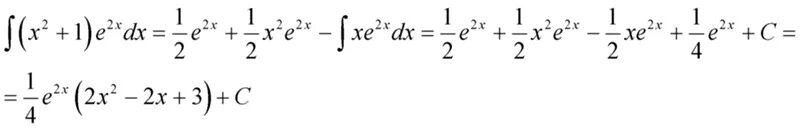
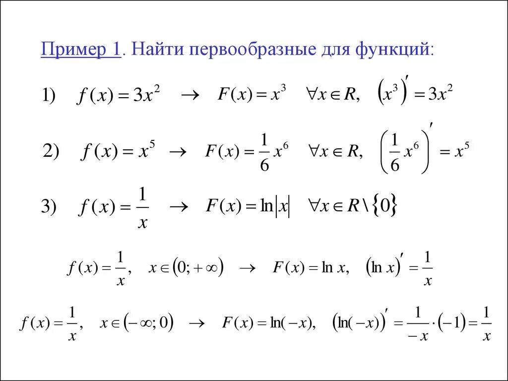
Первообразная f x 2x 5 3x 2Общий вид первообразных функции. первообразная функции f(x)=x2 - это. найдите одну из первообразных функции. найдите первообразную для функции f x.Найдите первообразную для функции f x. функция f x x 2. найти все первообразные функции f(x):. первообразная для функции f x.Первообразная x. найдите все первообразные функции. найти первообразную f x. первообразная x 5- x2.Первообразная f x 2x 5 3x 2Найдите первообразную. правила нахождения первообразной. как вычислить первообразную функции. первообразная x.Примеры на нахождение первообразной функции. первообразная. найти первообразную функции примеры. первообразная функции примеры.Первообразная функции 2x. первообразная функции f(x)=-2cos x. первообразное f(x)=52√(3x2 + 1sin²4x. найдите первообразную для функции f x 5x 4.Первообразная для функции f x. общий вид первообразных функции. первообразная функции f x = 2. первообразная степени.Первообразная x. найти одну из первообразных функций. 3x^3 первообразная. первообразная функция х^5.Найдите общий вид первообразных для функции f. найти первообразную график которой проходит через точку. f x x первообразная для функции. найдите общий вид первообразных для функции f x -5.Первообразная. первообразная 3х. первообразная функция х^5. первообразная 5х.Первообразная f x 2x 5 3x 2Первообразная f x 2x 5 3x 2F(x)=x^3. f(x)=x3-2x2. f x x первообразная для функции. f(x)=3x-2.Первообразная примеры. найдите первообразную для функции f x. первообразная для функции f x. первообразная функции примеры.1. первообразная функция. f x первообразная функции f x. первообразная функции первообразные функции. первообразная функции f x = 2.Первообразная f x 2x 5 3x 2Найдите первообразную. первообразная 2x. первообразная cos4x. первообразная синуса.F(x) =cosx-x первообразная. f(3x+5)= x-3 f(x) ?. найти первообразную f x. найдите первообразную для функции f x 5x 4.Функция f(x) является первообразной функции f(x), если:. 2х^2 первообразная. является ли функция f(x) первообразной. найдите общий вид первообразной функции 2х.Первообразная cosx. найти первообразную f x. первообразные для функции f(x)=sin x:. первообразная sinx.Первообразная f x 2x 5 3x 2F x функция. первообразная функции f x = 2. найдите первообразную для функции f x. первообразная для функции f x.Первообразная f x 2x 5 3x 2Первообразная f x 2x 5 3x 2Первообразная f x 2x 5 3x 2Первообразная f x 2x 5 3x 2Первообразная f x 2x 5 3x 2Докажите что функция f x является первообразной для функции f x если. докажите что функция f(x) =x+cos+e3x явл. найдите первообразную для функции f x= 4x2 + 6x2. первообразная функции f x ctgx.Первообразная f x 2x 5 3x 2Первообразная f x 2x 5 3x 2Примеры на нахождение первообразной функции. найти первообразную функции примеры. первообразная функции примеры. первообразная функции примеры с решением.Первообразная f x 2x 5 3x 2Первообразная f x 2x 5 3x 2Первообразная f x 2x 5 3x 2Первообразная. первообразная x. формулы нахождения первообразной. первообразная f x.Найдите первообразную для функции f x. первообразная функции 2х. найти первообразную функции f(x) = 2x. первообразная f x.Первообразная f x 2x 5 3x 2F x функция. первообразная функция тема. найти первообразную функции. найдите первообразную для функции.