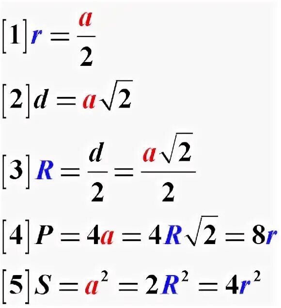
Формула радиуса описанной окружности квадрата. площадь квадрата через радиус вписанной. площадь квадрата через радиус вписанной окружности. формула нахождения радиуса описанной окружности около квадрата.Радиус через квадратКак найти радиус вписанной окружности в квадрат. формула радиуса описанной окружности квадрата. как вычислить радиус описанной окружности квадрата. радиус описанной окружности около квадрата формула.Радиус вписанной окружности в квадрат формула. как найти сторону квадрата зная радиус вписанной окружности. формула нахождения радиуса вписанной окружности в квадрат. как найти радиус окружности в квадрате.Радиус вписанной окружности в квадрат. формула радиуса описанной окружности квадрата. радиус вписанной окружности в квадрат формула. квадрат вписанный в окружность формулы.Квадрат вписанный в окружность формулы. формула описанноцокружности квадрата. формула стороны квадрата вписанного в окружность. сторона квадрата через радиус описанной окружности.Радусвписанной окружности. радиус вписанной окружности. диаметр вписанной окружности. радиус вписанной окружности в квадрат.Квадрат вписанный в окружность формулы. формула радиуса описанной окружности квадрата. формула площади квадрата через радиус описанной окружности. площадь описанной окружности квадрата.В квадрат можно вписать окружность.Радиус через квадратРадиус вписанной окружности около квадрата. вычислить радиус вписанной окружности квадрата. формула нахождения радиуса описанной окружности около квадрата. радиус окружности описанной около квадрата равен формула.Формула радиуса описанной окружности. формула нахождения радиуса. формула радиуса описанной окружности квадрата. формула нахождения радиуса описанной окружности.Радиус через квадратРадиус круга описанного около прямоугольника. радиус описанной окружности вокруг прямоугольника. вычислите радиус окружности описанной около прямоугольника. радиус описанной окружности около прямоугольника.Сторона квадрата вписанного в окружность. прямоугольник вписанный в квадрат. эллипс вписанный в квадрат. вписать квадрат в окружность онлайн.Радиус вписанной окружности в квадрат. вписанная и описанная окружность в квадрат формулы. квадрат вписанный в окружность формулы. площадь квадрата через радиус вписанной окружности.Радиус квадрата. золотое сечение. радиус по квадрату. форма радиуса квадрата.Задача о квадрате вписанном в окружность. найдите площадь окружности. задачи на нахождение радиуса. вычислить площадь окружности.Площадь круга вписанного в квадрат. квадрат вписанный в окружность. площадь квадрата вписанного в окружность. размеры квадрата вписанного в круг.Квадрат описангый оуоло окружнлмьи. площадь jписанной окружности в квадрат. площадь квадрата описанного около окружности формула. площадь описанной окружности квадрата.Круг вписанный в квадрат. квадрат вписанный в окружность. диаметр вписанной окружности в квадрат. описанный круг в квадрат.Формула нахождения длины окружности вписанной в квадрат. площадь квадрата вписанного в окружность формула. радиус круга вписанного в квадрат. квадрат вписанный в окружность.Диаметр вписанной окружности в квадрат формула. квадрат вписанный в окружность. квадрат вписанный в окружность формулы. диаметр описанной окружности квадрата.Формула диагонали квадрата через сторону. диагональ квадрата через радиус. формула стороны квадрата через площадь. как найти сторону квадрата через диагональ.Площадь вписанной окружности. площадь вписан ой окружности. площадь вписанноq окружности. радиус вписанной окружности.Площадь квадрата вписанного в окружность. площадь квадрата вписанного в окружность формула. площадь круга описанного около квадрата формула. площадь круга вписанного в квадрат.Радиус через квадратРадиус вписанной окружности в квадрат формула. радиус вписанной окружности в квадрат. ралиус лписанной окрудности в квадрате. круг вписанный в квадрат.Радиус через квадратРадиус через квадратРадиус вписанной окружности в параллелограмм. параллелограмм описанныйй в окружность. вокруг окружности радиуса 1 описан параллелограмм. в параллелограмм вписана окружность.Радиус через квадратРадиус через квадратДиаметр описанной окружности квадрата формула. сторона описанного квадрата через радиус. сторона вписанного квадрата через радиус. сторона квадрата через радиус описанной окружности.Периметр квадрата описанной окружности формула. радиус описанной окружности около квадрата формула. формула радиуса описанной окружности квадрата. как найти радиус вписанной окружности в квадрат.Радиус описанной окружности около квадрата. радиус окружности описанной около квадрата равен. радиус круга описанного около квадрата. радиус описанной вокруг квадрата окружности равен.Диаметр круга в квадрате. диагональ вписанного квадрата. круг описанный около квадрата. диаметр квадрата.Формула площади квадрата через радиус вписанной окружности. площадь квадрата через радиус круга. площадь квадрата по радиусу. радиус вписанной окружности в квадрат формула.Как узнать диаметр по длине окружности. длина стороны квадрата описанного около окружности. описанная окружность квадрата. как высчитать длину окружности.Вписанная и описанная окружность в квадрат. квадрат вписанный в окружность формулы. круг вписанный и описанный квадрат. вписанная и описанная окружность в квадрат формулы.Радиус через квадратВписанный квадрат. квадрат вписанный в квадрат. радиус квадрата. окружность вписанная в квадрат рисунок.Круг вписанный в квадрат. квадрат вписанный в окружность. вписанный и описанный квадрат. квадрат вписанный в окружность формулы.Вписанная и описанная окружность в квадрат. радиус описанной окружности около квадрата. радиус вписанной и описанной окружности квадрата. радиус вписанной и описанной окружности около квадрата.Вписанная и описанная окружность в квадрат. вписанная и описанная окружность в квадрат формулы. квадрат вписанный в окружность формулы. круг вписанный в квадрат формулы.Радиус через квадратЦентр вписанной окружности квадрата. вписанная и описанная окружность в квадрат. вписанный и описанный квадрат. чертеж квадрата вписанного в окружность.Радиус вписанной окружности в квадрат. жность вписанная в квадрат. квадрат вписанный в окружность. радиус круга вписанного в квадрат.Окружность описанная около квадрата. квадрат вписанный в окружность. вписанная и описанная окружность в квадрат. квадрат вписанный около окружности.Периметр окружности. периметр квадрата описанного около окружности. периметр круга через диаметр. диаметр окружности через периметр окружности.Площадь круга вписанного в квадрат. квадрат вписанный в окружность. нахождение стороны квадрата вписанного в окружность. квадрат вписанный в окружность решение.Площадь круга вписанного в квадрат. площадь квадрата вписанного в окружность. квадрат вписанный в окружность формулы. нахождение стороны квадрата вписанного в окружность.Длина окружности описанной около квадрата равна. квадрат вписанный в окружность. размеры квадрата вписанного в круг. если квадрат вписан в окружность.Диаметр окружности описанной вокруг квадрата. сторона квадрата вписанного в окружность. диагональ окружности. диаметр описанной окружности квадрата.Окружность вписанная в квадрат равна радиус равен 8 корней из 2. сторона вписанного квадрата. нахождение стороны квадрата вписанного в окружность. радиус описанной окружности вокруг квадрата.Радиус через квадратРадиус через квадратРадиус через квадратРадиус окружности описанной около квадрата равен 8 корень из 2 найдите. радиус окружности описанной около квадрата равен 8 корней из 2 найдите. радиус описанной окружности около квадрата. радиус описанной окружности вокруг квадрата.Окружность вписанная в квадрат найдите площадь. площадь круга вписанного в квадрат. площадь описанной окружности квадрата. площадь квадрата вписанного в окружность.Радиус через квадратКвадрат вписанный в окружность формулы. площадь многоугольника вписанного в окружность формула. как найти сторону вписанного квадрата. формула стороны квадрата вписанного в окружность.Радиус через квадратРадиус через квадратВписанная и описанная окружность в квадрат. окружность описанная около квадрата. квадрат описанный вокруг окружности. квадрат вписанный в окружность.Площадь прямоугольника вписанного в окружность. диагональ радиус окружности. диаметр вписанной окружности в прямоугольник. диаметр и диагональ окружности.Шпаргалка по геометрии четырехугольники. теория по четырехугольникам. окружность вписанная в ромб свойства. формулы радиуса вписанной и описанной окружности четырехугольника.Вершины квадрата расположены на окружности. вершины квадрата лежат на окружности. нахождение центра квадрата. две вершины квадрата расположены на окружности.Радиус через квадратФормулы радиуса вписанной и описанной окружности. радиус вписанной окружности в треугольник формула через сторону. радиус вписанной окружности через радиус описанной. таблица радиусов вписанных и описанных окружностей.Радиус через квадратФормула нахождения площади круга. площадь круга через окружность формула. площадь круга формула через радиус. площадь круга формула через радиус и диаметр.Радиус через квадрат