Удиви меня
Уксусная кислота и кислород реакция
Уксусная кислота уксусная кислота реакция. получение уксусной кислоты в кислой среде. реакция окисления уксусной кислоты. получение уксусной кислоты при окислении.
Взаимодействие карбоновых кислот с гидроксидами. реакция карбоновой кислоты с гидроксидом меди 2. взаимодействие карбоновых кислот с нерастворимыми основаниями. карбоновые кислоты и ch3mgcl.
Уксусная кислота и кислород реакция
Уксусная кислота и кислород реакция
Уксусная кислота уксусная кислота. химические свойствамуксусноц кислоты. реакции на карбоксильную группу. химические свойства уксуса.
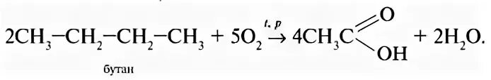
Синтез уксусной кислоты из бутана. получение уксусной кислоты из бутана. реакция окисления бутана в уксусную кислоту. из бутана получить уксусную кислоту.
Уксусная кислота и кислород реакция
Нагревание уксусной кислоты. уксусный альдегид и кислород. уксусная кислота при нагревании.
Горение карбоновых кислот. реакция горения карбоновых кислот. реакция горения кислоты. горение органических кислот общая формула.
Уксусная кислота и кислород реакция
Уксусная кислота и кислород реакция
Реакция из уксусного альдегида в уксусную кислоту. уксусный альдегид уксусная кислота реакция. как из альдегида получить уксусную кислоту. уксусная кислота из ацетальдегида.
Уксусная кислота и кислород реакция
Уксусная кислота и кислород реакция
Карбоновые кислоты с галогенами. реакция замещения карбоновых кислот. карбоновые кислоты 10 класс. карбоновые кислоты презентация 10 класс.
Получение уксусной кислоты. методы получения уксусной кислоты. получение уксусной кислоты в промышленности. уксусная кислота полцчанмя.
Уксусная кислота и кислород реакция
Карбоновые кислоты взаимодействие между собой реакции. химия 10 класс карбоновые кислоты реакции. карбоновая кислота с h2 ni. пиролиз солей карбоновых кислот и металлов ii группы.
Реакции с уксусной кислотой наблюдения. уксусная кислота реакции. взаимодействие уксусной кислоты с содой уравнение реакции. химические реакции с уксусной кислотой.
Уксусный альдегид. уксусный альдегид в уксусную кислоту. уксусная кислота из альдегида. ацетальдегид уксусная кислота реакция.
Уксусная кислота получить метан. как из уксусной кислоты получить метан. получение метана из уксусной кислоты. уксусная кислота в метан.
Уксусная кислота и кислород реакция
Реакция карбоновых кислот с галогенами. карбоновые кислоты с pcl5 механизм. реакция замещения карбоновых кислот с галогенами. качественные реакции на функциональные группы карбоновых кислот.
Карбоновая кислота и натрий. реакция карбоновых кислот с основаниями. взаимодействие карбоновых кислот. уксусная кислота реагирует с.
Способы получения ацетальдегида. каталитическое окисление бутана до уксусной кислоты. окисление ацетальдегида кислородом воздуха. как из этилена получить бутан.
Как получить уксусную кислоту реакция. синтез уксусной кислоты из этанола. получение уксусной кислоты. способы получения уксусной кислоты.
Химические свойства предельных карбоновых кислот. реакция карбоновых кислот с основными оксидами. карбоновые кислоты с растворимыми основаниями. химические свойства карбоновых кислот схема.
Уксусная кислота из бутана. бутан уксусная кислота реакция. из бутана получить уксусную кислоту. бутановая кислота из бутана.
Гидратация ацетилена уравнение реакции. гидратация ацетилена реакция. гидратация ацетилена по реакции кучерова. гидратация ацетилена формула реакции.
Окисление альдегидов оксидом серебра. реакция горения метанола. муравьиный альдегид с оксидом серебра. уравнение реакции горения метанола.
Гомоацетатное брожение. гомоацетогенное брожение. гомоацетатное брожение схема. уксусная кислота июпак.
Формула горения карбоновых кислот. реакция горения карбоновых кислот. уравнение реакции горения карбоновой кислоты. реакция горения карбоновых кислот формула.
Каталитическое окисление метана. уравнение реакции каталитического окисления метана. реакция каталитического окисления метана. окисление метана и бутана.
Кислоты бывают. кислоты по наличию кислорода. кислоты бывают бескислородные и кислородные. кислоты с кислородом.
Уксусная кислота и кислород реакция
Уксусная кислота и кислород реакция
Бутанон 2 окисление. бутанон окисление. этановая кислота восстановление. реакция получения бутанона окислением.
Ch3 2co h2 кат. реакция этерификации уксусной кислоты. ch3-co-ch2-ch2-ch3.
Горение уксусной кислоты реакция. уравнение реакции горения уксусной кислоты. формула горения уксусной кислоты. сгорание уксусной кислоты.
Уксуснокислое брожение глюкозы реакция. химическая реакция уксуснокислого брожения. уксуснокислое брожение глюкозы уравнение реакции. уксуснокислое брожение:уксуснокислое брожение.