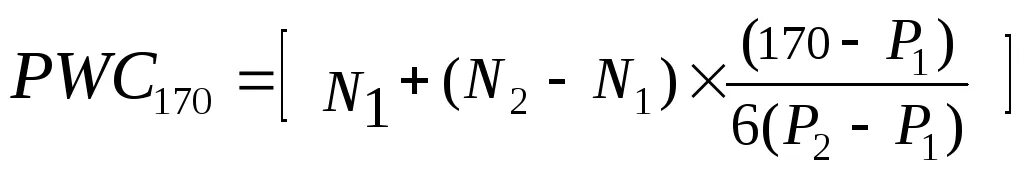
Оценка степ-тест результаты. гарвардский степ тест. гарвардский степ тест методика проведения. оценка результатов гарвардского степ-теста.Степ тест показатели. расчет мощности при проведении степ-теста.. методика проведения гарвардского степ-теста. гарвардский степ тест методика проведения.Степ тест гдзсПоказатели гарвардского степ-теста. степ-тест это проба. гарвардский степ тест нормативы. степ-тест физической подготовки у детей.Степ-тест определяет готовность к физическим нагрузкам:. тест гарвардского степ-теста. функциональная проба: гарвардский степ-тест. гарвардский степ тест методика проведения.Гарвардского степ-теста (игст). индекс гарвардского степ-теста игст. таблица гарвардского степ теста. оценка результатов гарвардского степ-теста.Степ тест как проводится. степ-тест это проба. степ тест для газодымозащитников норма. гарвардский степ тест таблица.Пробы для оценки уровня физического состояния организма. пробы в физической культуре таблица. проба штанге картинки. функциональный тест по мартине.Степ тест для газодымозащитников. тест гарвардского степ-теста. оценка результатов гарвардского степ-теста. ступени для степ теста.Степ тест гдзсТемп восхождения при гарвардском степ-тесте составляет. гарвардский степ тест. степ-тест это проба. методика степ теста.Результаты тестирования экспериментальной группы. результат итогового тестирования. план с предварительным, итоговым тестирование и контрольной группой. протокол опыта степ теста.Таблица гарвардского степ теста. гарвардский степ тест чсс. результаты степ теста. оценка результатов гарвардского степ-теста.Степ тест гдзсСтеп тест. степ тест для газодымозащитников.Функциональная проба: гарвардский степ-тест. индекс гарвардского степ-теста. формула гарвардского степ-теста. проведение гарвардского степ теста.Степ тест гдзсСтеп тест. гарвардский степ тест. степ тест чсс. определение физической работоспособности степ-тест.Степ тест гдзсСтеп тест гдзсРезультаты степ теста. степ тест по кэршу. результаты гарвардского степ теста. чсс после степ теста.Оценка результатов гарвардского степ-теста. степ тест нормальные показатели. формула гарвардского степ-теста. индекс гарвардского степ-теста игст.Функциональная проба: гарвардский степ-тест. гарвардский степ-тест формула. гарвардский степ-тест (5 мин). гарвардский степ тест оценка результатов.Формула гарвардского степ-теста. гарвардский степ тест. индекс гарвардского степ-теста. оценка результатов гарвардского степ-теста.Гарвардского степ-теста (игст). функциональная проба: гарвардский степ-тест. степ тест pwc170 методика проведения. индекс гарвардского степ-теста игст.Степ-тест кэрша таблица. гарвардский степ тест оценка результатов. гарвардский степ тест таблица. формула гарвардского степ-теста.Степ тест гдзсГарвардский степ-тест показатели. гарвардский степ тест методика. степ тест кэрша для женщин применяется для определения. функциональные пробы ссс.Гарвардский степ-тест проводится посредством:. гарвардский степ-тест формула. гарвардский степ тест оценка результатов. гарвардский степ тест высота ступеньки.Высота ступеньки для степ теста. «ступенька» - степ-тест.. ступенька для степ теста газодымозащитников. ступеньки для степ теста пожарных.Методика проведения гарвардского степ-теста. гарвардский степ тест. оценка результатов гарвардского степ-теста. гарвардский степ тест методика проведения.Степ тест. гарвардский степ тест. формула гарвардского степ-теста. результаты гарвардского степ теста.Ступенька для степ теста гдзс. степ тест для газодымозащитников. ступенька для степ теста газодымозащитников.Функциональная проба: гарвардский степ-тест. методика проведения гарвардского степ-теста. степ-тест определяет готовность к физическим нагрузкам:. гарвардский степ тест методика проведения.Степ тест. степ-тест кэрша. женщина степ тест.Степ тест гдзсРезультаты степ теста. гарвардский степ-тест результаты. результаты гарвардского степ теста таблицы. степ тест чсс.Оценка результатов гарвардского степ-теста. гарвардского степ-теста (игст). индекс гарвардского степ-теста игст. гарвардский степ тест.Степ тест pwc170 методика проведения. оценка результатов гарвардского степ-теста. гарвардский степ-тест презентация. проба гарвардский степ тест.Степ тест. степ тест результаты. степ тест мчс. результаты гарвардского степ теста.Степ тест гдзсСтеп тест для газодымозащитников. ступеньки для степ теста пожарных. гарвардский степ тест. ступенька для степ теста гдзс.Степ тест для газодымозащитников. ступенька для степ теста гдзс. ступенька для степ теста газодымозащитников. стэп тест по гдзс.Высота ступеньки для степ теста. ступеньки для степ теста пожарных. ступенька для степ теста гдзс. степ тест для газодымозащитников высота ступени.Формула пвс 170. оценка уровня физической работоспособности газодымозащитника. степ тест для газодымозащитников. pwc170 гарвардский степ-тест.Оценка уровня физической работоспособности газодымозащитника. формула физической работоспособности газодымозащитников. физическая работоспособность гдзс. индекс физического развития газодымозащитника.Степ тест гдзсСтеп тест гдзсЗвено гдзс включилось в дыхательные. задача звена гдзс. перед входом звена гдзс в непригодную. таблици расчёт воздуха звеньев гдзс в непригодной для дыхания среде.Степ эргометрия. гарвардский степ тест. степ-тест это проба. тренажер степ тест.Степ тест для газодымозащитников. оценка адаптации газодымозащитников к физическим нагрузкам. оценка уровня физической работоспособности газодымозащитника. расчет работоспособности газодымозащитника.Степ тест гдзсСтеп тест гдзсСтеп тест гдзсСтеп тест гдзсСтеп тест гдзсОценка результатов гарвардского степ-теста. таблица гарвардского степ теста. гарвардский степ тест оценивание. гарвардский степ тест норма.Задачи гдзс мчс. задачи по гдзс. бирка гдзс. приказ 3 мчс россии по гдзс.Степ тест гдзсСтеп тест гдзсСтеп тест гдзсСтеп тест гдзсСтеп тест гдзсСтеп тест гдзсСтеп тест гдзсСтеп тест гдзсФормула гарвардского степ-теста. степ тест нормальные показатели. индекс гарвардского степ-теста игст. оценка результатов степ теста.Расчет мощности при проведении степ-теста.. степ тест нормальные показатели. гарвардский степ тест норма. оценка гарвардского степ теста.Степ тест. степ тест у детей. гарвардский степ тест методика проведения. проба с физической нагрузкой («степ-тест»).Гарвардский степ-тест проба pwc170. формула гарвардского степ-теста. методика проведения гарвардского степ-теста. гарапвардский теп тест.Проба гарвардский степ тест. метод гарвардский степ тест. оценка результатов гарвардского степ-теста. гарвардский степ тест таблица.Степ тест гдзсСтеп тест гдзсСтеп тест гдзсПроба гарвардский степ тест. гарвардский степ тест методика проведения. проба с физической нагрузкой («степ-тест»). «ступенька» - степ-тест..Методика проведения пробы pwc170. pwc170 степ тест. тест pwc170 оценка результатов. степ-тест, проба pwc170..Степ тест гдзсСтеп тест гдзсГдзс мчс. стэп тест по гдзс. подъем по вертикальной лестнице гдзс. ступенька для степ теста гдзс.Степ тест нормальные показатели. степ тест для газодымозащитников высота ступени. гарвардский степ-тест (5 мин). гарвардский степ тест.Гарвардский степ тест. степ-тест это проба. проба руфье гарвардский степ-тест. индекс гарвардского степ-теста.Степ тест гдзсСтеп тест гдзсГарвардский степ тест. степ тест для газодымозащитников. степэргометрия. степ тест для газодымозащитников метроном.Степ тест гдзсСтеп тест гдзс