов 2 часть.Математика 6 класс номер 393. математика 6 класс номер 393 стр 75. вычитание 6 класс виленкин презентация. смешанные числа виленкин сложение и вычитание виленкин 5 класс.Математика 6 класс номер 1239. математика 6 класс виленкин номер 1239. математика 6 класс номер 1223. 1239 цифрами.Виленкин жохов математика 6 класс номер 3.93Уравнения 6 класс виленкин. уравнения 6 класс по математике виленкин. решение уравнений 6 класс виленкин. решить уравнение 6 класс математика виленкин.Примеры по математике 6 класс виленкин. математика номер 1029. 1045 математика 6.Виленкин жохов математика 6 класс номер 3.936 а класс упражнение 1326 математика. математика 6 класс номер 1326.Математика 6 класс виленкин номер 1232. математика 6 класс номер 1232. математика 6 класс вопросы и ответы. по математике шестого класса номер 1232.Номер 1060 по математике 6 класс виленкин. математика 6 класс виленкин 1 часть номер 1060.Математика 6 класс виленкин номер 308. математика виленкина шестой класс номер 303.Математика 6 класс виленкин номер 1537. вариант работы по математике в 1553 2025 фото в 5 класс.Математика 6 класс упражнение 1175. по математике 6 класс виленкин номер 1175. математика 6 класс виленкин 2 часть номер 286.Номер 1341 по математике 6. математика 6 класс виленкин 2013 года номер 1341. математика шестой класс номер 1341.Математика 6 класс виленкин 1 часть номер 573. математика 6 класс задание номер 573.Математика 6 класс упражнение 488. математика 6 класс виленкин 503. математика 6 класс виленкин номер 488. математика 6 класс номер 503.Математика 6 класс виленкин номер 713. виленкин, математика, 6 класс, задача 713. математика 6 класс виленкин жохов.Математика 6 класс виленкин жохов. задачи 6 класс виленкин.Виленкин 6 класс номер 365. математика 6 класс виленкин 365. математика 6 класс номер 365 виленкина.352 математика 6 класс виленкин. математика 6 класс виленкин 1 часть номер 352.Контрольная по математике 6 класс виленкин шварцбурд. математика 6 класс виленкин 846.576 номер математика 6. номер 576 по математике 6 класс виленкин 1 часть. математика 6 класс 2 часть номер 581.Виленкин жохов 6 класс. виленкин жохов 6 класс математика учебник. математика 6 класс виленкин жохов 1 часть. математика 6 класс. виленкин, жохов. учебник часть 1, 2.Виленкин 6.48..Виленкин жохов математика 6 класс номер 3.9361,7 · 52,1 − 43,6 · ((119,62 + 218,48) : 13,8).. 61 7 52 1 43 6 119 62 218 48 13 8 столбиком. математика 1037 6 класс. номер 1037 по математике 6 класс.Математика 5 класс номер 1106. математика 5 класс номер 1133. математика 5 класс номер 1133 стр 250. математика виленкин страница 275 номер 1560.Номер 548. математика шестой класс номер 548.Математика 6 класс виленкин номер 1321. учебник по математике 6 класс виленкин 2019 год.Математика 6 класс номер 516. математика 5 класс упражнение 516. номер 516 5 класс 1 часть. математика 5 класс страница 97 номер 516.Математика 6 класс номер 928. математика 6 класс номер 928 стр 156. математика 5 класса часть 1 упражнение 928.Математика 6 класс виленкин 608. математика 6 класс виленкин 1 часть номер 608.Учебник виленкин математика 6 класс дроби. учебник по математике 6 класс виленкин деление дробей. математике 6 класс виленкин 2 часть. виленкин 6 класс дроби.Математика 6 класс виленкин 1 часть. математика 6 класс жохов.Математика 6 класс виленкин номер 999. математика 6 класс виленкин учебник номер 999. математика 6 класс номер 999 страница 167.Виленкин, математика, 6 класс, задача 697. математика 6 класс виленкин номер 697. математика виленкин 6 класс номер 697 б.Математика 6 класс виленкин 1115. номер 1115 по математике 6 класс. номер 1115 по математике 6 класс виленкин.Математика 6 класс 2 2/3:2/9:1/4. математика 6 класс 2/9+1/12. виленкин 6 класс 2 часть. вариант 2 математика 6 класс 14,1-6,6*0,8+2.Математика 6 класс виленкин номер 1509. математика 6 виленкин. математика 6 класс номер 1462.Математика 6 класс номер 481.Математика 6 класс виленкин жохов номер 1143. математика 6 класс упражнение 1143. математика 6 класс 2 часть номер 254.Математика виленкин 6 класс 2025 год. математика 6 класс виленкин 1 часть номер 241. математика 6 класс виленкин жохов 1 часть.Математика 6 класс упражнение 734. математика 6 класс упражнение 750. упражнение 734 математика 6 класс задача.Виленкин жохов математика 6 класс номер 3.93Математика 6 класс номер 1178. математика 6 класс 1194.Математика 6 класс виленкин 1 часть номер 949. домашнее задание по математике номер 949.Математика 6 класс виленкин номер 777. математика 6 класс 777 упражнения виленкин.Математика 6 класс номер 1416. математика 5 класс виленкин номер 1416. математика 6 класс стр 1416 фото. математика пятый класс номер 1416.Математика 6 класс 2 часть номер 1277. математика 6 класс виленкин номер 1277. математика 6 класс упражнение 1261.Математике 6 класс виленкин номер 415. математика 6 класс страница 66 номер 415.Математика 6 класс номер 450. математика 6 класс виленкин номер 450. математика 6 класса, математика, 6 класс 450 упражнение..Математика 6 класс номер 1573. математика 6 класс виленкин учебник номер 1589. номер 1573 по математике 6 класс виленкин.По математике 6 класс виленкин 1 часть номер 595. 203 20 809 150 83 079 1 3472 1 1528. домашнее задание математика 6 класс номер 595. математика 6 класс 1 часть номер 595.Номер 1320.Готовые домашние задания по математике 6 класс виленкин. математика 6 класс виленкин 2025. математике 6 класс виленкин 2 часть. математика 6 класс виленкин номер 953.Математика виленкин страница 4 6 класс. математика 6 класс 3 задание виленкин. математика 6 класс виленкин 1 часть номер 2.426.Номер 931 5 класс. математика 6 класс номер 956.Номер 1386 математика шестой класс. номер 1386 по математике 6 класс виленкин. математика 6 класс страница 243 номер 1386. номер 1386 6.Математика 6 класс виленкин номер 1079. номер 1079 по математике 6 класс.Математика 6 класс номер 1295. математика 5 класс 2 часть номер 1295.Математика 6 класс виленкин номер 803. номер 803 по математике 6 класс виленкин 1 часть. упражнение 803 6 класс по математике.Математика 6 класс номер 931. математика 5 класс 1 часть номер 931. математика 5 класс виленкин 1 часть номер 931.Математика 6 класс виленкин жохов номер 477. математика 6 класс виленкин 477 решение. математика 6 класса н я виленкин номер 477.Математика 6 класс номер 579. номер 584 по математике 6 класс. математика 6 класс мерзляк номер 579.Математика 6 класс номер 1464. математика 6 класс 1 часть номер 576. номер 1464 по математике 5 класс.Математика 6 класс 2 часть номер 1348. математика пятый класс номер 1348.Математика 6 класс номер 1353. виленкин 6 класс 1353. 1353 математика 6 класс виленкин. математика 6 класс виленкин 1535.