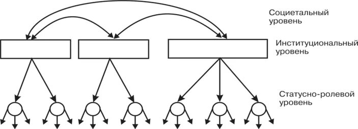
Социетальное общество. социетальный уровень общества. подсистемы социетальной общности.Социетальный уровень общества. каково предназначение понятия "социетальный"?. социетальное сообщество парсонс.Социетальный уровеньСоциетальный уровень общества. социальный и социетальный. социетальная система это в социологии. общество как социетальная система.Социетальное общество. социетальный уровень общества. социальный и социетальный. социетальная структура общества.Социетальная структура общества. социетальный уровень общества. подсистемы социетальной общности. общество как социетальная система.Социетальный уровень общества. социальные уровни общества. социальное и социетальное. уровни общества как системы.Социетальная система. каково предназначение понятия "социетальный"?. асинхронный тип развития.Социетальный уровеньСоциетальный уровеньСоциетальный уровеньСоциетальный уровеньСоциетальный уровень общества. социальная и социетальная система. подсистемы социетальной общности. общество как социетальная система.Социетальный уровеньКаково предназначение понятия "социетальный"?. примеры элементов. социетальные системы примеры. социальный и социетальный.Социетальный уровеньСоциетальный уровеньСоциетальный уровеньСоциетальная система. социальная и социетальная система. социетальная структура общества. социетальный уровень общества.Социетальный уровеньСоциетальная структура общества. интегральный уровень структуры общества. социетальный уровень общества.Сложности уровней структуры общества интегральный. уровни структуры общества по сложности интегральный социетальный. базовый институциональный и социетальный уровни общества. интегральный уровень структуры общества.Социетальный уровеньУровни организованности общества. уровни организованности группы. социетальный уровень социальных изменений. уровни структуры общества по сложности интегральный социетальный.Социетальный уровеньСоциетальный уровеньСоциетальный уровеньСоциетальный уровеньСоциетальный уровеньУровни структуры общества по сложности. последовательность по сложности уровней структуры общества. интегральный уровень структуры общества. сложности уровней структуры общества интегральный.Социетальный уровеньСоциетальный уровеньСоциетальный уровеньСоциальная и социетальная система. социетальный уровень общества. социетальная структура общества. подсистемы социетальной общности.Социетальный уровеньСоциетальный подход. социетальное общество. социетальное это понятие.Социетальный уровеньСоциетальный уровеньСоциальные уровни общества. социетальная структура общества. социетальный уровень общества. системный анализ общества.Социетальный уровеньУровни социальной работы. индивидуальный уровень социальной работы. уровни социальных работников. основные уровни социальной работы.Социетальный уровеньСоциетальный уровеньСоциетальный уровеньСоциетальный уровеньСоциетальный уровеньСоциетальный уровеньСоциальный уровень. социальные уровни людей. низкий социальный уровень. социальный уровень гостей это.Социетальные системы примеры. социетальный уровень анализа пример. социетальная модель коммуникации. социетальный кризис.Социетальный уровеньИсследование общества. термин социетальный. социетальный кризис. социетальный атрибут общества.Социетальный уровеньСоциетальный уровеньСоциетальный уровеньСоциетальный уровеньСоциетальный уровеньСоциетальный уровеньСоциетальный уровеньСоциетальный уровеньСоциетальный уровеньСоциетальный уровеньСоциетальный уровеньСоциетальный уровеньСоциетальный уровеньСоциетальный уровеньСоциетальный уровеньСоциетальный уровеньСоциетальная система. становление постсоветской россии. подсистема социетальный. социетальная модель коммуникации.Социетальный уровеньСоциетальный уровеньСоциетальный уровеньСоциетальный уровеньСоциетальный уровеньСоциетальный уровеньСоциетальный уровеньСоциетальный уровеньСоциальный уровень. социально политическая устойчивость это. социально-политическая стабильность региона. уровни социальной стабильности.Социетальный уровеньСоциетальный уровеньСоциетальный уровеньСоциетальный. социетального.Социетальный уровень