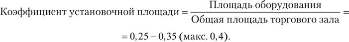
Коэффициент установочной площади магазина. эффективность использования площади торгового зала. коэффициент экспозиционной площади торгового зала. установочная площадь магазина это.Коэффициент установочной площади торгового зала. расчет коэффициента установочной площади торгового зала. коэффициент экспозиционной площади торгового зала. коэффициента экспозиционной площади торгового зала магазина.Коэффициент установочной площади магазина. установочный коэффициент торговой площади. установочная площадь магазина это. коэффициент установочной площади торгового зала магазина.Коэффициент установочной площади. установочная площадь магазина это. коэффициент установочной площади магазина. расчет коэффициента установочной площади.Установочная площадь торгового залаКоэффициент установочной площади торгового зала. коэффициент установочной площади торгового зала формула. как посчитать установочную площадь торгового зала. рассчитать коэффициент установочной площади торгового зала.Расчет коэффициента установочной площади торгового зала. коэффициент эффективности установочной площади торгового зала. коэффициент установочной площади магазина. установочный коэффициент торговой площади.Рассчитать коэффициент установочной площади торгового зала. коэффициенты установочной площади торговых залов. расчет коэффициента установочной площади. рассчитать коэффициент установочной площади.Установочный коэффициент торговой площади. коэффициент установочной площади магазина. расчет установочной площади. коэффициент установочной площади торгового зала.Коэффициент эффективности торговой площади формула. коэффициент экспозиционной площади торгового зала. расчет коэффициента установочной площади торгового зала. коэффициент экспозиционной площади формула.Коэффициент эффективности торговой площади формула. коэффициент установочной площади торгового зала формула. коэффициент экспозиционной площади торгового зала. коэффициенты установочной площади торговых залов.Установочная площадь торгового залаЭкспозиционная площадь торгового зала. коэффициента экспозиционной площади торгового зала магазина. экспозиционная выкладка товара. демонстрационно торговый зал площадь.Установочная площадь магазина это. коэффициент установочной площади магазина. коэффициент установочной площади торгового зала.Рассчитать коэффициент установочной площади торгового зала. коэффициент демонстрационной площади торгового зала. коэффициент экспозиционной площади торгового зала. коэффициент установочной площади торгового зала формула.Установочная площадь торгового залаКоэффициент эффективности установочной площади торгового зала. эффективность использования площади магазина. коэффициент эффективности использования торговой площади магазина. показатели использования площади торгового зала.Коэффициент эффективности установочной площади торгового зала. расчет коэффициента установочной площади торгового зала. коэффициент эффективности использования торговой площади магазина. эффективность использования площади магазина.Рассчитать коэффициент установочной площади торгового зала. коэффициент установочной площади торгового зала формула. коэффициент установочной площади торгового зала нормы. коэффициент экспозиционной площади торгового зала.Коэффициент эффективности установочной площади торгового зала. рассчитать коэффициент установочной площади торгового зала. как рассчитывается коэффициент установочной площади. как найти коэффициент установочной площади.Коэффициента экспозиционной площади торгового зала магазина. показатели использования площади торгового зала. как рассчитать площадь торгового зала. рассчитать площадь торгового зала магазина.Площадь торгового зала. установочная площадь магазина это. коэффициент экспозиционной площади торгового зала.Планировка торгового зала магазина строймаг площадью 70м2. проект магазина продуктов 150 кв.м. магазин самообслуживания планировка торгового зала 100 м. планировка магазина стройматериалов 150кв.м.Коэффициент эффективности использования торговой площади магазина. коэффициент эффективности установочной площади торгового зала. формула эффективности торговой площади. коэффициент эффективности планировки магазина и торгового зала.Установочный коэффициент торговой площади. как рассчитать установочную площадь. рассчитать коэффициент установочной площади торгового зала. коэффициенты установочной площади торговых залов.Установочная площадь торгового залаКак посчитать установочную площадь торгового зала. установочная площадь магазина это. расчет экспозиционной площади. коэффициент установочной площади магазина.Установочная площадь торгового залаКоэффициент торговой площади. показатели эффективности торговой площади. эффективность использования площади торгового зала. показатели эффективности использования площади магазина.Расстановка осей. установочная площадь магазина формула. коэффициент установочной площади в торговом зале. установочная площадь магазина это.Площадь зала торгового зала. зоны в аптеке мерчандайзинг. зоны в торговом зале аптеки. планировка торгового зала аптеки.Коэффициент установочной площади магазина. коэффициент установочной площади торгового зала. расчет установочной площади. установочная площадь магазина это.Коэффициент установочной площади торгового зала. коэффициент демонстрационной площади торгового зала. установочная площадь магазина предназначена для.Эффективность использования площади торгового зала. эффективность использования торговой площади магазина. характеристика торгового зала. характеристика торговых зон.Установочная площадь торгового залаКоэффициент экспозиционной площади. коэффициент экспозиционной площади формула. коэффициент экспозиционной площади торгового зала. экспозиционная площадь магазина это.Коэффициент эффективности использования торговой площади магазина. эффективность использования площади магазина. коэффициент установочной площади торгового зала. коэффициент использования площади торгового зала.Коэффициент установочной площади в торговом зале. коэффициент установочной площади торгового зала формула. расчет экспозиционной площади. расчет коэффициента установочной площади торгового зала.Установочная площадь торгового залаУстановочная площадь магазина это. установочная площадь оборудования. установочная и демонстрационная площадь магазина.