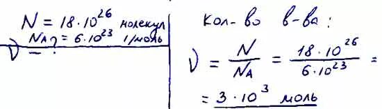
В баллоне находится 4 моль газа сколькоВ баллоне находится. в баллоне находится 2 моль газа. газ находится в баллоне. в баллоне находится 4 моль газа сколько примерно молекул.В баллоне находится. сколько молей газа. в баллоне находится 4 моль газа. в баллоне находится 4 моль газа сколько примерно молекул.В баллоне находится 4 моль газа сколькоВ баллоне находится. сколько молей газа. сколько молекул газа находится в баллоне. в баллоне находится 10 моль газа сколько примерно молекул газа.Сколько молекул газа находится. количество моль газа. сколько молекул газа находится в баллоне. сколько молекул в газе.В баллоне находится. газ находится в баллоне. в баллоне находится 10 моль газа сколько примерно молекул газа. сколько молекул газа находится в баллоне.В баллоне находится 4 моль газа сколькоВ баллоне находится 4 моль газа сколькоВ баллоне находится. в баллоне находится 10 моль газа сколько примерно молекул газа.В баллоне находится. число молей газа в баллоне. газ находится в баллоне. в баллоне находится примерно 3-1025 молекул.В баллоне находится 4 моль газа сколькоВ баллоне находится 4 моль газа сколькоГаз находится в баллоне. масса газа в баллоне от температуры. температура газа в баллоне. температура газа при выходе из баллона.Молярный объем находящегося в баллоне газа. плотность светильного газа. молярная масса светильного газа. молярная масса водорода в кг/моль.В баллоне находится 4 моль газа сколькоВ баллоне находится газ при температуре 15. газ находится в баллоне при температуре 288. в баллоне находится газ при температуре 17 во сколько раз уменьшится.Давление газа при атмосферном давлении. некоторое количество газа. давление газа при атмосферном давлении определите в баллоне. в баллоне находилось некоторое количество газа при атмосферном.В баллоне находится 4 моль газа сколькоДавление сжатого газа при 20с. каково давление сжатого воздуха находящегося в баллоне емкостью 20 л. каково давление сжатого воздуха. каково давление сжатого воздуха находящегося в баллоне.Решение задач на тему термодинамика 10 класс физика. задачи по термодинамике с решением. физика 10 класс решение задач по теме термодинамика. задачи с решением по физике 10 класс энергия идеального газа.В баллоне находится 4 моль газа сколькоВ баллоне находится 4 моль газа сколькоВ баллоне находится 4 моль газа сколькоВ баллоне находится 4 моль газа сколькоБаллон емкость 10 л содержит кислород при давлении 15 атм. определите температуру смеси. давление водорода в баллоне. объем газа азота в 10л баллоне.В баллоне находится 4 моль газа сколькоМолярная масса азота. масса молекулы азота. молярная масса азота равна. молярная масса азота в кг/моль.В баллоне находится примерно 18 10 26 молекул газа. число молей газа в баллоне. сколько молекул газа находится в баллоне. в баллоне находится 10 моль газа сколько примерно молекул газа.В баллоне находится 4 моль газа сколькоВ баллоне находится 4 моль газа сколькоВ баллоне находится 4 моль газа сколькоВ баллоне находится 4 моль газа сколькоВ баллоне находится 4 моль газа сколькоВ баллоне находится 4 моль газа сколькоНайти массу углекислого газа. найти массу углекислого газа в баллоне вместимостью 40 л. масса углекислого газа в 40 литровом баллоне. найти массу газа в баллоне.В баллоне находится 4 моль газа сколькоРасширение газа в баллоне при температуре. температура газа в баллоне. объем газа при давлении. определить температуру газа.1 моль идеального одноатомного газа. один моль одноатомного идеального одноатомного газа находится. температура одноатомного идеального газа. какое количество теплоты необходимо сообщить одному молю.Азот молярная масса 0.028 кг/моль. молярная масса азота. молекулярная масса азота в кг/моль. азот массой 0.3 кг при температуре 280 к оказывает.Газ при давлении 0.2 мпа. газ при давлении 0.1мпа и 0.01 м3. объем газа при давлении. при температуре 0 и давлении.В баллоне находится 4 моль газа сколькоДавление водорода в баллоне. баллон емкость 20 л содержит углекислый газ массой. масса водорода в баллоне. температура газа в баллоне.В баллоне находится 4 моль газа сколькоВ баллоне находится 4 моль газа сколькоФормула моль объем температура.В баллоне находится 4 моль газа сколькоВ баллоне находится 4 моль газа сколькоВ баллоне находится 4 моль газа сколькоВ стальном баллоне находится гелий массой 0.5. внутренняя энергия аргона при температуре 300 к. в стальном баллоне гелий массой 0.5 кг. масса гелия 1 1.В баллоне находится 4 моль газа сколькоВ баллоне находится 4 моль газа сколькоВ баллоне находится 4 моль газа сколькоВ баллоне находится 4 моль газа сколькоВ баллоне находится 4 моль газа сколькоВ баллоне находится 4 моль газа сколько