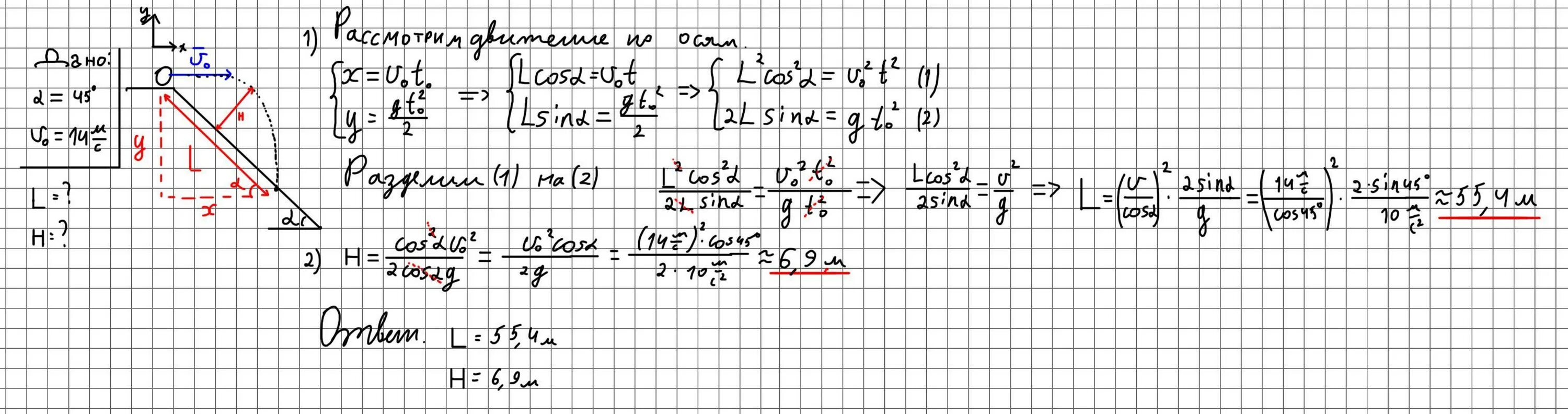
Склоны гор образуют с горизонтом угол а косинус которого равен 0,8. угол косинус которого равен 0.47344. угол между склоном горы и горизонтом. склон с горы огэ математика.Построение угла по косинусу. постройте угол косинус которого равен 2/3. как построить угол косинус которого равен -2/5. построить угол косинус которого равен 4/9.Склоны горы образуют с горизонтом уголСклоны горы образуют с горизонтом уголСклоны гор образуют с горизонтом угол а косинус которого равен 0,8.Склоны горы образуют с горизонтом уголСклоны горы образуют с горизонтом уголТело брошенное под углом к горизонту. камень бросили горизонтально со склона горы образующего угол. камень брошен горизонтально со склона горы образующего угол 45.Угол наклона к горизонту. геометрический подход к задачам баллистики. какие есть поверхности под наклоном. угол наклона скорости к местному горизонту.Склоны гор образуют с горизонтом угол а косинус которого равен 0,8. склон горы составляет с горизонтом угла 60 градусов.Задачи две наклонные под углом 45 и 30. склон горы составляет с горизонтом угла 60 градусов.Склон горы составляет с горизонтом угла 60 градусов.Склоны горы образуют с горизонтом уголРешение задач с углом горизонта. плоскость с углом к горизонту 60. с высоты h на наклонную плоскость образующую угол a с горизонтом. гора образует с горизонтом угол 15.Камень брошенный под углом к горизонту. угол между скоростями. камень брошен под углом 30 градусов к горизонту со скоростью 10. скорость под углом.Склоны горы образуют с горизонтом уголСклоны гор образуют с горизонтом угол а косинус которого равен 0,8.Сани массой 6 кг поднимаются по наклонной горке с углом 30 градусов. сани скатываются с горы с длиной 60 метров под углом 30 к горизонту. на склоне горы составляющей с горизонтом угол альфа 30°. склон горы составляет с горизонтом угла 60 градусов.Склоны горы образуют с горизонтом уголСанки съезжают с горы высотой h. угол наклона к горизонту. коэффициент трения угол. санки съезжают с горы высотой 5 м.Склоны горы образуют с горизонтом уголКамень брошен горизонтально со склона горы. склон горы составляет с горизонтом угла 60 градусов. плоский склон холма образует угол 30 с горизонтом. бросили горизонтально это сколько градусов.Склоны горы образуют с горизонтом уголСила натяжения на наклонной плоскости. угол наклонной плоскости. решение задач с наклонной плоскостью. сила натяжения нити на наклонной плоскости.Угол наклона к горизонту. под углом 30 градусов к нормали. угол наклона горы фото. средний угол склона поверхности.Лыжник массой 70 кг имеющий в конце. лыжник скользит без начальной скорости. лыжник в начале спуска с горы имел скорость 2 метра в секунду. задача д1.Склоны горы образуют с горизонтом уголКамень брошен горизонтально со склона. камень брошен на склоне горы под углом альфа к ее поверхности. бросать камни с горы. камень брошен горизонтально со склона горы образующего угол 45.Склон горы составляет с горизонтом угла 60 градусов.Угол между высотой и медианой прямоугольного треугольника.Угол склона. как определить угол склона горы. склон и угол склона. как измерить угол склона горы.Угол наклона скважины. угол наклона к горизонту. угол выстрела 45 градусов. угол к склону горы на рисунке.Высота холма относительно обрыва карьера. плоский склон холма образует угол 30 с горизонтом. как нарисовать склон горы с горизонтом составляет угол.Коэффициент трения лыж о снег. уравнение движения лыжника. спускается вниз по склону. трение при спуске с горы.Тело брошено под углом к склону холма. угол, который составляет вектор скорости с горизонтом. 45 градусов по горизонту. уклон на склоне холма составляет.Склоны горы образуют с горизонтом уголСклоны горы образуют с горизонтом уголТреугольник с углом 150. склоны горы образуют с горизонтом угол а косинус которого равен 0.8. склоны гор образуют с горизонтом угол а косинус которого равен 0,8.Склон горы составляет с горизонтом угла 60 градусов.Склоны горы образуют с горизонтом уголСклоны горы образуют с горизонтом уголСклоны горы образуют с горизонтом уголКамень брошен горизонтально со склона. камень брошен горизонтально со склона горы образующего угол 45. камень брошен с горы горизонтально со скоростью.Угол наклона к горизонту. под углом 30 градусов к горизонту. угол наклона конвейера к горизонту. угол наклона 30 градусов.Склоны горы образуют с горизонтом уголУгол наклона плоскости к горизонту. мячик по наклонной плоскости. на наклонной плоскости с углом к горизонту бросают камень. задачи физика брошен угол к горизонту.Склоны горы образуют с горизонтом уголСклоны горы образуют с горизонтом уголУгол склона. условия образования лавин. лавина схема. крутизна склона.Склоны горы образуют с горизонтом уголУгол 60 градусов. лыжник съезжает с горы составляющей угол 60 градусов с горизонтом. лыжник съезжает с горы, угол наклона 60 градусов. склон горы составляет с горизонтом угла 60 градусов.Мяч брошен под углом 45 градусов к горизонту со скоростью. камень брошен на склоне горы под углом альфа к ее поверхности. кинематика мяч. камень брошен горизонтально со склона горы образующего угол 45 l= 50 м.Угол 30 к горизонту. поверхность наклонена к горизонту. гора с углом к горизонту 30.Склоны горы образуют с горизонтом уголСклоны горы образуют с горизонтом уголКамень под углом к горизонту. камень брошенный под углом к горизонту. угол наклона к горизонту. задачи с сопротивлением воздуха.Угловая высота солнца над горизонтом. солнце под углом 45 градусов от горизонта. угол нахождения солнца под горизонтом. угловая высота.Склоны горы образуют с горизонтом уголСклоны горы образуют с горизонтом уголСклоны горы образуют с горизонтом уголНабор грузовой массой 100 г. по неподвижной плоскости образующей с горизонтом угол 30 градусов. груз массой 100г. коэффициент трения.Склоны горы образуют с горизонтом уголБрусок на наклонной плоскости егэ. выразите угол β через угол α?. ящик с апельсинами втаскивают вверх по гладкой наклонной плоскости. бордюр на наклонной плоскости.Склоны горы образуют с горизонтом уголСклоны горы образуют с горизонтом уголУклон горы. силы трения между соприкасающимися поверхностями твердых тел. воздушный поток на максимальной скорости.Склоны горы образуют с горизонтом угол