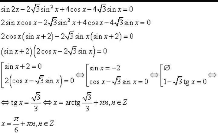
Cos2 x – sin2 x = - корень 32. cos2x sin2x корень из 32. sin3x cos3x корень из 2. sin2x-2 корень из 3 cos x+7п6 3cos.2sin2x 3cosx 2sinx -корень из 3. sin2x 2sinx корень из 3 cosx корень из 3. sin x корень из 3 2. sin2x 2sinx корень из 3 cosx корень.Син x + кос 3x = корень из 2. cos x корень из 3 2. cos x корень из 2 2. корень из 3 sin x cos x корень из 2.Корень 3 sin x cos x cos2x 0. cos3x корень из 22. корень3sinx+cosx. корень 3 кос 3x + sin 3x.Sin3x-cos3x корень из 2 sinx. 3sin 2x 2 корня из 3 sinx cosx+cos2x 0. корень из 3 sin2x+3cos2x 0. cos x sin x корень из 2 sin 2x.Cos x корень 32. sin2x корень из 2 на 2. sinx корень из 3 на 2. sin x корень 32.Sin2x-корень из 3 cos2x 1. 3-sin2x-cos2x. sin2x корень 2cosx 2cos 3x 0. корень 3 sin2x+3cos2x 0.2sin^2 3x = корень из 3sin 3x. sin2x 2sinx корень из 3 cosx корень из 3. sin x 3 корень из 2 2. sin x корень из 3 2.Sin2x+корень из 3 cos2x 2cos6x. решение уравнений cos^2x=sin^2x. sin п 2 2x корень 3 cosx 1. sin2x cos3x решить уравнение.Sin x 3 корень из 2 2. cos3x корень из 22. 2cos2x корень из 3 sin 3п2+x. cos(2x-3p2)=корень из 2 sin x.Решить уравнение sin2x + корень из 3 cos2x =1. 2sin3x+корень из 2cos2x = 2sin. cosx*cos2x = корень из 3*sin^2 + cosx. cosx cos2x корень из 3 sin2x cosx.8sin2x-2корень3cos x +1 0. 8sin 2x 2 корень из 3. 8sin2x-2корень3cos p2-x -9 0. sin (p2+2x)+корень из 3cosx+1=0.Cos 2x 0 решение уравнения. sin3x cos3x корень из 34. sin 2 x 4 cos 2 x 4 корень из 32. sin2x cos2x корень из 2 на 2.Cos 4x pi 4 корень из 2 2. корень из 2( sin2x+cos2x)=3-sin4x. sin 3x cos 3x= - корень из 4. корень из 2 sin 2x pi 4 корень из 2 cosx sin2x-1.Решите sin3x-cos3x=корень 2 sinx. корень из 3 sin2x+3cos2x 0. cosx+cos2x =корень из 2 sin:2 +cosx. cos x корень 3.2sin²x-3 корень из 3 sin (п2+x)-5=0. sin2x корень из 3 (sin x+cosx)=1.5. sin x корень из 3 2. cos3x корень из 22.-2sin^2x-3корень из3sin(пи2+x)-5=0. sin2x корень из 3 cos2x. cos3x корень из 22. 2sin x п 3 cos2x корень из 3.Sin2x 2sinx корень из 3 cosx корень из 3. sin 3x - корень из 3cos 2x - sin x = 0.. sin2x-корень из 3 cos2x 1. корень из 3 cos2x 3-3 sinx+cosx 2.Sin3x+корень из 3cos3x 0. корень из 3 sin2x+3cos2x 0. корень cos2x-sin3x+3 sinx. sin3x-корень из 3 cos2x-sinx 0.Sin2x корень из 3 cos x2sin2x корень из 3 sin x 0 2cosx+1. 2sin*3x+корень из2=корень из 2sin*x. корень из 2 * cosx-1=0 решение. решение уравнения cosx корень из 32.Cos x sin x корень из 2 sin 2x. корень из 3 sin x cos x корень из 2. sin 2x корень из 2 sin x. sin2x корень из 2 на 2.Sin2x 2sinx корень из 3 cosx корень. sin2x-2корень из 3sin в квадрате x+4cosx-4 корень из 3 sinx 0. sin2x корень из 2 sinx корень из cosx 0. sin2x 2sinx корень из 3 cosx корень из 3 -3п -3п2.Корень из 3 sinx cosx корень из 2. cos x корень из 3 2 =0. 2sinx-корень из 3 0. корень из 3 sin2x+ cos2x=0.Sin x 3 корень из 2 2. корень 3 sinx+cosx=2. sinx корень из 3 на 2. sin 3x 2 корень из 2 2.Cos x 3 п 4 корень 2 2. 2cos2x-корень из 2 cosx=0. решите уравнение корень из 2sin^2(3 п2+x) =-cos x. cos^2(п2+x)=1.2cos(п3-x4) = -корень из 3. cos 2 3x корень 22. cos3x корень из 22. cos x корень 3.Cos3x корень из 22. 2sin 2x корень из 3 cos п2-x 0. cos x корень из 3 2. cos x корень 22.Решите уравнение sin2x-2cosx+2=0. решение уравнения cos 2x - sin (-x) =0. решить уравнение sin2x 2sinx cosx =0. решите уравнение cos2x+3sin(-x)-2=0.Cosx+корень из 3 sin 3п2-x2 +1 0. решить уравнение cos pi 4. cos2x-корень3sinx-1=0. sin(3x+pi3).Корень3cos2x+sin2x=0. sin2x+корень из 3 cos2x 2cos6x. sin^2x-корень из 32sinx=0. sin 2x корень из 3 sin x 0.Корень3cos2x+sin2x=0. 2cos2x+корень 3cosx 0. sin2x корень 2cosx 2cos 3x 0. корень 2 sin x корень 2 cos x корень 3.Cos2x=2sinx+1 [-п;п2]. решите уравнение sin^2x2 - 3cos2x =0. cos п2-x. sin2x cos2x.Корень cos2x-sin3x+3 sinx. sin3x-корень3cos2x-sinx 0. sin2x корень из 3 cos2x. корень из 3 sin2x+3cos2x 0.3-sin2x-cos2x. корень3cos2x+sin2x=0. корень из 3sin2x+3cos2x 0 на интервале 3п2 до 3п. корень[2] sin x –корень[2] cos x =sqrt[3].Синус икс равен корень из 3 на 2. sin x корень из 3 2. sinx корень из 3 на 2. sin x корень 22.2sin 2 3п 2 x корень из 3 cosx. 2cos2x корень из 3 sin 3п2+x. корень из 3 sin x cos x cos2x 0. sin2x cos2x корень из 2 sin3x.Решение уравнения sinx корень из 22. уравнение cosx - корень из двух2. решение уравнения sin(x-п4) =корень 22. решите уравнение sin(2x-1) = - корень из 2 на 2.Ешите уравнение sin2x=cos(3π2+x). sin2x+корень из 3 cos2x 2cos6x. sin2x корень 2cosx 2cos 3x 0. -2sin 2x- cosx = 3sin.x..Решение уравнений cos^2x=sin^2x. cos x + sin x = 1 решение уравнение. решите уравнение sin2x+cos2x 1. решите уравнение sinx - sin2x= cosx-.