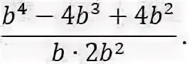
Упростите выражение №16a-№64a+№100a.Упростите выражение b 8 2 64 6bУпростите выражения (№ 16-35). упростите выражение (8a+3b)(3a-8b)-(3a+8b)(8a-3b). упростите выражение №16a-№64a+№100a. упростите выражение (№115 160) ответы.Упростите выражение 8-b 8+b -8b 8b+8. упростите выражение 4b3+8b/b3-8 2b2/b2+2b+4. (5,6+b)/2=5.6. упрости выражения b-(2b+(3b-4)).8b-8 8b+8 -8b 8b+8 при b 2.6. упростите выражение b 8 в квадрате 64 6b. найдите значение выражения при 8b-8 8b+8 8b 8b+8 при b 2.6.Упростите выражение b 8 2 64 6bУпростите выражение b 8 2 64 6bУпростите выражение b 8 2 64 6bУпростите выражение b 8 2 64 6bУпростите выражение a-b/b*(b/b-a+b/a). упростите выражение 16b/a-16a/b 1/4a+4b. калькулятор выражений. a2+4a/a2+8a+16.Упростите выражение b 8 2 64 6bУпростите выражение b 8 2 64 6bУпростите выражение -0.6 1.6b-5 2.9b-8 -4 4-1.5b. упростите выражение 0 6 1 6 b -5. (b+5)^2-5^2-5 при b=9/10. b-5/6b+1/4b упростить выражение.Ab-b2 выражение b. выражение !( а + b ). формула а2-b2 примеры. упростите выражение c – a + (a + c)..29y - 13y - 6 упростите выражение. 8. упростите выражение a-b/b * (b/b-a + b/a). раскрой и упрости выражение : - (b+8)+(-d-3)+d-(4-b-f)-11.Решить выражение. упростите выражение b-5/6+1/4b. b 0.5 +3/ b1.5 - 3b - b0.5 - 3/ b 1. 3/5b+b.Упростите выражение b 8 2 64 6bУпростите выражение и найдите его значение. найдите значение выражения (b − 5)2 − 5b(b − 2). 8b-8 8b+8 -8b 8b+8 при b 2.6. найдите значение выражения (b − 5)2 − 5b(b − 2) при b = 3/2.Упростите выражение b 8 2 64 6bУпростите выражение 4a²-(b-2a)²=. упростите выражение а^2-4b^2/9a^2-b^2:. упростите выражение 4b/a2-b2+a-b/a2+ab. упростите выражение 4.Упростите выражение b 8 2 64 6b5b/b-3-b+6/2b-6 90/b 2+6b. упростите выражение 5b/b-3 b+6/2b-6 90/b2+6b. 2b/5a-5a/2b. 5b/ b-3 b+6 2b-6 90/.Упростите выражения - b(4a²+5)(4a²-5). докажите что значение выражения не равно 125.Упростите выражение b 8 2 64 6bУпростите выражение (b4)5. упростите выражение 2 4 a 5 b. упростите выражение a2/3-a1/3/a2-1. -8 - (-12) = решение.Упростите выражение b 8 2 64 6b5/6b-5/9b+1 1/2b+1/3. 2b+1/b^3+1 - b/b+1 упростите выражение. 2b2-b/b3+1-b-1/b2-b+1. a b a∧b 1 1.Упростите выражение b 8 2 64 6bУпростите выражение b 8 2 64 6bУпростите выражение b 8 2 64 6bУпростите выражение b/c-b2+c2/bc. упростите выражение c/b2-c2 1/b-c 1/b. упростите выражение b-c/b-c2/b2-bc+2b/b-c. упростить выражение 8 класс алгебра (b-c/bc)-1*(b/c-c/b).Упростите выражение b 8 2 64 6bУпростить выражение 7*(4/5+4/5+4/5+4/5). 3m+4/9m^2-4+3/4-6m. 4 9 2 7m 2 1 4 n -4.2 5/7m-0.5n ответ. 2m.0001.4.Преобразуйте выражение в одночлен стандартного. представьте в виде выражения.Упростите выражение b 8 2 64 6bУпростить √(a+4√(a-4)) + √(a-4√(a-4)). упростить выражение (3a4b2)4. упростите выражение √4 + 2√3 − √4 − 2√3.. алгебра 10 класс a-b/√a-√b-a+b/√a+√b.Упростите выражение 4а+90а. s a b 2 h выразите b. выражения с заданными значениями. r a b c /2 выразить b.Упростите выражение b 8 2 64 6bУпростите выражение 4а/а+b ab+b2/16a. упростите выражение b-2a/a-b a2-b2/4a. упростить выражение a^4 - b^4/(a^2+b^2)(a^2+2ab+b 2. упростите выражение а-8/а+8 а+8/а-8 16а/64-а2.Упростите выражение b 8 2 64 6bA2-b2. 2+2. упростить выражение a-b/2a-b - a2 + b2 +a/2a2+ab-b2. упрости выражение (a-2b)^2/ab-(a+2b)^2/ab.Упростите выражение c-2/c+2-c/c-2 c+2/2-3c. упрости выражения c+c+2c. упростите выражение (b-6). упростите выражение: (3а+4b)-(2b-c)-(c-2a).Упростите выражение 2b2-b/b3+1-b-1/b2-b+1. 3b-(2a+b)упростить выражение. упростить выражение (b+3)(b-3). упростите выражение b 1 3 b -1.Упрости выражение (a-b/a2+ab-. упрости выражение 3ab2 4ab 2ab2 ab 2 ab2 2. упростите выражение c – a + (a + c)..Упростите выражение b 8 2 64 6b(a2+b2)(a2-b2). (a-b)^2=(b-a)^2. упрости выражение (a-b/a2+ab-. (a-b) (a+b)=a2+ab-ab-b2=a2-b2.Упростите выражение b 1 3 b -1. (b−3)2 −b2 +3 при b=−5.. 3-b/b+b/b+3 упростите выражения. (b-1^2)(1/b^2-2b+1.1 вариант упрости выражение 15x. упростите выражение c – a + (a + c).. 1 вариант контрольная работа упростите выражение 15x+8y-x-7y.Упростите выражение b 8 2 64 6b7b7b. b^2+49/b^2. (7+b) (7-b) решение. ( (8 b)/(b + 7) - (15 b)/(b^2 + 14 b + 49) ) / (8 b + 41)/(b^2 - 49) + (7 b - 49)/(b + 7) упростит выражение.Упрости выражение.Упростите выражение b 8 2 64 6bУпрости выражение (a-b/a2+ab-. упростите выражение аб мн бс са.Упростите выражение 4/b-4+b/b+4. упростите выражение (b/b-5 - 2b. 4b+5+3b-3 упростить выражение. упростите выражение b_b-5 - 4b.Упростите выражение b/(b+a)-(b-a)/b. упростите выражение 𝐴 ∙ 𝐵̅ → 𝐵 + 𝐶 ≡ �. a-b/b-a упростить выражение. a+b/a^2+a-b/ab упростить выражение.Упростите выражение b 8 2 64 6b