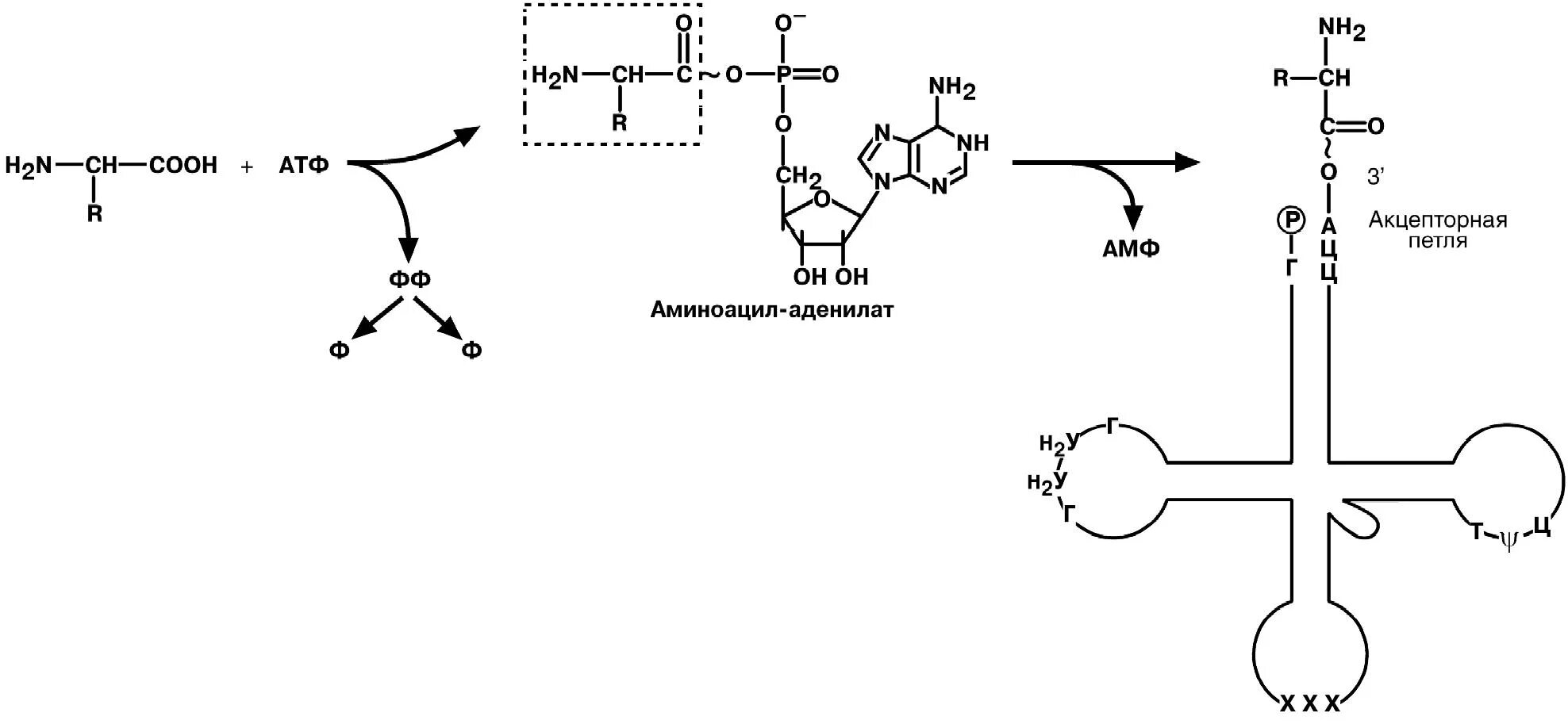
Сколько из известных аминокислот участвуют в синтезе белка?. сколько аминокислот участвуют в биосинтезе белка. количество аминокислот участвующих в синтезе белков. сколько типов аминокислот участвуют в биосинтезе белка.Синтез белка из аминокислот. что синтезируется из аминокислот. синтез белков из аминокислот. синтез аминов.Реакцию активации аминокислот биохимия. этапы активации аминокислот трансляция. реакция активирования аминокислот. реакция катализируемая аминоацил-трнк синтетазой.Реакция образования аминоацил-трнк. аминоацил трнк комплекс. реакция активации аминокислот. биосинтез белка активация аминокислот.Синтез белка сколько аминокислотВиды аминокислот. а-аминокислоты участвующие в построении белков. какие аминокислоты участвуют в биосинтезе белков. аминокислоты виды аминокислот.Транспортная рнк. синтез трнк. трнк процесс. трнк с аминокислотой.Реакция переаминирования белков. синтез белков из аминокислот. реакция образования белков. обмен белков реакции.Синтез белка сколько аминокислотТранспорт аминокислот т-рнк. транспортная трнк строение и функции. структура, функции транспортных рнк. функции рнк трнк и ирнк.Процесс трансляции в клетке. биосинтез белка в клетке трансляция. трансляция белка в клетке. ферментативный синтез белка.Синтез белка сколько аминокислотСинтез аминоцио т рнк. реакция образования аминоацил-трнк.Реакция синтеза аминоацил-трнк. реакция образования аминоацил-трнк. аминоацил трнк формула. синтез аминоацил-трнк.Обмен белков и аминокислот. синтез белков и аминокислот. синтез заменимых аминокислот. заменимые аминокислоты синтезируются из.Синтез белка сколько аминокислотСинтез белка начинается с кодона:. синтез белка стоп кодон. метионин старт кодон. начальный кодон синтеза белка.Трансляция биология синтез трнк. антикодон трнк структура. биосинтез белка т рнк строение. трансляция трнк.Трансляция ирнк на рибосоме. трансляция это процесс синтеза и рнк. трансляция процесс синтеза белка. схема трансляции на рибосоме.Транспортная рнк место синтеза в клетке. место синтеза белка в трнк. синтез белка рнк трнк. трнк место синтеза в клетке.Синтез аланина из лейцина. тирозин+валин+лизин. аланин +лизин+валин. синтез аминокислот биохимия.Фермент аминоацил-трнк-синтетаза. аминоацил-трнк-синтетаза презентация. синтез трнк схема. синтез аминоацил-трнк.Схема образования заменимых аминокислот. пути синтеза заменимых аминокислот. синтез заменимых аминокислот биохимия. пути образования первичных аминокислот.Последовательность белков в днк. последовательность аминокислот в днк. последовательность аминокислот в белке. белок состоит из нуклеотидов.Белок состоит из 300 аминокислот сколько нуклеотидов в гене. задачи по биологии 10 класс синтез белка. сколько аминокислот в гене. 300 нуклеотидов сколько аминокислот кодируют.Биосинтез белка трансляция. трансляция. трансляция биология. трансляция белка.Синтез заменимых аминокислот серин. синтез глицина из серина. биосинтез глицина из серина. синтез незаменимых аминокислот биохимия реакции.Синтез белка сколько аминокислотТвердофазный синтез пептидов схема. твердофазный синтез пептидов меррифилд. синтез полипептидной цепи из аминокислот. образование полипептидной цепи синтез молекулы белка.Перечень незаменимых аминокислот. незаменимые аминокислоты биохимия. незаменимые аминокислоты формулы. незаменимые аминокислоты список 20.Кодирование аминокислот. кодировка аминокислот. таблица кодирования аминокислот. таблица закодированных аминокислот.Состоит из молекул рнк и белка. белки состоят из нуклеотидов. трнк аминокислоты в задачах. участие т рнк в трансляции.Синтез белка из аминокислот. синтез белков из аминокислот. искусственный синтез белка. искусственный синтез белка схема.Синтез белка сколько аминокислотКак найти количество аминокислот. число аминокислот. определите количество аминокислот. какое количество аминокислот входит в состав белков.Синтез белка сколько аминокислотТаблица генетический код биология. генетический код мрнк таблица. аминокислоты таблица генетического кода. триплеты днк таблица.Последовательность трансляции биология. трансляция при синтезе белка. трансляция это процесс синтеза и рнк. процесс трансляции в биологии.Генетический код таблица по биологии 10 класс. таблица кодирования аминокислот днк и рнк. таблица триплетов генетического кода днк. таблица генетического кода по биологии ирнк.Этапы биосинтеза белка процессинг. биосинтез трансляция транскрипция биосинтез белка. биосинтез белка транскрипция процессинг. этапы биосинтеза белка транскрипция и трансляция.Функции трнк и ррнк. структура ирнк трнк ррнк. ирнк и трнк функции. синтез ррнк.Синтез белка сколько аминокислотСинтез белка сколько аминокислотТаблица генетического кода ирнк. таблица аминокислот ирнк. таблица генетического кода по биологии егэ. расшифровка генетического кода.Состав структура и функции белков. структура белков биология. формула молекулы первичной структуры белка. белки химия строение.Таблица генетического кода и-рнк. таблица аминокислот трнк. таблица генетического кода ирнк. таблица генеиическрго кодов (ирнк).Синтез белка сколько аминокислотСинтез белка сколько аминокислотСинтез креатина из аргинина. аргинин креатин биохимия. синтез метионина из глицина. синтез креатинина из аргинина.Синтез белка сколько аминокислотСтруктурная формула трнк. транспорт аминокислот т-рнк. транспортная рибонуклеиновые кислоты строение. трнк строение и их функции.Синтез белка сколько аминокислотБиосинтез белка трансляция терминация. этапы трансляции биосинтеза белка инициация элонгация терминация. этапы биосинтеза белка терминация. трансляция второй этап биосинтеза белка.Валин трнк. функциональная структура трнк. форма трнк. прикрепление аминокислоты к трнк.Метионин старт кодон. трансляция рнк синтез белка в клетке. стартовый кодон мрнк. старт кодон днк.Из чего состоят аминокислоты белка. белок химический состав. белки аминокислоты состав. аминокислоты в составе белков.Общая схема метаболизма аминокислот. обмен аминокислот биохимия схема. общие пути обмена аминокислот биохимия. метаболизм аминокислот схема.Синтез белка сколько аминокислотПервичная структура белка аминокислоты. связи в первичной структуре белка биохимия. первичная структура полипептидов и белков это. первичная структура белка структура.Синтез белка сколько аминокислотФормула трипептида валин аспарагин лизин. таблица аминокислот валин. аспарагин треонин метионин трипептид. глицин глицин аланин-пептид.Активация аминокислот аминоацил-трнк синтетазы. структура аминоацил-трнк. присоединение аминоацил трнк. аминокислота присоединяется в трнк.Реакция активации аминокислот. этапы активации аминокислот. активация аминокислот атф. этапы активации аминокислот трансляция.Валин трнк. аминокислоты трнк гцу. присоединение аминокислоты к 3′-концу трнк. т рнк строение антикодон.Химическая структура белка. примеры белков первичной структуры. структуры белка по химии. белок структура по химии.Синтез белка сколько аминокислотМеханизм биосинтеза белка и этапы. последовательность этапов трансляции при биосинтезе белка. схема этапы синтеза белка биохимия. основные этапы синтеза белка биохимия.Синтез белка сколько аминокислотСинтез белка и передача наследственной информации. какой белок был первым из синтезирован искусственно. аминокислотные остатки состоят из трех. аминокислотный остаток это биология.Лейцин аминокислота формула. глицин аланин валин. глицин аланин серин. формулы глицин,аланин,серин,валин.Определите нуклеотидный состав соответствующего участка днк. определить последовательность аминокислот. определите последовательность аминокислот в полипе. определите последовательность аминокислот в полипептиде.Синтез белка сколько аминокислотТаблица генетического кода ирнк и трнк. днк ирнк трнк таблица. таблица нуклеотидов и аминокислот. таблица днк ирнк трнк аминокислоты.