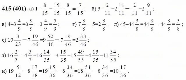
Решебник. шбнмк. решебник книга.Решебник 5 класс. покажи фото решебника для 5 класса. решебник 8 класс 2006 год. включи решебник 5 класса математики.Решебник. шбнмк. домашние задания книга.Математика 5 класс номер 560. математика 5 класс зубарева. математика 6 класс номер 560.Решебник по математике. математика 5 класс решебник. решебник по всем предметам 5 класс.Математика 6 класс задания. математике 6 класс задания. домашние задания по математике 6 класс.Решебник 5 класс 6 классРешебник 5 класс. математика 5 класс страница 62.Домашние задания по математике 6 класс стр 7 номер 5. 6 класс математика страница 8.Решебник 5 класс. математика 5 класс упражнение 770. математика 5 класс упражнение 773.Решебник математика. решебники по математики.Математика виленкин 6 класс 1037. математика 6 класс виленкин. номер 1037 по математике 6 класс.Математика 6 класс мерзляк номер 841. учебники по математике 6 класс для повторения. математика 6 класс 1 параграф.Математика 6 класс дорофеев петерсон. учебник 6 класс по математике дорофеева петерсон. петерсон 6 класс математика учебник.Домашнее задание по математике пятый класс учебник.Задания по математике 5 класс.Математика 6 класс мордкович.Математика 6 класс зубарева мордкович номер 914. готовые домашние задания математика 6 кл. домашнее задание 6 класс математика. математика зубарева мордкович шестой класс.Домашняя контрольная работа по математике 5 класс. контрольная по математике 5 класс задачи.Сборник по математике 6 класс. сборник задач по математике 6 класс. сборник задач по математике 6 класс решебник. сборник заданий по математике 6 класс.Математика 6 класс зубарева мордкович номер 1029. математика 6 класс зубарева номер 1028.Математика номер 486 виленкин 6кл. математика 6 класс (виленкин н.я.), издательство мнемозина. математика 6 класс номер 486.Математика 6 класс 472. математика 6 класс виленкин номер 472 с ответами.Математика 6 класс виленкин номер 1237. математика шестой класс виленкин упражнение 1237.Решебник 5 класс 6 классМатематика 5 класс домашнее задание никольский потапов решетников. учебник по математике 5 класс никольский потапов. учебник по математике 5 класс никольский потапов решетников. решение математики 5 класс никольский.Учебник математика 5 класс никольский задания. решение математики 5 класс никольский. математика 5 класс никольский задания. задача 5 класс по математике с решением.Математика 6 класс виленкин 1563. математика 6 класс решебник. номер 1563 по математике 5 класс.Номер 1307. раскройте скобки и приведите подобные слагаемые 5m- 3m+5. приведите подобные слагаемые 6 класс 3m. математика 6 класс виленкин 1307.Сократить 6 класс математика. сократите 3 4/5 8. матем 6 класс 12.1.Задания по математике 5 класс. домашнее задание для 5 классов по математике. ндз. задания по математике 5 класс с ответами.Номер 5 обществознание 5 класс рабочая тетрадь. 5 класс обществознание рабочая тетрадь номер 4. обществознание 5 класс задания.Математику 6 класс автор виленкин. домашнее задание по математике 6 класс виленкин.Математика 5 класс рабочая тетрадь 1 часть. математика рабочая тетрадь первая часть пятый класс. математика 5 класс 1 часть страница 6.Математика 6 класс 789. домашка по математике 6 класс.Учебник по математике 5 класс задания.Математика 5 класс никольский упражнение 1135. математика 5 класс номер 1132. математика 6 класс никольский номер 1135.Математика 6 класс номер 39. математика 6 класс упражнение 57. зубарева шестой класс номер 39.Математика 6 класс виленкин номер 1116. математика 6 класс виленкин жохов номер 1116.Математика 5 класс номер 1117. математика 5икласс виленкин. математика 5 виленкин. математика. 5 класс.Математика 3 класс 2 часть учебник стр 69 номер 7. математика 3 класс 2 часть стр 69 номер 3.1134 математика 6 класс никольский.Математика 5 класс мерзляк номер. домашнее задание по математике мерзляк 5.Решебник 5 класс 6 классМатематика пятый класс мерзляк номер 778. математика мерзляк упражнение 778 пятый класс.Математика 5 класс рабочая тетрадь 1 часть мерзляк. математика 5 класс мерзляк полонский якир рабочая тетрадь 1 часть.Математика 5 класс никольский номер 938.Математика 6 класс виленкин номер 567. математика 6 класс виленкин жохов номер 567. математика 5 класс виленкин номер 567.Математика номер 917. математика 6 класс номер 917. математика 6 класс виленкин 1 часть номер 917. математика 6 виленкин учебник номер 917.Степени математика 6 класс мерзляк. примеры по математике 6 класс. задания по математике 6 класс. по математику задание 6 класс.Математика 6 класс виленкин номер 376 стр 61. математика 6 класс виленкин 1 часть номер 1.14. математика 6 класс виленкин 2 часть 420. математика 6 класс виленкин номер 415.Люди занимающиеся обменом денег за плату кроссворд по истории 6 класс. люди занимающиеся обменом денег за плату кроссворд по истории. люди занимавшиеся обменом денег за плату кроссворд история.Самостоятельная 5 класс математика. математика 5 класс ершова самостоятельные и контрольные. книга самостоятельных и контрольных работ 5 класс. все домашние работы по математике.Математика 6 класс задания с ответами. задания математика 6 класс задания с ответами. задания по математике 6 класс с ответами. задания для шестого класса.Решебник по математике. математика 3 класс страница 5 номер 6. математика 3 класс 1 часть стр 44 номер 5.Математика 6 класс виленкин 695. математика 6 класс виленкин номер 695. математика 6 класс номер 695.Математика 6 класс виленкин задачи с дробями с решением. математика виленкин номер 321. математика виленкин 6 класс выполните действия (3 1/2 : 4 2/3+4 2/3:3 1/2). математика 6 класс виленкин дроби.Математика номер 1028 никольский. никольский 5 класс номер 1028. математика 5 класс 1028. 5 класс номер 1028.Математика 6 класс виленкин 2 часть номер 317. математика 6 класс виленкин номер 305 задание. математика 5 класс виленкин 2 часть дроби.Решение уравнений 5 класс математика виленкин. математика 5 класс виленкин уравнения. математика 6 класс виленкин5.87.Решебник 5 класс 6 классУчебник по математике 5 класс дорофеев петерсон.Математика пятый класс зубарева.Математика 6 класс виленкин 716. математика 6 класс виленкин 1 часть номер 716. математика 6 класс номер 0716.Шпаргалки по математике 6 класс мерзляк.Математика шестой класс виленкин номер 1229. математика 6 класс виленкин номер 1226. математика 6 класс автор виленкин номер 1229.Домашняя работа. домашняя работа по немецкому языку. домашняя работа на немецком языке. немецкий язык 6 класс учебник бим.Математике 6 класс виленкин номер 445. математика 6 класс виленкин.Математика 6 класс виленкин. математика 6 класс номер 481. математика 6 класс номер 476.Выполните действия. выполнить действия 6 класс математика. выполните действие 91 1/6+3.Упражнения на вычисления по математике 6 класс. задание для шестого класса по математике. 6 класс математика задания на повторение. примеры на вычисления 6 класс.Математика 6 класс виленкин номер 478.Учебник по математике 6 класс фгос. решебник по математике 6 класс виленкин жохов чесноков шварцбурд. страницы учебника по математике 6 класс виленкин. взаимно простые числа 6 класс виленкин.Контрольная математика 6 класс виленкин 1 четверть. контрольная по математике 6 класс мерзляк с ответами. математика виленкин контрольная за 2 четверть 6 класс. контрольная по математике 6 класс 3 четверть виленкин.Математика 6 класс мерзляк номер 302. математика 6 класс номер номер 304. математика 6 класс мерзляк номер 304.Математика 6 класс номер 268. математика 6 класс виленкин 1 часть номер 268. математика 6 класс номер 269. дроби для 6 класса по математике.Решебник 5 класс 6 классМатематика 6 класс никольский номер 1135.Обществознание 5 класс иванова хотеенкова. обществознание 6 класс рабочая тетрадь кроссворд. тетрадь по обществознанию 5 класс.