Удиви меня
Полоний 210 84 po
Что такое период полураспада атомного ядра. период полураспада полония 210. период полураспада ядер атомов. распад полония 210.
Полоний 210 84 po
Полоний 210 84 po
Полоний 210. радиоактивный полоний 210. полоний 210 формула. полоний 210 как выглядит.
Полоний 210 84 po
Полоний 210 84 po
Полоний в таблице менделеева. полоний 210 в таблице менделеева. менделеева таблицаполлоний. радий и полоний в таблице менделеева.
Полоний. радиоактивный полоний. полоний химический элемент. радиоактивный полоний 210.
Изотоп полония 210. радиоактивный полоний 210. уран радий полоний. полоний элемент.
Полоний 210. радиоактивный полоний. радиоактивный полоний 210. полоний радиоактивный элемент.
Полоний 210. радиоактивный полоний 210. полониум 210. полоний-210 яд.
Полоний. polonium 210. polonium element. полоний картинки.
Изотоп полония. альфа распад полония 210. изотоп 210po. полоний 209 84 альфа распад.
Радий и полоний кюри. полоний химический элемент. полоний 210 в таблице менделеева. полоний в таблице менделеева.
Масса полония. определите массу полония активность которого. масса полония 210 84. масса ядра полония.
Полоний 210 84 po
Полоний 210 84 po
Полоний. полоний элемент. полоний 210. полоний 209.
Polonium. polonium 210. polonium element. polonium and radium.
Радий и полоний. уран радий полоний. радий химический элемент. радиоактивный элемент радий.
Таблица менделеева толоний. полоний 210 в таблице менделеева. химические элементы. полоний элемент.
Полоний химический элемент. полоний 210. полоний металл. радиоактивный полоний.
Ро-210.
Полоний 210. радиоактивный полоний 210. полоний 210 в сигаретах. радиоактивные сигареты.
Полоний химический элемент. полоний в таблице менделеева. полоний 209. радиоактивный полоний.
Масса ядра полония 210. масса полония 210 84. молярная масса полония 210. изотоп полония 218.
Сколько протонов и нейтронов содержит полоний. полоний число протонов. число нуклонов в ядре полония. полоний сколько электронов протонов и нейтронов.
Альфа распад ядра полония. реакция альфа распада полония. альфа распад po 210. бета распад полония 210.
Полоний 209 84 альфа распад. альфа распад полония 210. запишите реакцию бета распада полония 210 84. 2 альфа распада полония.
Полоний 210 в таблице менделеева. полоний хим элемент. pd химический элемент. палладий химический элемент.
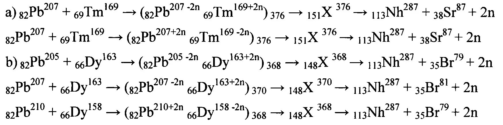
Изотоп 210 84 po. 210 84 po.
Полоний 210 84 po
Альфа распад полония 210. beta decay. альфа и бета распад. схема альфа распада.
Полоний 210. полоний металл. полоний химический элемент. полоний 209.
Полоний-210 свечение. радиоактивный полоний 210. полоний радиоактивный металл. полоний яд.
Свинец 210. молярная масса свинца. схема распада свинец-210. атомная масса свинца.
Полоний. полоний 209. polonium 210. полоний 210 83.
Полоний. полоний химический элемент. радиоактивный полоний 210. изотоп полония 210.
Тулий химический элемент назван в честь. элемент в честь польши. полоний 210 83.
Альфа распад полония. полоний 218. полоний 218 распад. свинец 214.