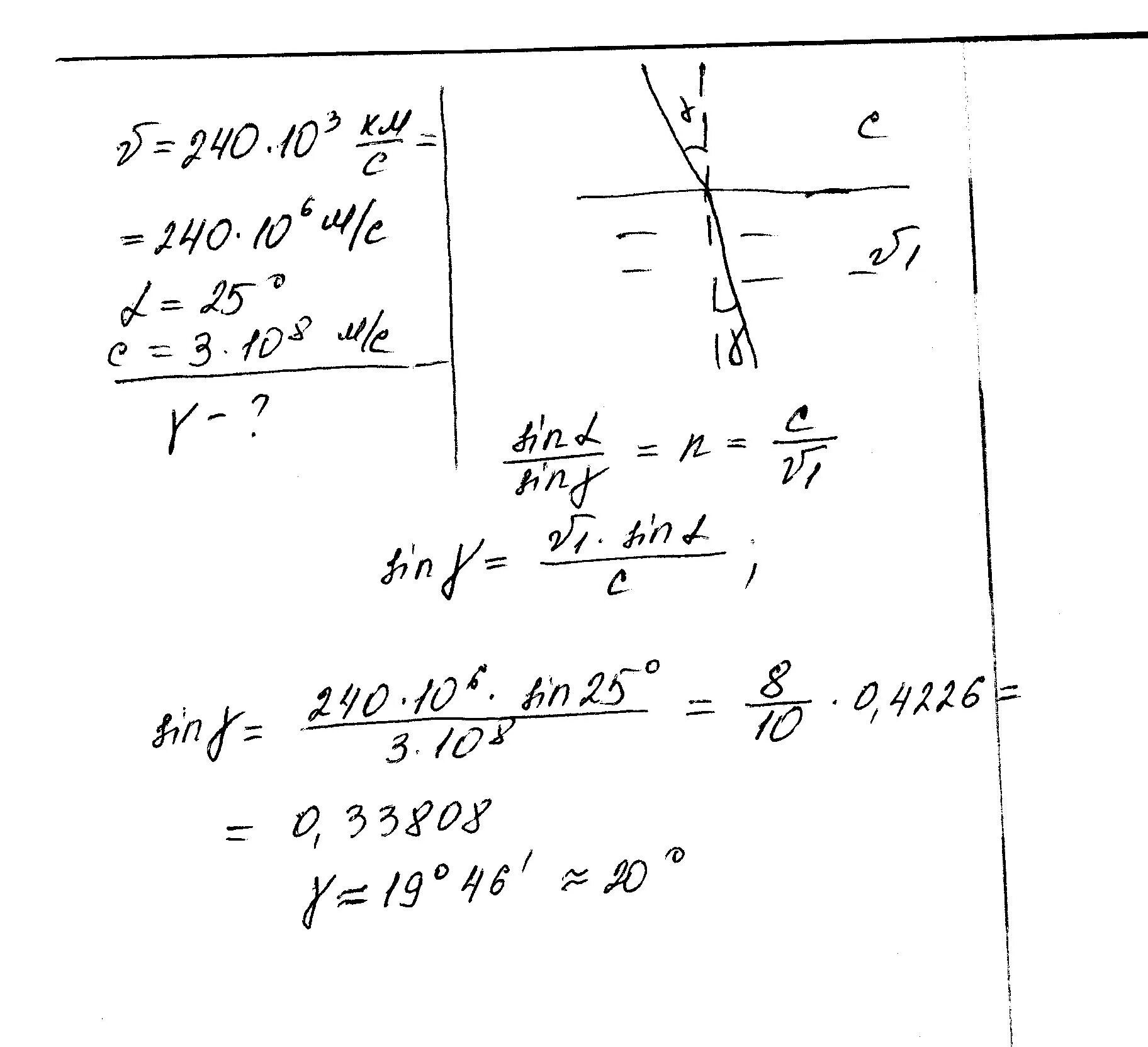
Показатель преломления кварца. рассчитайте какой скоростью будет распространяться свет в кварца. кто посчитал скорость света. как найти скорость распространения света в кварце.Скорость света в разных средах таблица. скорочть распространение света. скорость распространения света. скорость распространения света в среде.Таблица скорости распространения света в различных средах. скорость света в разных средах таблица. скорость распространения света в разных средах. скорость распространения света в разных средах таблица.Скорость распространения света в кварцеСкорость света в разных средах таблица. скорость распространения света в разных средах. таблица скорости распространения света в различных средах. скорость распространения света в разных средах таблица.Скорость распространения света. скорость распространения света в среде. скорость распространения света в среде формула. абсолютный и относительный показатель преломления среды.Скорость распространения света в кварцеКак найти скорость распространения света. как найти скорость света формула. скорость распространения света в среде. скорость света в вакууме.Скорочть распространение света. скорость распространения света. скорость распространения света в среде. скорость распределения света.Скорость распространения света в кварцеСкорость распространения света. скорость распространения света в среде. скорость распространения света обозначение. скорость света в веществе.Скорость распространения света в кварцеОпределение показателя преломления прозрачной среды формула. как найти показатель преломления света формула. как найти показатель преломления формула. относительный показатель преломления формула.Скорость распространения света в кварцеЗависимость скорости распространения света в среде. скорость света в вакууме формула. скорость распространения света в среде формула. как найти скорость распространения света в среде.Скорость звука в различных средах таблица. скорость распространения звука в различных средах таблица. таблица скорости звука в различных средах скорость. скорость звука в разных средах.Формула измерения скорости света. формула нахождения скорости света в вакууме. скорость света в вакууме и в воздухе. форумоа скорости. света.Групповая скорость волнового пакета. групповая скорость распространения волн равна. физический смысл групповой скорости. групповая скорость электромагнитной волны.Скорость распространения света в кварцеСкорость распространения света. скорость распространения света в среде. скорость распространения света в жидкости. скорость распространения света в некоторой жидкости равна 240000.Скорость распространения света в кварцеСкорость распространения света в разных средах. скорость света в разных средах таблица. скорость света. скорость света в вакууме.Коэффициент преломления света в воде. показатель преломления сероуглерода. вычислите относительный показатель преломления. показатель преломления воды вычислить.Скорость света в вакууме формула. скорость света скорость физика. как определить скорость света формула. скорость света формула физика.Скорость распространения света в кварцеСкорость распространения света в кварцеОтносительный показатель преломления формула. формула определения абсолютного показателя преломления. абсолютный показатель преломления формула. относительный показатель преломления света формула.Скорость распространения света в вакууме. скорость света в вакууме равна. как определить скорость света формула. формула нахождения скорости света в вакууме.Скорость распространения света в кварцеСкорость распространения света в кварцеКоэффициент преломления формула. как найти показатель преломления через длину волны. показатель преломления среды через длину волны. как найти показатель преломления света формула.Скорость распространения света в кварцеУгол преломления среды. преломление света в среде. угол преломления стекло воздух. угол падения и преломления света.Скорость распространения света в кварцеСкорость распространения света в кварцеПоказатель преломления вещества формула. абсолютный показатель преломления света формула. формула показателя преломления света. как определить абсолютный показатель преломления.Двойное лучепреломление обыкновенный и необыкновенный лучи. поляризация света при двойном лучепреломлении в кристаллах. двойное лучепреломление света в анизотропных кристаллах. обыкновенный и необыкновенный лучи поляризация.Скорость распространения света в кварцеОптически более плотная. оптически более плотная среда. скорость света в плотной среде. менее плотная оптическая среда.Воздух стекло преломление. показатель преломления из воздуха в стекло. коэффициент преломления света в стекле. преломление света из воздуха в стекло.Определение показателя преломления. определить показатель преломления. скорость света и показатель преломления. показатель преломления угол падения.Как посчитать коэффициент преломления. относительный показатель преломления формула. относительный показатель преломления среды формула. относительный показатель преломления света формула.Чему равен показатель преломления света в среде. относительный показатель преломления среды равен 1. скорость распространения света в среде. скорость распространения луча света.Скорость распространения света в кварцеСкорость распространения света в кварцеДлины волн оптического волокна. формулы для оптического волокна. диаметр оболочки оптического волокна. распространение света в оптоволокне.Скорость распространения звуковой волны таблица. скорость звука в км. скорость звука в воздухе. скорость звука в различных средах таблица.Скорость распространения света в кварцеСкорость распространения света. скорость распространения света обозначение. скорость распространения света в среде. скорость света в веществе.Скорость распространения света в кварцеСкорость света в вакууме формула. как найти скорость света формула физика. формула показателя преломления света. формула нахождения скорости света в среде.Скорость распространения света в кварцеСкорость света в различных средах таблица. скорость света в разных средах таблица. скорость света в различных средах. скорость распространения света в разных средах.Зависимость длины волны от показателя преломления формула. зависимость длины волны от среды. зависимость показателя преломления вещества от частоты. дисперсия света формула.Скорость света в аюводе. скорость света км/с. скорость распространения света в воде. скорость света в воздухе.Природа света скорость света. скорость распространения света. волновая природа света. природа света кратко.Скорость распространения света в кварцеЗакон преломления света презентация. скорость распространения света презентация. скорость распространения света в среде. чертеж распространения света.Зависимость показателя преломления. дисперсия света на дифракционной решетке. показатель преломления дифракционной решетки. дисперсия света спектральные аппараты.Длина волны и показатель преломления формула. относительный показатель преломления вещества формула. формула показателя преломления второй среды относительно первой. показатель преломления среды формула через скорость.Скорости распространения электромагнитных волн в вакууме и среде.. скорость электромагнитной волны в вакууме формула. скорость распространения электромагнитных волн в среде формула. скорость распространения эмв в среде..Длина волны от показателя преломления формула. формула зависимости показателя преломления от частоты волны. показатель преломления среды формула через скорость. преломление света в зависимости от длины волны.Скорость света в вакууме и в среде. скорость света. скорость распространения в вакууме. распространение света в вакууме.Скорость распространения света в первой среде 225000. скорость распространения света в первой среде 225000 км/с а во второй 200000. скорость распространения света физика. распространение света в веществе.Скорость распространения света. скорочть распространение света. скорость света км/с. скорость света равна 300000 км/с.Дисперсия физика 11 класс формулы. дисперсия света показатель преломления. дисперсия света 11 класс физика формулы. дисперсия это зависимость показателя преломления света.Распространение света. скорость света презентация. распространение света в однородной среде. скорость распространения света.Скорость распространения света в первой среде 225000. скорость распространения света в первой среде 225000 км/с а во второй 200000. скорость света как обозначается. распространение света в веществе.Скорость распространения света в кварцеСкорость распространения света в среде. показатель преломления второй среды относительно первой. скорочть распространение света. скорость света в вакууме равна км/с.Абсолютный показатель преломления среды формула. абсолютный показатель преломления света формула. формула показателя преломления света. показатель преломления среды формула.Скорость распространения света. распространение света в вакууме. с какой скоростью распространяется свет в вакууме. скорость света в вакууме.Скорость распространения света в физике. скорость света. природа света скорость света. скорость распространения света в вакууме.Фазовая скорость и показатель преломления. групповая и фазовая скорость показателя преломления среды?. групповая и фазовая скорость световой волны. фазовая и групповая скорости света определение.Скорость распространения света в кварцеСкорость распространения волны в среде формула. скорость волны света. скорость распространения света в веществе. интерференция световых волн.Скорость распространения света в кварцеЗависимость длины волны от показателя преломления формула. зависимость показателя преломления света от частоты колебаний. зависимость показателя преломления вещества от частоты. зависимость показателя преломления от длины волны света.Скорость распространения света в кварцеСкорость распространения света в среде формула. формула нахождения скорости света в вакууме. как найти скорость света в веществе. скорость света в вакууме формула.Как определить скорость света формула. скорость света в вакууме физика. формула для расчета скорости света в вакууме. формула скорости вакуумного освещения.Формула нахождения показателя преломления. относительный показатель преломления света формула. формула для расчета показателя преломления. формулы на показатель преломления прозрачной среды.