Удиви меня
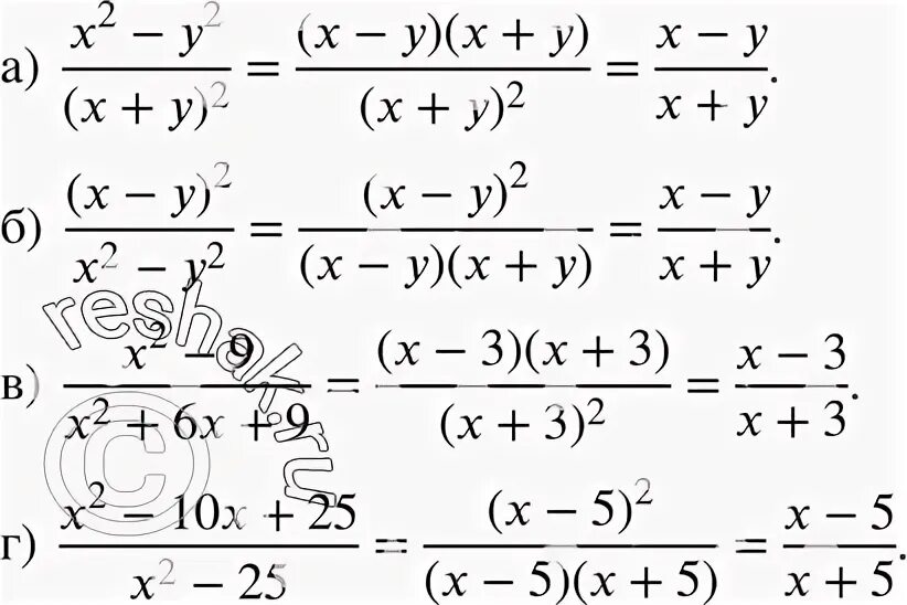
Сократите x2 9 3x 9
Сократит дробь 9x - 3 + x^2- 9x/ 3x^2. сократите дробь x2-9/3x-9. сократить дробь 3x+2. 2 и 9 сократить.
Сократите x2 9 3x 9
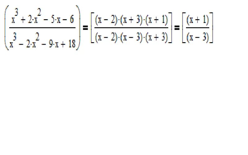
X3-5x2-9x+45/ x-5 x+3. сократите дробь x3+2x2-9x-18 x-3. сократите дробь 5x2-3x-2/5x+2x. сократит дробь 9x - 3 + x^2- 9x/ 3x^2.
Сократите дробь x2-9/3x-9. сократите дробь x3+2x2-9x-18 x-3. дробь 3/9. дробь 5/9.
Сократите дробь х-9/3х-9. сократить дробь 3х-9/х-3. сократите дробь 9-а. 3х3х9.
Сократите дробь 5х+3 2 5х-3 2/х. сократите дробь 3y+y-2/4-9y. y2-9/y2-6y+9 сократите дробь. сократите дробь - 5x + 6 x -9.
Сократите дробь x3+2x2-9x-18 x-3. сократить дробь x^3+1/x^2+x. сократит дробь 9x - 3 + x^2- 9x/ 3x^2. сократите дробь x3+2x2-9x-18 x-3 x+2.
Сократите дробь x3+2x2-9x-18 x-3. сократите дробь x3+2x2-9x-18 x-3 x+2. сократите дробь x2-9/x2-2x-15. сократит дробь 9x - 3 + x^2- 9x/ 3x^2.
X3+4x2 9x+36. дроби с x. сократите дробь 3x/x2+4x. x^3-4x^2 -9x+36/x^2-7x+2.
Сократите дробь 5x 2-3x-2/5x 2+2x.
Сократите x2 9 3x 9
Сократите дробь x2-x-2/2-x. сократите дробь 5x 2-3x-2. сократить дробь x2-5x+6/x2-4x+4. сократить дробь (x^2-4x+3)/(x^2-2x+1).
Дроби с x. сократите дробь x2-x-2/2-x. сократите дробь x 2 −9 (x−3) 2. сократить дробь x3+8/x2-4 карточка с-40.
Сократить дробь x2-16/2x+8. сократите дробь (х-3) (х+1) / х³-3х²-х+3. сократите дробь x2-8x+16/16-x2. сократить дробь x3+2x2+2x+1/2x 3+x 2+1.
Сократите дробь 6x2-x-1/9x 2-1. сократят дроби 12/16 контрольная работа.
Сократите дробь 39х3у/26х2у2. 26\39 сократить. 3(2х+у) -26 = 3х - 2у. ху 2у сократить дробь.
Сократите x2 9 3x 9
Сократите дробь 4x2-x/6x. сократить дробь 4x2+15x -4/x2+4x. сократить дробь x^2-9/2x^2-4x-6. сократить дробь x^2-2x+15 / (x+3)(x+4).
Сократить дробь 3x²-7x+2/1-3 x. сократите дробь 3х2-7х+2/2-6х. сократите дробь : x−2 x 2 −5x+6. 3х2/7х сократите дробь.
Сократите дробь x2-9/3x-9. x3-5x2-9x+45/ x-5 x+3.
Сократите дробь 4x^2+7x-5. сократите дробь x2-x-6/x-3. сократите дробь 7x-2x^2-3/2x^2-x. сократите дробь x²+2x 7x.
Сократите дробь (3x+7)2 - (3x-7)2. сократить дробь 3x^2 - 2x/6-7x-3x^2. сократите дробь 7x-2x^2-3/2x^2-x. сократить дробь x -3 x + 2 2 x -2.
Сократите дробь 9x 2-6x+1/6x 2+x-1. сократите дробь 2x/2x^2-6x. сократите дробь 6x/2x2-6x. сократите дробь 6х2-х-1/9х2-1.
(5х+4)x^ 2 -2x(5x-3)+3(3-5x)=. . сократите дробь: (3х^2+х-4)/(х^2-х).. сократите дробь 5х+3 2 5х-3 2/х. сократите дробь 5х2-3х-2/5х2+2х.
Сократить дробь x2-16/2x+8. 6x³+3xy²/2x³y+xy³ сократите дробь. сократите дробь x2-16/x-4. сократить дробь x^3+2x^2+9/x^3-2x^2+4x-3.
Сократите дробь 5x 2-3x-2. сократите дробь 5x 2-3x-2/5x 2+2x. сократите дробь 5x+2/5x 2+12x+4. сократите дробь 5x2-3x-2/5x+2x.
Сократить дробь 6x/2x^2-6. сократить дробь x2+6x+5/5x2+6x+1. сократить 2x2-5x-12. сократите дробь 2 x -5x+2/3x-6.
Сократите дробь -x^3/x. сократите дробь 3x-1/x2 - x-9/3x. сократить дробь x2-5x+6/x2-4x+4. сократите дробь 3x 2+x-2/x2+x.
Сократите дробь 4x^2+7x-5. сократите дробь 2x2-+5x+2. сократите дробь 4x+4. сократите дробь 2x2+5x+2/8-2x2.
Сократить дробь -x^2+x+2. 15x/x^2 + 5x сократите дробь. сократите дробь x2-9/x2-2x-15. сократите дробь x2-x-2/2-x.
Сократите x2 9 3x 9
Сократите x2 9 3x 9
6 дробьx2 5x. сократите дробь 2x2-x-15/x2-6x+9. сократите дробь x2-x-2/2-x. сократить дробь x2-5x+6/x2-4x+4.
Сократите дробь 5x 2-3x-2.
6 дробьx2 5x. сократить дробь x2-5x+6/x2-4x+4. сократить дробь x^2-2x+15 / (x+3)(x+4). сократите дробь 5x 2-3x-2.
Сократите дробь x 2 +x−20 x 2 −25. сократите дробь 25-x2 5+x. сократите дробь x 5 2 10 2x. x^2-4/x^2-2*x-15 сократить дробь.
Сократите дробь 2x -3, -2.
Сократите дробь : x−2 x 2 −5x+6. сократите дробь 6x/2x2-6x. сократите дробь 5x2-3x-2/5x+2x. сократите дробь 5x 2-3x-2.
Сократите дробь -x^3/x. сократите дробь m-3m 1/3 m 2/3 -3. (x+x^1/2) /2x сократить дробь. x2-2x+1.
Сократите x²-2x+1. сократить дробь 3x4/x3. сократить дробь x3+2x2+2x+1/2x 3+x 2+1. сократить дробь x^3+1/x^2+x.
Сократите дробь x⁴-2x³+x-2. сократить дробь x^3+x^2+9/x^3-2x^2+4x-3. сокращение дроби 3x^2+x-4 x^2-x. сократить дробь x -3 x + 2 2 x -2.
Сократите дробь: x - 3x+1 x - x2 - 2x + 4. сократить дробь (x^2-4x+3)/(x^2-2x+1). сократить дробь x2+4x+4/x+2. x+1/x2+4x+3 сократите дробь.
Сократите дробь 2x-12/x-6.
Сократите x2 9 3x 9
Сократите x2 9 3x 9
2xy+3x в квадрате. сократите дробь x2-y2/4x+4y. x-2 в квадрате. 2y в квадрате 2xy x в квадрате.
Сократите x2 9 3x 9
Сократить дробь x^2-2x+15 / (x+3)(x+4). сократить дробь x2+5x+6/x2-9. сократите дробь 4x2-x/6x. сократите дробь 2x²-5x+2/3x-6.
Сократите x2 9 3x 9
39х3у/26х2у2. сократите дробь 39х2у/26х2у2. сократить дроби 39х^3у\26х^2у. 39х3у/26х2у2 сократить.
Сократите x2 9 3x 9
Сократите дробь 3х +х х -2 4-9х. сократите дробь 3х/х2+4х. сократить дробь 3х2-х-2/9х2-4. сократить дробь х-4/2.
Сократите дробь 12xy-3x/3xy. сократите дробь x2+xy/x2-y2. сократите дробь 4x2-x/6x. сократите дробь x2-y2/4x+4y.
Сократить дробь. сократите дробь x-y/x1/2-y1/2. сократить дробь 10/12. сократите дробь 4b+12/b2-9.
Сократите x2 9 3x 9
Сократите x2 9 3x 9
10x-5/5x^2 сократить дробь. условие задания сократи дробь:. сократите дробь x2-x-2/2-x. сократите дробь 2x -3, -2.
Сократите дробь 5x-10/x2-4.
(х-6)(х+6). сократите дробь( х2- x-2)/(2-x).
Сократите дробь 4x+4. (x+x^1/2) /2x сократить дробь. сократить дробь x2+4x+4/x+2. x+1/x2+4x+3 сократите дробь.
Сократить дробь 3x+2. сократите дробь 3y/y2-2y. дроби x y. сократить дробь x-y/y-x.
Сократите дробь 2x-2b/3 x-b. сократите дробь 5ab-25a2/10ab = b-5a/2b. сократите x2-49\6x+42. сократите дробь (x-2)^2/x^2+3x-10.
Сократить дробь х-7/ икс в квадрате + 2 икс.. сократите дробь 4x2-x/6x. сократить дробь x^3+1/x^2+x. сократить дробь х2-1/х2+2х-3.
Сократите дробь 39x3y/26x2y2. 39p5g8/65p8g5 сократите дробь.
Сократите x2 9 3x 9
2х2-4х-21 дробь x-3 +x2. сократите дробь 6х/2х в квадрате - 6х. сократите дробь 6х/2х2-6х. сократите дробь 14x2b4/21x6b3.
Сократите дробь (x-2)^3 / (2-x)^2. сократите дробь 3x:2-10x+3\x:2-3x. сократите дробь x^2-2x-3/ x^2+2x+1. сократите дробь 2x2-3x-2/x2+3x-10.
Сократите x2 9 3x 9