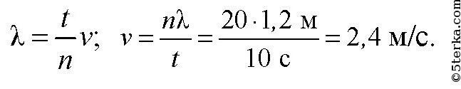
Расстоянием едду гребнялми волн. частота ударов волн. расстояние между ближайшими гребнями волн.Расстояние между гребнями волнРасстоянием едду гребнялми волн. на гребне волны. гребень волны и длина волны.Катер движется в море со скоростью 54. расстояние между гребнями волн в море. расстоянием едду гребнялми волн.Расстояние между ближайшими гребнями. расстояние между ближайшими гребнями волн. расстояние между ближацщими гребнчм волн в море8 м.Расстоянием едду гребнялми волн. расстояние между соседними гребнями волн. расстояние между двумя гребнями волны.Расстояние между гребнями волнРасстояние между гребнями волнРасстояние между ближайшими гребнями волн. расстояние между ближайшими гребнями волн в море. период ударов волн.Частота ударов волн. расстояние между ближайшими гребнями волн 10. расстояние между ближайшими гребнями волн в море.Расстояние между гребнями волн в море 5 м. расстояние между гребнями волн в море 5 м при встречном движении. расстояние между волнами в море.Расстояние между гребнями волнРасстояние между гребнями волнВысота волны. гребень волны высота волны. высота волн в океане.Расстояние между гребнями волнРасстояние между гребнями волнПериод колебаний частиц воды. период колебания частиц воды равен 2с. период колебаний частиц равен. период колебаний частиц воды равен 2 с а расстояние между соседними 6 м.Расстояние между гребнями волнРасстояние между гребнями волнВолны для презентации. волны в океане 6 класс. волны в океане презентация. это расстояние между двумя соседними гребнями волны.Расстояние между двумя гребнями волны. гребень подошва высота волны длина волны. самая низкая часть волны.Расстояние между гребнями волн в море 5 м при встречном движении.Расстояние между гребнями волнВысота волны цунами. скорость волны цунами. длина волны цунами. средняя высота цунами.Гребень и подошва волны. наивысшая точка волны. гребень волны и длина волны. гребень волны высота волны.Смежные волны это. расстояние между соседними гребнями волн как называется. как называется расстояние между 2 соседними гребнями волны.Расстояние между гребнями волнРасстояние между гребнями волнРасстоянием едду гребнялми волн. расстояние между ближайшими гребнями волн. расстояние между ближайшими гребнями волн в море.Расстояние между гребнями волнРасстояние между гребнями волнРасстояние между соседними гребнями. человек стоящий на берегу моря определил что расстояние между 8. человек стоящий на берегу моря определил. человек стоящий на берегу моря определил что расстояние.Какова частота ударов морских волн о корпус лодки. частота ударов волн. какова частота ударов морских волн о корпус лодки если скорость.Каково расстояние между гребнями соседних волн. расстояние между соседними гребнями волн. поплавок совершает колебания на волнах за 10 с он совершил 10 колебаний.Скорость распространения волны колебания. период колебаний поплавка. поплавок совершает колебания на волнах за 10 с он совершил 10 колебаний.Расстояние между гребнями волнРасстояние от подошвы до гребня волны.. характеристика цунами. характеристика волн цунами.Лодка качается на волнах распространяющихся со скоростью 2.5 м/с. лодка качается на волнах распространяющихся со скоростью 1.5 м/с. определите период колебаний лодки. лодка качается на волнах распространяющихся.Расстояние между соседними гребнями волн. это расстояние между двумя соседними гребнями волны. 20 колебаний. источник волны за 20 с совершил 10 колебаний.Решение задач длина волны. колебания и волны задачи. задачи на длину волны. скорость звуковой волны задачи.Ветровые волны. высота волны. высота волн в океане. высота волны в море.Мимо неподвижного наблюдателя. мимо неподвижного наблюдателя прошло 6 гребней волн. мимо неподвижного наблюдателя стоящего на берегу озера. за время наблюдений 15 с прошло 6 гребней волн каков период колебаний.Поплавок совершает колебания на волнах за 10 с он совершил 10 колебаний. определите расстояние между соседними гребнями волны. расстояние между двумя гребнями волн 10 м. расстояние между двумя ближайшими гребнями волн в море 10 м.Расстояние между гребнями волнРасстояние между гребнями волнРасстояние между гребнями волнЛодка качается на волнах распространяющихся со скоростью. лодка качается на волнах распространяющихся со скоростью 2.5 м/с. лодка качается на волнах распространяющихся со скоростью 6м/с. распространение волны со скоростью 6 м/с.Расстояние между гребнями волнСкорость распространения волны 5м/с. на волнах, распространяющихся со скоростью 2 м/с. расстояние между соседними гребнями. за время наблюдений 15 с прошло 6 гребней волн каков период колебаний.Формула длины волны через частоту и скорость. как найти длину волны формула. длина волны формула физика. формула частоты волны через длину волны.Скорость распространения колебаний по шнуру равна. скорость распространения волны по шнуру. скорость волны физика 9 класс. скорость распространения колебаний в шнуре.Расстояние между гребнями волнЛодка качается на волнах распространяющихся со скоростью 4 м/с. лодка качается на волнах распространяющихся со скоростью 1.5 м/с. волны качающие лодку распространяются со скоростью 1.5 м/с. бумажный кораблик совершает на волнах 10 полных колебаний за 20.Рыболов заметил что за 10 с поплавок совершил на волнах 20 колебаний. расстояние между соседними гребнями. расстояние между соседними гребнями волн. волна распространяется со скоростью 6 м/с.Рыбак заметил что гребни волны проходят мимо его. рыбак заметил что гребни волны проходят мимо его лодки 5 с. расстояние между соседними гребнями волн. найти расстояние между гребнями волн.Высота волны. волны в мировом океане. как возникают волны. как образуются волны.Как вычислить длину волны по графику. связь длины волны с периодом и частотой колебаний. как отмечается длина волны. формула зависимости частоты и длины волны.Расстояние между гребнями волнРыбак заметил что гребни волны проходят мимо его лодки 5 с. расстояние между ближайшими гребнями волн. рыбак заметил что гребни волны проходят мимо его. мимо рыбака сидящего на пристани прошло 5 гребней волны за 10 секунд.Параметры волны цунами. основные характеристики цунами. характеристика волн цунами. параметры характеризующие цунами.Расстояние между гребнями волнРасстояние между гребнями волнЧасти волны. элементы морской волны. движение воды в океане волны. высота волны в море.Расстояние между двумя ближайшими гребнями. расстояние между двумя ближайшими гребнями волны это. расстояние между горбами волн. по поверхности воды распространяется волна 2 и 4.Расстояние между гребнями волнВысота волны. виды ветровых волн. типы волн в океане. высота волны в море.Рабочая длина волны формула. длина волны буква. длина волны в си. цикл имеют длину волны.Расстояние между гребнями волнВолны период частота длина волны. волны длина волны период колебаний. связь длины волны с периодом и частотой колебаний. волновое число и длина волны.Длина волны синусоиды. длина волны в физике. как найти длину волны по графику. длина волны колебаний.Строение волны. элементы ветровых волн. строение волны схема. схема волны география.Длина волны это расстояние между. длина волны это расстояние между точками. длиной волны называется расстояние между. длина волны это расстояние между двумя точками.Расстояние между гребнями волнРыболов заметил что за 10 с поплавок совершил на волнах 20 колебаний. рыболов заметил что за 10 с поплавок совершил. поплавок совершает колебания. поплавок совершает колебания на волнах за 10 с он совершил 10 колебаний.Смежные гребни. кривая гребень. гребень в физике. смежные волны это.