Удиви меня
Умножение 22 7 3 5
Умножение 22 7 3 5
Выполните умножение 9 35 1021. 9 35 умножить на 1021. выполните умножение (5*9+3)5*1021. выполните умножение 9 35 умножить 1021.
Выполнил умножение дроби 1 17. выполните умножение: 22,7 ∙ 3,5.
Умножение 22 7 3 5
Умножение на 22. 22 умножить на. 22 умножить на 22. 1433 умножить на 2221.
Умножение 22 7 3 5
Умножение 22 7 3 5
Умножение. умножение на 22. умножение на 22 33 99. система умножения трахтенберга.
Умножение 22 7 3 5
Умножение 22 7 3 5
Умножение 22 7 3 5
Умножение на 22. 1122 умножить 115. 3815 умножить на 22. 5 22 8 11 умножить на 11 5.
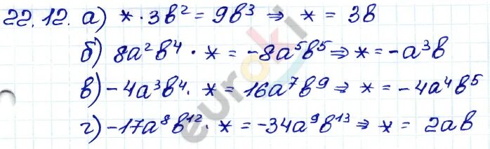
Возведение одночлена в степень алгебра 7 класс. задание на одночлены 7 класс возведение в степень. умножение одночленов возведение одночлена в степень 7 класс. алгебра 7 класс номер 17.3 семёнов.
Умножение 22 7 3 5
Умножение 22 7 3 5
Выполните умножение 0 2 умножить 0.3. выполни умножение(0,5d+c^6)*(0,25d^2-0,5dc^6+c^12). выполни умножение (0,3m+n4)*(0,9m2). выполните умножение: − 3 1 ⋅ 1 1 ..
Умножение 22 7 3 5
Умножение 22 7 3 5
Умножение 22 7 3 5
Умножение 22 7 3 5
Умножение 22 7 3 5
Сокращение дробей с умножением. выполни умножение дробей. как получить дробь. сократив полученную дробь.
Умножение 22 7 3 5
Умножение на 22 33 99. 22 умножить на. 22 умножить на 22. сколько 22 умножение 26.
Умножение 22 7 3 5
Умножение на двузначное число. умножать двузначные числа. устное умножение двузначных чисел. умножение двузначного числа на двузначное.
Умножение 22 7 3 5
Умножение на 22. таблица умножения на 22. умножение 22*6. 22 умножить на 22.
Умножение 22 7 3 5
Умножение таблица умножения. т̷а̷б̷л̷и̷ц̷а̷ у̷м̷н̷о̷ж̷е̷н̷. таблица умножения таблица. таблица умножения для начальных классов.
Как сколько будет 2 умножить на 3. как вычислить умножение. 25 умножить. умножение на 25 легкий способ.
Различные приемы умножения. как решать умножение. умножить на 2. 2 умножить на 2 и умножить на 2 сколько.
Умножение 22 7 3 5
Умножение 22 7 3 5
Умножение 22 7 3 5
Выполни умножение. выполните умножение ответ. выполнить умножение (c+1)(c-2). выполните умножение (c+1)(1-с)(с2+1).
Умножение числа 5 и на 5. деление на 5. умножить число на число. умножить на 100 разделить на 100. число на которое умножают.
Умножение 22 7 3 5
Умножение 22 7 3 5
Умножение 22 7 3 5