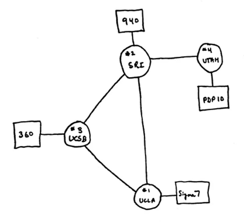
Первая сетьПервая сетьПервая сетьПервая сетьПервая сетьПервая компьютерная сеть. первые локальные сети. первые локальные компьютерные сети. коммутация в компьютерных сетях.Компьютерная сеть arpanet 1969. первая сеть с коммутацией пакетов arpanet. в 1969 году в сша была создана компьютерная сеть arpanet,. arpanet 1971 первая компьютерная сеть.Сеть арпанет 1969. арпанет первая компьютерная сеть. arpanet 1969 первая компьютерная сеть. первая сеть интернет.Arpanet 1969 первый сеанс. чарли клайн 1969. 29 октября 1969 года. первая компьютерная сеть.Проводная сеть. проводные компьютерные сети. проводные типы компьютерной сети. стандарты проводной сети.Первая сетьПервая сетьАрпанет 1969. компьютер honeywell dp-516. arpanet 1969 первый сеанс. arpanet 1969 первая компьютерная сеть.Различные типы связей в первых локальных сетях. схема связи двух компьютеров. первая локальная вычислительная сеть. первые локальные компьютерные сети.Сеть arpanet. arpanet первая компьютерная сеть. компьютерная сеть arpanet 1969. 1969 году в сша компьютерная сеть arpanet.Первая сетьПервая сетьПакетная сеть arpanet. arpanet создатели. arpanet интерфейс. от arpanet до internet.Первая сетьКомпьютерные телекоммуникационные сети схема. схема локальной сети количество компьютеров в сети. первая локальная вычислительная сеть. типы сетей эвм.Первая сетьСеть арпанет 1969. 1969 году в сша компьютерная сеть arpanet. сеть arpanet прообраз интернета. в 1983 г сеть arpanet была разделена на.Первая сетьПервая сетьВ 1983 г сеть arpanet была разделена на. сеть арпанет 1969. arpanet первая компьютерная сеть. создатели сети arpanet.Первая сетьАрпанет 1969. сеть arpanet. arpanet первая компьютерная сеть. arpanet логотип.Глобальная сеть. глобальная вычислительная сеть. организация глобальных сетей. примеры гловальные сетей.Arpanet первая компьютерная сеть. схема узлов и каналов связи сети arpanet в 1980 году. компьютерная сеть arpanet 1969. первая сеть с коммутацией пакетов arpanet.Arpanet первая компьютерная сеть. сеть арпанет 1969. arpanet 1969 первая компьютерная сеть. пакетная сеть arpanet.Первая сетьПервая сетьКомпьютерная сеть arpanet 1969. компьютерные сети appanet 60-st. arpanet схема 1973 год. первый сервер arpanet схема.Создатели сети арпанет. сеть арпанет 1969. джозеф ликлайдер arpanet. 1969 году в сша компьютерная сеть arpanet.Схема узлов и каналов связи сети arpanet в 1980 году. arpanet 1969. компьютерная сеть arpanet. первая глобальная сеть arpanet.Первая сетьПервая сетьПервая сетьПервая сетьArpanet 1969. arpanet логотип 1969. сеть арпанет. arpanet первая компьютерная сеть.Схема arpanet в 1969. arpanet первая компьютерная сеть. арпанет схема. сеть arpanet появилась в.Arpanet первая компьютерная сеть. первая сеть с коммутацией пакетов arpanet. схема узлов и каналов связи сети arpanet в 1980 году. карта arpanet.Первая сетьПервая сетьПервая сетьСхема построения сети сотовой связи. сотовые сети связи. типы сетей связи. сотовая связь сеть подвижной связи.Компьютерные сети. сеть интернет. глобальная сеть интернет. глобальные компьютерные сети.Сеть арпанет 1969. arpanet 1969 создатели. 1969 году в сша компьютерная сеть arpanet. создатели сети арпанет.Первая сетьПервая сетьСеть arpanet. arpanet первая компьютерная сеть. arpanet история создания. первой компьютерной сетью была сеть arpanet,.Основатели компьютерной сети интернет arpanet. компьютерная сеть арпанет. арпанет прототип сети интернет. разработка сети arpanet.Первая сетьПервая сетьПервая сетьПервая сетьПервая сетьСеть релком 1990. компьютер 1969. компьютерная сеть релком. интернет 1990 годов.Хост в сети это. сеть хостинга схема. хост маршрутизатор. что такое хост в локальной сети.Первая сетьСеть точка точка. топология точка-точка. соединение точка точка. схема точка точка.Первая сетьПервая сетьКомпьютерная сеть arpanet 1969. arpanet год закрытия. arpanet 1969 карта. arpanet 1972.Первая сетьПервая сетьСтруктура сети internet. глобальная компьютерная сеть internet структура. структура глобальной компьютерной сети. глобальная компьютерная сеть схема.Первая сетьГлобальная вычислительная сеть схема. виды соединений в глобальной компьютерной сети. схема подключения глобальных сетей к интернет. глобальная сеть схема соединения.Первая сеть