Удиви меня
Пропилен бензол
Бензол плюс пропилен. бензол плюс пропен. бензол пропилен h3po4. бензол пропилен alcl3.
Бензол плюс пропилен. пропилен бензол формула. бензол пропилен изопропилбензол. фенол плюс пропилен.
Алкилирование толуола пропиленом. алкилирование бензола алкенами. реакция алкилирования бензола. реакция алкилирования бензола пропиленом.
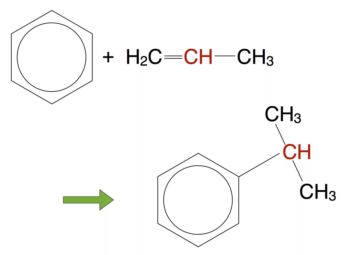
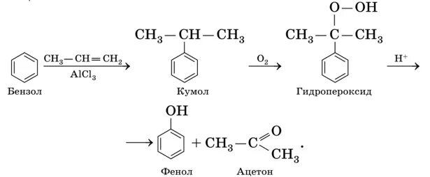
Получение кумола из бензола. пропилен кумол. кумол из пропилена. из бензола кумол реакция.
Бензол и пропен реакция. взаимодействие бензола с пропеном в присутствии катализатора. взаимодействие бензола с пропеном. реакция бензола и пропилена.
Алкилирование бензола хлоэтаном. алкилирование бензола хлорметаном. алкилирование бензола хлорэтеном. взаимодействие бензола с хлорметаном.
Пропилен бензол
Получение кумола из бензола реакция. кумол из пропилена. фенол из бензола и пропилена. синтез фенола из кумола.
Пропилен бензол
Алкилирование бензола галогеналканами. алкилирование бензола пропиленом механизм. алкилирование бензола алкенами. алкилирование бензола этанолом.
Пропилен бензол
Фенол кумольный способ. алкилирование бензола пропиленом. алкилирования бензола папином. алкилирование толуола пропиленом.
Пропилен бензол
Бензол и пропилен. бензол и пропен. строение бензола. бензол плюс пропен.
Бензол c3h6 h3po4. бензол и пропилен.
Пропилен бензол
Пропилен бензол
Изопропилбензол структурная формула. кумол – изопропилбензол, 2-фенилпропан. окисление изопропилбензола. пропилен кумол.
Алкилирование бензола пропиленом. реакция алкилирования бензола пропиленом. пропилен кумол. кумола алкилированием бензола.
Кумол из пропилена. из бензола кумол реакция. бензол+х-кумол. кумольный способ получения.
Реакция окисления кумола. реакция получения изопропилбензола. как из бензола получить изопропилбензол. получение кумола из бензола реакция.
Толуол и пропилен. бензол и пропилен. полиалкилбензол. полиалкилбензолы формула.
Алкилирование бензола 2 хлорпропаном. алкилирование бензола пропиленом. алкилирование толуола пропиленом. бензол и пропилен.
Дизамещенные производные бензола. химические свойства аренов.
Этилбензол cl2 на свету. этилбензол + h2. реакция фриделя-крафтса этилбензол. бензол этилбензол.
Алкилирование толуола механизм реакции. алкилирование бензола пропиленом механизм. механизм реакции алкилирования бензола этиленом. алкилирование бензола иодметаном.
Бензол изопентан. бензол и бромоводород реакция. бензол о3 реакция. бензол oh.
Пропен 1 и вода. бензол пропен 1. бензол пропен h3po4. бензол и пропилен.
Алкилирование бензола механизм реакции. реакция фриделя-крафтса толуол. реакция фриделя-крафтса бензол механизм. механизм реакции алкилирования бензола пропиленом.
Пропилен бензол
1 4 диметилбензол. мета диметилбензол. бромметил бензол. три метил бензол.
Механизм реакции алкилирования бензола пропиленом. реакция алкилирования аренов. бензол плюс 2 хлорпропан. алкилирование бензола схема.
Получение фенола из кумола реакция. получение фенола из бензола. получение фенола из бензола и пропилена. синтез фенола из бензола.
Алкилирование аренов алкенами. реакция алкилирования аренов. алкилирование бензола пропиленом механизм. алкилирование бензола алкенами механизм.
Алкилирование бензола пропиленом механизм. алкилирование толуола. алкилирование бензола этиленом. алкилирование толуола пропиленом.
Синтез ацетона из кумола. получение фенола из кумола. синтез фенола из кумола. изопропилбензол гидропероксид кумола.
Реакция окисления толуола. окисление толуола. презентация арены бензол. разницы бензол и аренами.
Кумол фенол реакция. сульфирование кумола. из бензола кумол реакция.
Синтез этилбензола алкилированием бензола. тримеризация алкинов. реакция алкилирования бензола. алкилирование бензола этиленом схема.
Механизм алкилирования бензола по фриделю крафтсу. алкилирование толуола механизм реакции. алкилирование аренов по фриделю-крафтсу механизм. ацилирование бензола механизм.
Механизм реакции ацилирования бензола. реакция алкилирования аренов. ацилирование толуола механизм. алкилирование бензола механизм.
Реакция каталитического гидрирования бензола. гидрирование бензола реакция. реакция присоединения бензола. гидрирование бензола обратимая реакция.
Нитрование ксилола. нитрование этилбензола. сульфирование толуола. толуол hno3.
Циклотримеризация алкинов. реакция циклотримеризации пропина. циклотримеризация ацетилена. конденсация бензола.
Гексан циклогексан бензол. гексан в циклогексан реакцией. из гексана циклогексан реакция. гексан-циклогексан-бензол реакция.
Пропилен бензол
Пропилен бензол
Алкилирование бензола алкенами. алкилирование толуола алкенами. алкилирование ароматических углеводородов. алкилирование толуола хлорметаном.
Пропилен бензол
Реакция алкилирования фриделя крафтса. реакция фриделя крафтса алкилирование бензола. механизм реакции алкилирования бензола пропиленом. реакция алкилирования аренов.
Сульфирование бензола механизм. механизм реакции сульфирования бензола. сульфирование фенола механизм реакции. алкилирование фенола механизм реакции.
10. фенолы. способы получения. получение фенола из бензола. кумольный метод получения фенола реакция. получение фенола из с6н6.
Пропилен бензол
Пропилен бензол
Механизм алкилирования бензола по фриделю крафтсу. алкилирование бензола механизм реакции. алкилирование бензола алкенами механизм реакции. алкилирование бензола пропиленом механизм.
Орто мета пара ксилол. кумол – изопропилбензол, 2-фенилпропан. ксилол структурная формула. ксилол формула и структура.
Алкилирование бензольного кольца. алкилирование бензола пропиленом механизм. алкилирование бензола механизм реакции. алкилирование бензола алкенами механизм.
Реакция вюрца фиттига механизм. реакция вюрца-фиттига бензол. реакция вюрца углеводород.
Окисление 2 этилбензола. окисление пропилбензола перманганатом. окисление пропилбензола кислородом. окисление этилбензола перманганатом калия в кислой среде.
Пропилен бензол
Пропилен бензол
Пропен 1. бензол и пропен. толуол и пропен. этиленбензол.
Бензол плюс пропан. получение бензола из пропанс. из пропана бензол. получить пропан.
Гидропероксид кумола. пропилен кумол. получение ацетона из кумола реакция. бензол кумол фенол.
Пропилен бензол
Реакции замещения по бензольному кольцу. арены галогенирование бензола. реакция замещения бензола.
Структурные формулы гомологов бензола. гомологи бензола формулы. 1,2-диметилбензол(орто-ксилол). 3 формулы гомологов бензола.
Реакция алкилирования фриделя крафтса. реакция фриделя-крафтса бензол. реакция фриделя-крафтса толуол. алкилирование бензола механизм реакции.
Технологическая схема получения толуола. технологическая схема процесса алкилирования. технологическая схема алкилирования бензола. технологическая схема установки алкилирования.
Получение кумола из бензола реакция. получение кумола из бензола. получение кумола алкилированием бензола. из бензола кумол реакция.
Получение фенола. бензол хлорбензол фенол. получение фенола из бензола. способы получения фенола из бензола.
2. реакция фриделя – крафтса. реакция алкилирования фриделя крафтса. алкилирование бензола механизм реакции. реакция алкилирования аренов.
Пропилен бензол
Алкилирование бензола алкенами механизм. алкилирование бензола пропиленом механизм. механизм реакции алкилирования бензола пропиленом. алкилирование бензола 2 хлорпропан.