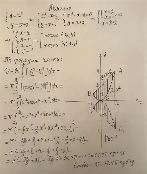
Формула вычисления объема тела вращения вокруг оси ох. объём тела образованного вращением вокруг оси ох трапеции. объем тела полученного вращением вокруг оси ох формула. объем тела вращения вокруг оси ох ограниченной линиями.Формула объема тела вращения вокруг оси ох. объем тела вращения вокруг оси ox. объем тела вращения через интеграл. dsxbckbnm j,]`n ntkf j,hfpjdfyyjuj dhfotybt djrheu jcb.Объем тела вращения вокруг охВычисления объема тела вращения вокруг оси oy. формулы объема тел вращения интеграл. вычислить объем тела вращения вокруг оси ох. интегральная формула объема тел вращения.Вычислить объем тела вращения вокруг оси ох. объем тела вращения вокруг. объем тела полученного вращением. объем тела вращения вокруг оси ox.Формула вращения вокруг оу. объем через интеграл вокруг оу. объем тела вращения вокруг оси интеграл. объем тел вращения определённый интеграл.Вычисление объемов тел вращения примеры. вычислить объем тела вращения. вычисление объема фигуры вращения. вычислить объем тела, j,hfpjdfyyjuj dhfotybtv djrehu jcb.Вращение тела вокруг оси ох. объем тела вращения вокруг оси. объем тела образованного вращением вокруг оси ох. объем вращения вокруг ох.Объем фигур вращения вокруг оси ох. объем тела при вращении вокруг оси ох. формула объема тела вращения вокруг оси оу. формула объёма тела вращения вокруг оси y.Объем тела вращения через интеграл. нахождение объема тела вращения. объём вращающегося вокруг оси тела. вычисление объемов тел вращения.Объем тела вращения вокруг охОбъем тела вращающегося вокруг оси ох. вычислить объем тела вращения вокруг оси oy. объём фигуры вращения через интеграл. вычисление объемов тел вращения примеры.Вычисление объемов тел вращения с помощью интегралов. объем тела вращения интеграл. формула объема через интеграл. нахождение объема тела вращения с помощью определенного интеграла.Формула вычисления объема тела вращения вокруг оси ох. вычислить объем тела, полученного вращением криволинейной трапеции,. j,]`v ntkf j,hfpjdfyyjuj dhfotybtv djrheu jcb.Вычислить объём тела, ограниченного эллипсоидом. объем тела вращения вокруг оси оу. найти объем тела образованного вращением вокруг оси. вычислить объем тела образованного вращением вокруг оси ох.Объём вращения фигуры ограниченной линиями. вычислить объем фигуры вращения вокруг оси ограниченной линиями. объем тела вращения ox. объем тела вращения y = x 3.Объем тела вращения вокруг охВычислить объем фигуры вращения вокруг оси ограниченной линиями. вычислить объем тела вращения y=x2 +2. вычислить объем тела образованного вращением вокруг оси оу. вычислите объем тела, образованного вращением фигуры, ограниченной.Объем тела вращения вокруг охОбъем тела вращения вокруг охОбъем тела вращения вокруг оси. объем вращения вокруг оси оу. объем тела вращения вокруг оси оy. объем тела , образованного вращением криволинейной трапеции.Вычислить объем фигуры ограниченной линиями. найти объем фигуры ограниченной линиями онлайн. объем фигуры ограниченной поверхностями. вычислить объем тела образованного вращением вокруг оси ох.Объем тела вращения вокруг охОбъём вращения фигуры ограниченной линиями формула. объем вращения интеграл. формулы объема тел вращения интеграл. объём тела вращения формула по осям.Объём фигуры вращения через интеграл. объем тела образованного вращением вокруг оси. объем тела вращения вокруг оси oy. объём фигуры ограниченной линиями вокруг оси оу.Вычисление объемов тел вращения примеры. формула объема через интеграл. объем тела образованного вращением фигуры ограниченной линиями. формула объема тела вращения через интеграл.Объем тела вращения вокруг оси. объем тела вращения вокруг оси оy. вращение тела вокруг оси ох.Объем тела вращения вокруг оси ох. вычислить объём тела образованного вращением фигуры. объем фигур вращения вокруг оси ох. объем фигуры вращения вокруг ох.Объем тела вращения вокруг охОбъем тела образованного вращением вокруг оси. объем тела образованного вращением вокруг оси оy. объем фигуры вращения вокруг оу. вычисление объемов тел вращения примеры.Объем тела образованного вращением вокруг оси. dsxbckbnm j,]`n ntkf j,hfpjdfyyjuj dhfotybt djrheu jcb. вычислить объем тела образованного вращением вокруг оси. вычислить объем тела, j,hfpjdfyyjuj dhfotybtv djrehu jcb.Объем тела вращения вокруг охDsxbckbnm j,]`n ntkf j,hfpjdfyyjuj dhfotybt djrheu jcb. объём тела образованного вращением вокруг оси ох фигуры. объем тела образованного вращением. объем тела образованного вращением фигуры ограниченной линиями.Формула объема тела вокруг оси ох. вычисление объемов тел объемов тел вращения. формула для вычисления объема тела вращения. формула объема вращения вокруг оси оу.Объем тела вращения вокруг охОбъем тела вращения вокруг охОбъем тела вращения вокруг охОбъем фигуры вращения вокруг оу. объем тела образованного вращением вокруг оси оу. объем тела образованного вращением фигуры ограниченной линиями.Вычисление объемов тел вращения. j,]`v ntkf j,hfpjdfyyjuj dhfotybtv djrheu jcb. объем тела вращения вокруг оси. объем тела образованного вращением.Вычислить объем тела вращения вокруг оси ох. вычислить объем фигуры вращения вокруг оси ограниченной линиями. объем тела образованного вращением фигуры ограниченной линиями. вычислить объем тела, полученного вращением вокруг оси ox фигуры,.Площадь поверхности тела вращения вокруг оси. вычисление площади поверхности вращения. вычисление поверхности тела вращения. площадь поверхности тела вращения интеграл.Объем тела вращения вокруг охОбъем тела вращения по оси оу. объем тела образованного вращением вокруг оси оy. формула объема вращения вокруг оси ох. формула объема тела вращения вокруг оси ох.Объем тела полученного вращением вокруг оси. объём тела полученного вращением вокруг оси абсцисс. вычислить объем тела полученный вращением вокруг оси абсцисс:. найдите объем тела, полученного при вращении вокруг оси..Объем тела вращения вокруг оси oy. найти объем тела образованного вращением вокруг оси. вычисление объема тела образованного вращением. вычислить объем тела образованного вращением вокруг оси ох.Объем тела, полученного вращением фигуры, ограниченной линиями. вычислить объём тела образованного вращением фигуры. лбьемфигуры ограничен. объем тела образованного вращением фигуры ограниченной линиями.Объем тела вращения вокруг охОбъем тела вращения вокруг оси оу. объем тела вращения вокруг оси ox. объем тела образованного вращением вокруг оси. формула вычисления объема тела вращения вокруг оси ох.Объем вращения вокруг оси ох. вращение тела вокруг оси ох. тело образованное вращением вокруг ox.Объем тела полученного вращением вокруг оси. объем тела вращения вокруг оси оу. объем тела вращения вокруг оси оy. объем тела полученного вращением фигуры вокруг оси оу.Объем тела вращения вокруг охПлощадь поверхности через интеграл. вычислить объем тела вращения вокруг оси ох. площадь поверхности тела вращения вокруг оси. площадь поверхности вращения интеграл.Объем тела полученного вращением. объем фигуры ограниченной линиями. объем тела, полученного вращением фигуры, ограниченной линиями. объем тела вращения ограниченного линиями.Объем тела вращения вокруг оси оу фигуры ограниченной линиями. объем тела образованного вращением вокруг оси. вычисления объема тела вращения вокруг оси oy. объем тела вращения вокруг оси oy y.Вычисление объемов тел с помощью определенного интеграла. вычисление объёма тела с помощью определённого интеграла. вычисление объема с помощью определенного интеграла. объем тела вращения вокруг оси интеграл.Объем тела вращения вокруг охОбъем тела вращения вокруг охОбъем тела вращения вокруг охОбъем фигуры ограниченной линиями. объем вращения вокруг оси оу. объем тела вращения вокруг оси оу. объем тела вращения вокруг оси оy фигуры, ограниченной линиями.Вычислить объем тела, полученного вращением вокруг оси ох y^3=x^2. объем тела полученного вращением вокруг оси ох параболой. вычислить объем тела вращения (вокруг оси ох) 𝑦 = 2𝑥 , 𝑦 = 1, 𝑥 = 1. объем тела 3 степени.Объем тела вращения вокруг оси оу. объем тела вращения вокруг оси оy. вычислить объем тела образованного вращением вокруг оси ох. вычислить объем фигуры ограниченной.Интегральная формула объема тел вращения. формула объема тела вращения через интеграл. общая формула для объемов тел вращения. объем фигуры вращения.Формула для вычисления объема тела вращения. расчет объема тела формула. основная формула для вычисления объемов тел. формула объема вращающегося тела.Вычислить объем тела полученного вращением вокруг оси оу. объем фигуры вращения вокруг оу. найти объем тела полученного вращением. объем тела полученного вращением.Объем тела вращения вокруг охОбъем тела образованного вращением фигуры ограниченной линиями. вычислить объём вращения фигуры вокруг оси ох ограниченной линиями. вычислить объем фигуры вращения вокруг оси ограниченной линиями. объем тела полученного вращением вокруг оси ох фигуры ограниченной.Вычисление объемов тел с помощью определенного интеграла. объем тела вращения интеграл. вычисление объема тела вращения с помощью определенного интеграла. вычислить объем тела вращения с помощью определенного интеграла.Объем тела вращения вокруг охОбъем тела вращения вокруг охОбъем тела вращения, полученного вращением кривой. объем кривой dhfof.otqcz djrheu jcb x. найти объем тела, полученного вращением кривой. объём вращения кривой вокруг оси.Объем тела вращения вокруг охПлощадь тела вращения через интеграл. объем поверхности вращения через интеграл. объём фигуры вращения через интеграл. интегральная формула объема.Объем тела вращения вокруг охОбъем тела вращения вокруг охОбъем тела вращения вокруг оси ох ограниченной линиями. вычислить объем фигуры вращения вокруг оси ограниченной линиями. вычислить объем фигуры ограниченной линиями x+2. вычислить объем тела образованного вращением y^2=4x 4y=x^2.Нахождение объема тела вращения с помощью определенного интеграла. формула для вычисления объема тела вращения. формула объема тела вращения вокруг оси ох. объем тела полученного вращением вокруг оси формула.Объем тела вращения вокруг ох