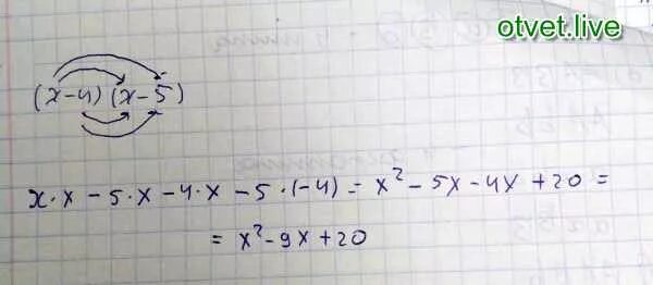
Раскрой скобки (х-4)*(х-3). раскрыть скобки. раскрой скобки x. x(y-a) раскрыть скобки.Раскрой скобки х2-3 х+2 у2. раскройте скобки. раскрыть скобки. раскройте скобки 5 класс.Раскрой скобки x. раскрой скобки: (x−10)⋅(x−5).. раскрой скобки х-у. раскрой скобки: (x−10)⋅(x−7)..Раскрой скобки x 4 x 2Раскрой скобки x. раскрой скобки (x^2y)×. раскрой скобки -0,8. (3+x)*5 раскрой раскрой скобки.Скобка на скобку умножение. умножение скобки на скобки. умножить скобку на скобку. алгебра умножение скобки на скобку.S=(2x+3)*(x+2) раскрой скобки. раскрой скобки (x^2y)×. раскройте скобки 3x2-(2x-3x2). раскройте скобки s 2x+3 x+2.Раскрой скобки x. раскрой скобки: (x+14)⋅(x−5).. раскрой скобки онлайн. раскрой скобки: (x+13)⋅(x−6)..Раскрой скобки: (x−10)⋅(x−5).. раскрой скобки 2x+y 3. (x2-y3)2 раскрой скобки. раскрой скобки x+5 2.Раскрой скобки учи ру. раскрой скобки 2x+y 3. раскрой скобки учи ру x 2-y. раскрой скобки (x^2y)×.Раскрой скобки: (x−12)⋅(x−7). раскрой скобки x. раскрой скобки: (x−12)⋅(x+4).. раскрой скобки: (x+13)⋅(x−6)..Раскрой скобки: (x−10)⋅(x−5).. x-13=7 x=. раскрой скобки (2x+5)(x+1). раскрой скобки 12(x+4y-5).Раскрой скобки и упрости выражение -(9х+2,1у)-(-12у-4,7х). раскрой скобки и упрости выражение:. раскрой скобки и упростите выражение. раскрой скобки и упрости выражение -(8x+2,3y)-(-4,4x-12y)=.Раскрой скобки x. раскрой скобки: (x+14)⋅(x−5).. раскрой скобки: (x−10)⋅(x−5).. раскрой скобки: −1,3(−6x+6)= x−.Раскрой скобки и упрости выражение:. раскрой скобки и упростите выражение. раскрой скобки и упрости выражение -(8x+2,3y)-(-4,4x-12y)=. раскрой скобки х2-у3 2.Раскрой скобки (x^2y)×. раскрой скобки 2x+y 3. раскрытие скобок (x-y)+(2y-3 в. раскрой скобки (x+3)2.Раскрой скобки и приведите подобные слагаемые. раскрой скобки и приведи подобные слагаемые. уравнения с х решения две скобки. решить уравнение с раскрытием скобок.Раскрой скобки x 4 x 2Раскрой скобки x 4 x 2Раскрой скобки и найди значение выражения. раскрой скобки(-(-17)). калькулятор раскрой скобки. раскрой скобки (w1/11−1)2..Раскрой скобки 3(5с+3). раскрой скобки (a-2)(a+2). раскрой скобки: (−7−c)(m−3) .. раскрой скобки 7*(5-а)=.Раскрой скобки: (x+8)⋅(x+5).. раскрой скобки: (x+8)⋅(x+3). раскрой скобки: (x+8)⋅(x+7). (пиши в каждое окошечко одно число или знак.). раскрой скобки: (x−10)⋅(x−5)..Раскрой скобки x 4 x 2Раскрой скобки x 4 x 2Раскройте скобки учи ру. раскрой скобки учи ру. раскрой скобки х-у. раскрой скобки (xy) (x'+ y2) =.Раскрой скобки x 2-y 2 2. раскрой скобки: (x+14)⋅(x−8). якласс. раскрой скобки: (x−2)⋅(x−1).. (x2-y3)2 раскрой скобки.Раскрой скобки х2-у3 2. раскрой скобки (х+15)(х-9). раскрой скобки (х-6)(х-7). раскрой скобки: (x+12)⋅(x−2).Раскрой скобки 2. −(−8 + 12) − (31 − 5) = раскрой скобки. раскрой скобки: (x+13)⋅(x+8). раскрой скобки: (x+13)⋅(x−4)..Раскрой скобки x 4 x 2Раскройте скобки учи ру. раскрой скобки учи ру. раскройте скобки а-2 а+2 учи ру. раскрой скобки (a-2)(a+2).Раскрой скобки x 4 x 2Раскрой скобки и упрости выражение:. раскрой скобки и упрости выражение -(8x+2,3y)-(-4,4x-12y)=. роскройскопки и упрости. раскрой скобки и упрости выражение -(15x+6,9y)+(6,1x+12y).Раскрой скобки (x^2-2y)^3=(x^2)^3. учи ру найди сумму многочленов. найди сумму многочленов (b+2y)+(-b+3y+xy). раскрой скобки 3x 2y x+3y.Раскрыть скобки (5x-3)^2. раскрой скобки t+1 t 2-t+1. раскрой скобки -1,1(-3х+6)=. раскрой скобки 1,3 (-8x-6).Раскройте скобки 4(x+1)-5(5-x)-(5+4)x-1. раскрыть скобки (x-5)(x+2). раскройте скобки 1) (3x-5y)(3x+5y). 3x+1.Раскрой скобки и приведи подобные слагаемые. раскрытие скобок и привести подобные слагаемые. раскрой скобки. раскрыть скобки и привести подобные слагаемые.Роскройскопки и упрости. раскрой скобки и упрости выражение:. упрощение выражений без скобок. раскрой скобки и упростите выражение.Раскрой скобки и приведи подобные слагаемые. раскройте скобки и приведите подобные 4y-(5y-(3y-4). (4y+x)*2 раскрой скобки в выражении. раскрой скобки и приведите подобные слагаемые (5-3 в)+(-3 в-11).Роскройскопки и упрости. раскрой скобки и упрости выражение:. раскрой скобки и упростите выражение. раскрой скобки и упрости выражение: -a-(a-b).Раскройте скобки и приведите подобные. раскройте скобки и приведите подобные слагаемые. раскройте скобки и приведите подобные слагаемые вариант 3. раскройте скобки и приведите подобные слагаемые вариант 1.X x y раскройте скобки. ( x - 3)2 раскрыть скобки. раскройте скобки х-у + y+z. x-(x-y) раскрыть скобки.Раскрой скобки и упрости выражение:. раскрой скобки и упростите выражение. записать выражение без скобок и упростить. скобки и упрости выражение правило.Как раскрыть скобку в 4 степени. как раскрыть скобку в 5 степени. раскрыть скобки с х в квадрате. раскроем скобки *(а2+4а+22)+.Раскрой скобки x 4 x 2Раскрой скобки и упростите выражение. раскрой скобки и упрости выражение:. раскрой скобки и упрости выражение -(3,1y+18x)-(-15y-3,8x)=. раскрой скобки и упрости выражение -(15x+6,9y)+(6,1x+12y).(x2-y3)2 раскрой скобки. раскрой скобки x 2-y 2 2. −(−8 + 12) − (31 − 5) = раскрой скобки. раскрой скобки 2х+у 3.Раскрой скобки x 4 x 2Раскройте скобки х2-у3 2. раскрой скобки х2-у3 2. раскрой скобки 2х+у 3. раскрытие скобок 2х-3у- 5х+2у.Раскрой скобки и представь в виде дроби. раскрыть скобки и представить в виде дроби. раскрытие скобок в виде дроби. раскройте скобки и представьте в виде дроби.Это формула учи ру. раскрой скобки учи ру 7 класс ответы. раскрой скобки учи ру 7 класс. выведи формулу суммы кубов.Раскрой скобки x 4 x 2Раскрой скобки x 4 x 2Упростите выражение y=2x²+4x-6. раскройте скобки и упростите выражение x-y-x+y-x-y. -6,4-(-x-6,4) упростить выражение. раскрой скобки (x-4y)*(x+y-2).2+2=5. раскройте скобки 6*(7-х). 2 3 4 5. 4a2+a-3/a2-a-2.Раскрой скобки: (x−11)⋅(x+3).. раскрой скобки: . (x − 11)⋅(x + 5). (x-11)*(x+2) раскрой скобки. раскрой скобки: (x+8)⋅(x+3).Раскрыть скобки с дробями. раскрытие скобок в дробной степени. раскрой скобки и представь в виде дроби. раскрытие скобок в виде дроби.Раскрой скобки 2х+у 3. раскрой скобки х2-у3 2.Раскрой скобки учи ру. раскройте скобки учи ру. раскроем скобки учи ру. раскрой скобки x- y.Раскрой скобки x 4 x 2Формулы раскрытия скобок. как раскрыть скобки в уравнении. раскрытие скобок со степенями. формулы раскрытия скобок в уравнениях.Как раскрыть скобки в квадрате. скобка в квадрате как раскрыть. раскрытие квадратных скобок формулы. формулы умножения скобок раскрытие скобок.Раскрой скобки (a-2)(a+2). раскрой скобки a+2 2 a+2 a+2. раскрой скобки (a + 2) = (a + 2)(a + 2) =. раскройте скобки учи ру.Раскрой скобки x 4 x 2Раскрой скобки (a-2)(a+2). раскрой скобки. раскрой скобки а-2 а+2 учи ру. раскрыть скобки 2-(а+в).Раскрой скобки x 4 x 2Раскрой скобки. раскрой скобки и найди значение выражения -(9,77- 5 8/9)-(0,23-3 1/9). -(8,72-5 5/9) - (0,28 - 2 4/9) раскрой скобки найди значение выражения. раскрой скобки и найди значение выражения.Раскрой скобки x 4 x 2Раскрой скобки: (x−10)⋅(x−5).. раскрой скобки (х-6)(х-7). раскрой скобки (х+14)*(х+7). 427 раскрой скобки.Раскрыть скобки и привести подобные слагаемые. раскрыть скобки 7 класс. раскрытие скобок и приведение подобных слагаемых. раскрыть скобки карточки.Раскрой скобки x 4 x 2Найдите значение выражения ответ запишите в виде десятичной дроби. раскрой скобки и представь в виде дроби (p−pu)2.. раскрой скобки и представь в виде дроби (t+t/d)2.Раскрой скобки x 4 x 2Роскройскопки и упрости. раскрой скобки и упрости выражение:. раскрой скобки и упрости выражение -(8x+2,3y)-(-4,4x-12y)=. раскрой скобки и упрости выражение -(9х+2,1у)-(-12у-4,7х).Решите уравнение учи ру. реши уравнение учи ру. решите уравнение вынесите за скобку. вынеси x за скобки 3x-2x 0.Раскройте скобки и вычислите. раскройте скобки и вычислите -(59-36)-(47-59)-(84-39). раскрой скобки и вычисли. раскройте скобки ивычислите -(56-14)-(31-56)+(31-14)=.Раскрой скобки. раскрой скобки учи ру. раскрой скобки (a-2)(a+2). раскрой скобки (a + 2) = (a + 2)(a + 2) =.Раскрой скобки в present continuous. раскрой скобки в презент кон. раскройте скобки в презент континиус. present continuous класс раскройте скобки.2(а+б) раскройте скобки. раскрой скобки. раскройте скобки б) 5-(с+а). раскрой скобки а - б.Раскройте скобки и приведите подобные слагаемые. раскройте скобки и приведите подобные слагаемые -(3e+5x)-(9e-6x). раскройте, скобки и при. раскрыть скобки и привести подобные слагаемые.Раскрой скобки x 4 x 2Раскрой скобки: 117(5t−8).. раскрой скобки ответы. раскрой скобки: 117(14t−8).. раскрой скобки: 1/17(3t−3)..Раскрой скобки. −(−8 + 12) − (31 − 5) = раскрой скобки. раскрой скобки -(-2,4+3,7)+(-1,5+0,2). раскрой скобки 2.(x2-y3)2 раскрой скобки. раскрой скобки x 2-y 2 2. раскрой скобки 2x+y 3. раскрой скобки (x^2y)×.Раскрыть скобки в выражении. раскройте скобки - (- х + у).. раскрыть скобки а 2 в квадрате. 2+2х2.Раскрой скобки x 4 x 2