Объем тела ограниченного поверхностями калькулятор
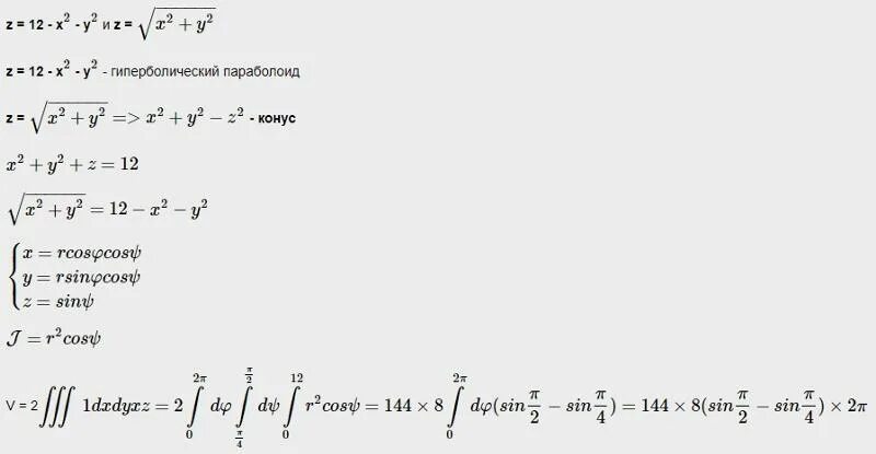
Объем тела ограниченного поверхностями. вычислить объемы тел, ограниченных поверхностями.Объем тела ограниченного поверхностями калькуляторВычислить объем тела ограниченного. объем тела ограниченного поверхностями. вычисление объёма тела ограниченного поверхностями. вычислить объем тела заданного ограничивающими его поверхностями.Объем тела ограниченного поверхностями калькуляторОбъем тела ограниченного поверхностями калькуляторОбъем тела ограниченного поверхностями калькуляторВычислить объем тела ограниченного. объём тела ограниченного плоскостями. вычислить объем тела ограниченного поверхностями. объем тела ограниченного поверхностями.Вычисление объёма тела ограниченного поверхностями. объем тела ограниченного поверхностями тройной интеграл. вычислить объем тела ограниченного поверхностями. площадь: тела,ограниченного поверхностями.Объем тела ограниченного поверхностями калькуляторОбъем тела ограниченного поверхностями формула. формула объема ограниченного поверхностями. вычислить объем тела ограниченного поверхностями. объём тела ограниченного плоскостями.Объем тела ограниченного поверхностями калькуляторОбъем тела ограниченного поверхностями калькуляторОбъем тела ограниченного поверхностями калькуляторОбъем тела ограниченного поверхностями калькуляторОбъем тела ограниченного поверхностями калькуляторОбъем тела ограниченного поверхностями двойной интеграл. найти объем тела ограниченного. вычисление объёма тела ограниченного поверхностями. объем ограниченный поверхностями.Объем тела ограниченного поверхностями калькуляторОбъем тела ограниченного поверхностями калькуляторОбъем тела ограниченного поверхностями. площадь боковой поверхности круга. объем сегмента цилиндра. площадь боковой поверхности шарового сегмента.Вычисление объемов тел с помощью интеграла. тройной интеграл. вычисление объема тела.. объем с помощью тройного интеграла. объем тройной интеграл.Объем тела ограниченного поверхностями калькуляторВычисление объёма тела ограниченного поверхностями. вычислить объем тела ограниченного. объём тела ограниченного плоскостями. объем тела ограниченного поверхностями.Вычислить объем тела ограниченного поверхностями. найти объемы тел, ограниченных поверхностями.. вычислить объем тела заданного ограничивающими его поверхностями. объем тела ограниченного поверхностями тройной интеграл.Вычислить объем тела ограниченного поверхностями двойной интеграл. объем тела ограниченного поверхностями через двойной интеграл. вычислить объем тела ограниченного поверхностями. найдите объем тела ограниченного поверхностями.Вычислить объемы тел, ограниченных поверхностями. объем тела ограниченного поверхностями. вычислить объем тела ограниченного поверхностями. объём тела ограниченного плоскостями.Найти объем тела ограниченного поверхностями. объём тела ограниченного плоскостями.Объем тела ограниченного поверхностями калькуляторВычисление объемов тел. площадь поверхности полушара. объем цилиндра с помощью интеграла. вычисление объема с помощью интеграла.Вычислить объем тела ограниченного поверхностями. вычислить объем тела с помощью двойного интеграла. кратные интегралы примеры с решением.Вычислить объем тела ограниченного поверхностями z =y. объем тела ограниченного поверхностями тройной интеграл. вычислить объем тела ограниченного поверхностями тройной интеграл. найти объемы тел, ограниченных поверхностями..Вычисление площади криволинейного интеграла. криволинейный интеграл 1 рода формула. вычисление объема с помощью двойного интеграла.Цилиндрическая система координат интеграл. тройной интеграл конус. объем тела через тройной интеграл.Объем тела ограниченного поверхностями. вычислить объем тела ограниченного поверхностями. объем тела с помощью тройного интеграла. вычислить объем тела ограниченного поверхностями тройной интеграл.Найти объем тела ограниченного сферой и параболоидом. вычислить объем тела ограниченного. объем тела ограниченного поверхностями. объём тела ограниченного плоскостями.Объем тела ограниченного поверхностями двойной интеграл. найти объем тела ограниченного.Найти объем тела ограниченного поверхностями. найдите объем тела ограниченного поверхностями. объем ограниченный поверхностями.Вычислить объем тела ограниченного поверхностями. объем тела ограниченного поверхностями тройной интеграл. вычислить объём тела ограниченного поверхностью x+y+z=1. вычислить объём тела ограниченного поверхностями z = 5-x-y , x^2+y^2=9 z = 0.Объем тела ограниченного поверхностями тройной интеграл. объем фигуры ограниченной поверхностями. вычислить объем тела ограниченного. вычислить объем тела ограниченного поверхностями.Вычислить объем тела ограниченного поверхностями двойной интеграл. объем тела ограниченного поверхностями двойной интеграл. вычислить объемы тел ограниченных поверхностями двойной интеграл. объем тела через двойной интеграл.Объем тела ограниченного поверхностями калькуляторТройной интеграл x2+y2. найти объем тела ограниченного. объем с помощью тройного интеграла.Объем тела ограниченного поверхностями калькуляторВычислить объем тела ограниченного поверхностями тройной интеграл. интеграл формула тройной сложный. объем с помощью тройного интеграла. объем тела с помощью тройного интеграла.Область построения. вычислить объем тела, ограниченного плоскостью и поверхностью. построить область.Объем тела ограниченного поверхностями калькуляторОбъем тела ограниченного поверхностями калькуляторВычисление части площади поверхности. координаты центра масс поверхности. вычислить объем параболоида ограниченного поверхностями. найти площадь поверхности вырезанной плоскостями.Объем через тройной интеграл. интегрирование объем тела. вычислить тройной интеграл ограниченный поверхностями. вычисление объема с помощью тройного интеграла.Объем тела ограниченного поверхностями калькуляторОбъем тела ограниченного поверхностями калькуляторВычислить объем тела, ограниченного плоскостью и поверхностью. вычисление объёма тела ограниченного поверхностями. вычислить объемы тел, ограниченных поверхностями.Объем тела ограниченного поверхностями калькуляторВычислить объем тела ограниченного. объём тела ограниченного плоскостями. найти объем тела ограниченного поверхностями. вычислить объем тела ограниченного поверхностями.Поверхность z = 1 - (x2+y2)^0.5. вычислить объем тела ограниченного поверхностями тройной интеграл. тройной интеграл ограниченный поверхностями x2 y2. вычислить объем тела ограниченного поверхностями.Объем тела ограниченного поверхностями. вычислить объем тела ограниченного поверхностями. формула объема ограниченного поверхностями. объем тела ограниченного поверхностями формула.Вычисление объема тела с помощью двойного интеграла. объем тела ограниченного поверхностями двойной интеграл. объем тела ограниченного поверхностями тройной интеграл. вычисление тройного интеграла.Вычисление объёма тела ограниченного поверхностями. вычислить объем через двойной интеграл. объем тела ограниченного поверхностями тройной интеграл. вычислить объем тела с помощью двойного интеграла.Вычисление объема тела с помощью двойного интеграла. объем тела ограниченного поверхностями двойной интеграл. вычислить объем тела ограниченного. найдите объем тела ограниченного поверхностями.Объем тела ограниченного поверхностями калькуляторВычисление тройных интегралов примеры. тройной интеграл x2+y2. вычисление тройного интеграла. тройной интеграл вычисление объема.Объем тела ограниченного поверхностями двойной интеграл. вычислить объем тела ограниченного поверхностями двойной интеграл. вычисление объема через двойной интеграл. нахождение объема с помощью двойного интеграла.Тройной интеграл x2+y2. вычислить объем тройной интеграл. z=y^2-x^2 тройной интеграл. вычисление объема через тройной интеграл.Объем тела ограниченного поверхностями двойной интеграл. вычислить объем тела с помощью двойного интеграла. вычислить объем через тройной интеграл. площадь поверхности с помощью двойного интеграла.Вычислить объем тела ограниченного. найти объем тела ограниченного поверхностями. формула объема ограниченного поверхностями. объем тела ограниченного двумя функциями.Объем тела ограниченного поверхностями калькуляторОбъем тела ограниченного поверхностями калькуляторОбъем тела ограниченного поверхностями калькуляторОбъем тела ограниченного поверхностями калькуляторОбъем цилиндрического тела через двойной интеграл. объём цилиндроида двойной интеграл. объем тела с помощью двойного интеграла формула. объем цилиндра с помощью двойного интеграла.Объем тела ограниченного поверхностями. найти объемы тел, ограниченных поверхностями..Вычислить объем тела ограниченного.Вычислить объем тела ограниченного поверхностями. вычислить объемы тел, ограниченных поверхностями. вычислить объем ограниченный поверхностями. объем тела ограниченного поверхностями.Объем тела ограниченного поверхностями формула. вычислить объем тела ограниченного поверхностями. вычислить объем тела ограниченной поверхностями. вычислить объемы тел, ограниченных поверхностями.Z=y^2-x^2 тройной интеграл. вычислить объем фигуры ограниченной поверхностями. объем фигуры ограниченной плоскостями. вычислить объем тела ограниченного.Найти объем тела ограниченного поверхностями. объем тела ограниченного параболоидом и плоскостью.Вычисление объемов тел. объем тела ограниченного поверхностями формула.24. вычисление тройного интеграла в цилиндрических координатах.. формула объема через тройной интеграл. вычислить объем через тройной интеграл. вычислить объем тела ограниченного поверхностями тройной интеграл.Объем тела ограниченного поверхностями калькуляторНайти объем тела ограниченного поверхностями. вычисление объёма тела ограниченного поверхностями.Вычислить объем через тройной интеграл. тройной интеграл ограниченный поверхностями x2 y2. вычислить объем с помощью тройного интеграла. объем пирамиды тройной интеграл.Вычислить объем тела ограниченного поверхностями x2+y2=1 y+2z+2=0 z=0. вычислить объем тела ограниченного поверхностями z x 2+y 2 z^2=x^2+y^2. поверхность x 2 y 2 z 2. x^2+y^2=z^2.