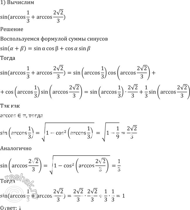
Arccos 0 решение. sin 2 arccos 1 2 3 arctg корень из 3. arccos -1/корень 5. arccos1 arccos2.Sin arccos x. sin arccos x формула. sin(arccos(-3/5) ) решение. как найти sin arccos x.Вычислите sin (arccos корень 2/2 ). sin(2arccos1/3). sin arccos корень из 2/2. sin arccos корень из 3/2.Sin arccos 1 3Решение 1/3(arccos 1/3 + arccos(-1/3)). arccos 1. вычислить arccos. tg(arccos(-1/3)).Arc sin (-1/2 ) + arc cos (корень из 2/2 ). sin arccos корень из 3/2. arccos корень из 2 на 2 arcsin корень из 3 на 2. вычислите sin(arccos корень2/2)- arcsin 0.Sin arccos 1 arcsin корень из 3 2. cos arccos корень 3/2. arcsin(sin корень3/2). sin x/2 cos п/3 -cos x/2 sin п/3=1/2.Sin arccos 1 3Sin arccos 1 3Задачи на арксинусы и арккосинусы. арксинус 1/5. sin(arcsin 1/5). задания на арксинус и арккосинус.Sin arccos 1 3Вычислить cos arcsin 3/5. arcsin(cos0)/3. вычислить арксинус 1/2. cos arcsin 4/5.Sin arccos 1 3Arcsin arccos arctg arcctg формулы. таблица sin cos tg ctg arcsin arccos arctg arcctg. arccos п/2. arctg arccos arcsin arctg формулы.Sin arccos 1 3Вычислить arccos корень из 2/2. arccos корень из 2 на 2. вычислить arccos 0. вычислите arccos корень из 3/2.Sin 0 частный случай. частный случай arccos. частные случаи cos. частные случаи ctg.Arcsin arccos. arcsin arccos формулы. arccos и arcsin объяснение. таблица arcsin arccos.Формула арктангенса через синус. sin arcsin. sin arcsin x. arcsin x формула.Sin arccos 1 3Arccos 1/3 на окружности. арккос 1/2. арккосинус 1/3. арккосинус 2/3.Sin arccos 1 3Sin arccos 1 3Интеграл arcsin x/sqrt 1-x 2. arcsin z. arcsin 1/x. arcsin через ln.Arccos 1. arccos 1/3 в пи. arccos(π). arccos 1/2.Синус арккосинуса формула. cos arctg формула. эквивалентность арккосинуса. cos arccos формула.Вычислите arcctg(-1)-2arccos(-2/2)-3arcsin0. sin arctg корень из 3. вычислить arctg корень 3. sin arccos корень из 3/2.Точка 5п/2. arccos 1/5 на окружности. arccos п/3. arccos 3/5 на окружности.Sinx /2 корень из 2 /2 [-2pi;2pi]. sinx=0[0;п]. sin(x-7pi/2). cos пи x 1/2 на отрезке пи/2;пи.Sin arccos 1 3Sin arccos 1 3Cos(arctg(1 / 2)) решение. 2 arccos 0+3 arccos 1 решение. сканави 2.003. сборник задач по математике 10 класс.Cos x. тригонометрические уравнения cosx a. cos x через arccos.Arccos. имеет ли смысл выражение. cos arcsin. sin от arccos.Cos от arctg. cos arctg x. cos arctg формула. sin arctg x вывод формулы.Арксин арккос. арксинус 1. арксинус арккосинус арктангенс. arcsin arccos формулы.Cos x. arccos это cos-1. cos больше 1. arccos 3/5 на окружности.Sin arccos 1 3Sin arccos 1 3Арксинус 2/5. arccos п/2. arccos 2/2. arccos это cos-1.Arccos 3/4 в пи. arccos 3/5 на окружности. arccos 1/6 на окружности. arccos 2/5 на окружности.Sin arccos 1 3Arccos(sin0.7п). интеграл arccos. sin arccos x формула. arccos-a равен.Arccos корень из 2 на 2. arccos корень 2/2. arccos корень из 3 на 2. arccos 1/корень из 2.Arcsin эквивалентен. sin arcsin. arcsin калькулятор. отрицательный arcsin.Sin arccos 1 3Arccos. arccos(sin(-п/4)). arccos п/3. sin arccos 0 arccos корень 3/2.Tg arcsin корень 3/2. cos arcsin. cos arcsin x. cos arcsin 5/13.Arccos. arccos уравнения. вычислить arccos 0. вычислить arccos 1.Вычислить arccos. формула sin arccos. arcsin arccos. arcsin arccos arctg arcctg.