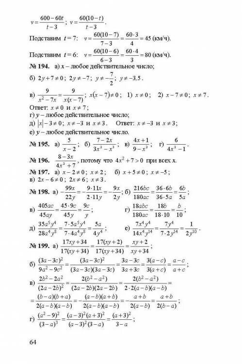
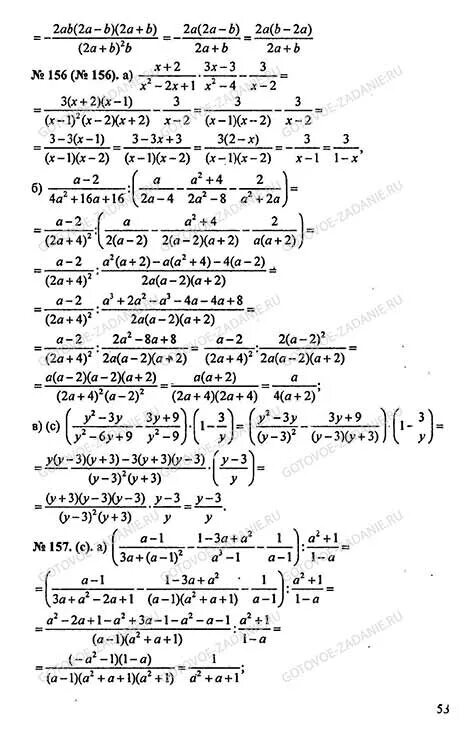
Алгебра 9 класс (макарычев ю.н.) издательство просвещение. учебник по алгебре 9 класс. алгебра 9 класс макарычев учебник. учебник математики 9 класс макарычев.Математика 9 класс учебник макарычев. алгебра девятый класс учебник макарычев. алгебра 9 класс оглавление. алгебра 9 класс макарычев оглавление.Алгебра 9 класс макарычев 122. алгебра 9 класс номер 122. девятый класс алгебра макарычев номер 122. алгебра 9 класс макарычев домашние задания.Учебник алгебра 9 класс углубленный уровень. учебник по алгебре 9 класс углубленный уровень. учебник алгебра 8 класс углубленный уровень. алгебра 9 класс макарычев углубленное изучение.Алгебра 9 класс что проходят. записи по алгебре 9 класс. макарычев 9 класс алгебра 2025. 361 макарычев 9 класс.Феоктистов 9 класс алгебра. алгебра 9 класс макарычев. учебник по алгебре 9 класс. книга алгебра 9 класс макарычев.Алгебра 8 класс макарычев учебник. алгебра 7 класс макарычев учебник.Математика 9 класс учебник макарычев. алгебре за 9 класс макарычев, миндюк, нешков, суворова. учебник. учебник по алгебре 9 класс. учебник по алгебре 9 класс макарычев.Алгебра 9 класс макарычев миндюк нешков. алгебра углубленное изучение макарычев миндюк. алгебра 9 класс 2005 год макарычев. макарычев миндюк алгебра 8 класс углубленное изучение.Алгебра 9 800.Учебник алгебра 9 класс макарычев читатьАлгебра 9 класс 2005 год макарычев. алгебра учебник 9 класс макарычев миндюк. учебник алгебры за 9 класс макарычев. алгебра 9 класс макарычев теляковский.Макарычев миндюк алгебра 9 класс. книга алгебра 9 класс макарычев. учебник макарычева 9 класс алгебра. алгебра учебники учебники 9 класс алгебра.Алгебра учебник. страницы учебников по алгебре. учебник по алгебре 9 класс макарычев. учебник макарычева 9 класс алгебра.Деление рациональных дробей примеры. умножение и деление рациональных дробей 8 класс примеры. умножение и деление рациональных дробей контрольная.Книга алгебра 9 класс макарычев. алгебра учебник 9 класс макарычев миндюк. учебник алгебры за 9 класс макарычев. алгебра 9 класс (макарычев ю.н.) издательство просвещение.Алгебра 7 макарычев ю. н., миндюк н.г.. алгебра 7 класс макарычев учебник фгос. обложка учебника алгебра 7 класс макарычев. алгебра 7 класс просвещение учебник.Макарычев миндюк алгебра 9 класс. учебник алгебры за 9 класс. математика 9 класс учебник макарычев. алгебра 9 класс макарычев учебник.Макарычев ю.н., миндюк н.г., нешков к.и., суворова с.б. ю н макарычев н г миндюк к и нешков с б суворова 8 класс. гдз по алгебре 7 класс ю н макарычев. макарычев н.г.миндюк, к.и.нешков, с.б. суворова 9 класс алгебра учебник.Алгебра 9 класс макарычев миндюк нешков. уравнения 9 класс алгебра. алгебра 9 класс решение. гдз по алгебре 9 макарычев.Макарычев алгебра 9 класс учебник оглавление учебника. алгебра 9 класс макарычев содержание. алгебра 9 класс учебник оглавление. математика 9 класс макарычев содержание.Макарычев алгебра 9 класс учебник оглавление учебника. алгебра 9 класс макарычев учебник оглавление. алгебра 9 класс оглавление. алгебра 8 класс макарычев учебник оглавление.Математика 9 класс макарычев. учебник по алгебре 9 класс макарычев. учебник по алгебре 9 класс макарычев читать.Математика 10 класс макарычев. алгебра 10 макарычев учебник. алгебра 10 класс учебник. учебник по алгебре 10-11 класс макарычев.Алгебра 9 класс макарычев учебник. алгебра 9 класс 2005 год макарычев. алгебра 9 класс миндюк учебник. алгебра 9 класс макарычев углубленный уровень.Алгебра. учебник для 7 класса общеобразовательных учреждений. учебники по алгебре для общеобразовательных школ. учебник по алгебре 7 класс углубленный уровень. учебник по алгебре 7 класс общеобразовательный.Учебник алгебра 9. учеьникалгебры 9 класс. алгебра 9 книга. алгебра 9 класс макарычев.Алгебра 9 класс макарычев миндюк просвещение. алгебра 9 класс (макарычев ю.н.) издательство просвещение. учебник по алгебре 9 класс макарычев миндюк. учебник по алгебре 9 класс макарычев.Алгебра 8 класс номер 835. 835 алгебра 9 класс. гдз по алгебре 8 класс номер 835. математика 7 класс номер 835.Алгебра 9 класс макарыче. учебник по алгебре 9 класс. учебник макарычева 9 класс. книга алгебра 9 класс макарычев.Алгебра 9 класс макарычев страницы. номер 122 по алгебре 9 класс. номер 122 по алгебре 9 класс макарычев. учебник математике 9 класс макарычев 117.Учебник алгебра 9 класс макарычев читатьАлгебра 9 класс макарычев миндюк нешков суворова. учебник по алгебре 9 класс. алгебра 9 класс оглавление. дидактические материалы по алгебре 9 класс.Алгебра 9 класс макарычев содержание. алгебра 7-9 класс учебник. алгебра 9 класс макарычев оглавление. алгебра 6 класс учебник.Алгебра 9 класс макарычев 313. неравенства алгебра 9 класс макарычев. алгебра 9 класс макарычев, миндюк 1990. неравенства с одной переменной алгебра 9 класс макарычев.Алгебра 9 класс макарычев гдз. алгебра 9 класс макарычев номер 124. гдз по алгбере 9 класс мака. гдз по алгебре 9 класс мака.Алгебра 9 класс макарычев. книга по алгебре 9 класс макарычев. алгебра 9 класс макарычев оглавление. учебник по алгебре 9 класс содержание.Макарычев феоктистов 9 класс алгебра. алгебра 9 класс макарычев углубленное изучение. алгебра 9 класс макарычев учебник. алгебра 9 класс учебник макарычева миндюк.Учебник алгебра 9 класс макарычев читатьГдз по по алгебре 8 класса учебник. алгебра 8 класс макарычев гдз учебник. номер 156 по алгебре 8 класс. алгебра номер 156 макарычев.