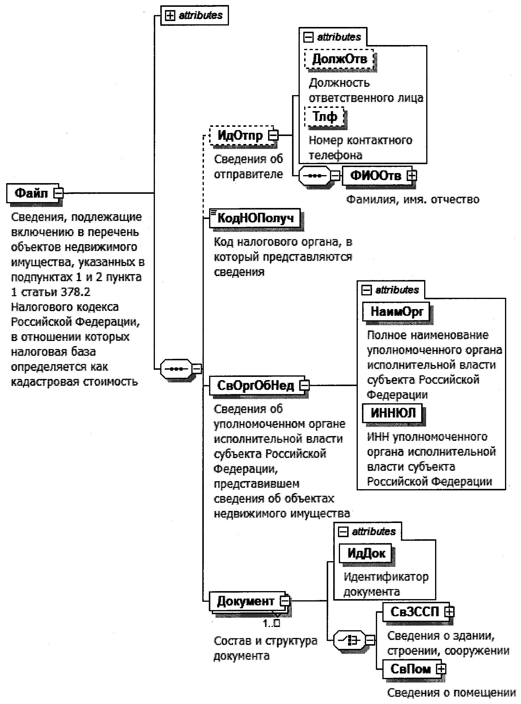
Ст 378.2 нк рф. статья 378. ст 378 2 нк рф налог на имущество. п 7 ст 378 2 нк рф налог на имущество перечень объектов.П 7 ст 378.2 нкСт 378.2 нк рф. статья 378. пунктом 7 статьи 378.2 налогового кодекса российской федерации. абзацем вторым пункта 10 статьи 378.2 нк рф.Особенности кадастровой стоимости. ст 378.2 нк рф. ст 214 10 нк рф. применение кадастровой стоимости.Ст 378.2 нк рф. статья 378. ст 26.2 нк рф.Статья 378. ст 378.2 нк рф. ст 378 2 нк рф налог на имущество. пунктом 7 статьи 378.2 налогового кодекса российской федерации.Недвижимое имущество исключение. ст 378.2 нк рф. заявление об исключении из перечня по кадастровой стоимости. письмо правообладателю объекта недвижимости.Ст 378.2 нк рф. пунктом 7 статьи 378.2 налогового кодекса российской федерации. ст 378 2 нк рф налог на имущество. статья 378.Иностранные организации налогоплательщики. статья 378. ст 378.2 нк рф.Статья 378. ст 378.2 нк рф. ст 378 2 нк рф налог на имущество. глава 32 нк рф.П 7 ст 378.2 нкСт 378.2 нк рф. в подпунктах 1 и 2 пункта 1 статьи 378.2. пункт 7 статьи 378.2 налогового кодекса российской федерации перечень. указанных в подпунктах 1 и 2 пункта 1 статьи 378-2 налогового кодекса.Ст 378.2 нк рф. ст.232 налогового кодекса. статья 378.Ст 378.2 нк рф. ст 378 2 нк рф налог на имущество. 378.2 нк рф налог на имущество. ст 378.2 нк рф налог на имущество 2025 год.Иностранные организации налогоплательщики. ст 378.2 нк рф. статья 378. признаки иностранного налогоплательщика.П 7 ст 378.2 нкП 7 ст 378.2 нкП 7 ст 378.2 нкСт 378.2 нк рф. налоговый кодекс таблица. пунктом 7 статьи 378.2 налогового кодекса российской федерации. указанных в подпунктах 1 и 2 пункта 1 статьи 378-2 налогового кодекса.П 7 ст 378.2 нкПунктом 7 статьи 378.2 налогового кодекса российской федерации. ст 378.2 нк рф. 214.2 нк рф схема. абзацем вторым пункта 10 статьи 378.2 нк рф.П 7 ст 378.2 нкП 7 ст 378.2 нкП 7 ст 378.2 нкП 7 ст 378.2 нкП 7 ст 378.2 нкП 7 ст 378.2 нкП 7 ст 378.2 нкП 7 ст 378.2 нкП 7 ст 378.2 нкП 7 ст 378.2 нкП 7 ст 378.2 нкП 7 ст 378.2 нкКоды льготы по налогу на имущество организаций. 378.2 нк рф налог на имущество.П 7 ст 378.2 нкП 7 ст 378.2 нкП 7 ст 378.2 нкП 7 ст 378.2 нкП 7 ст 378.2 нкП 7 ст 378.2 нкП 7 ст 378.2 нкП 7 ст 378.2 нкП 7 ст 378.2 нкП 7 ст 378.2 нк