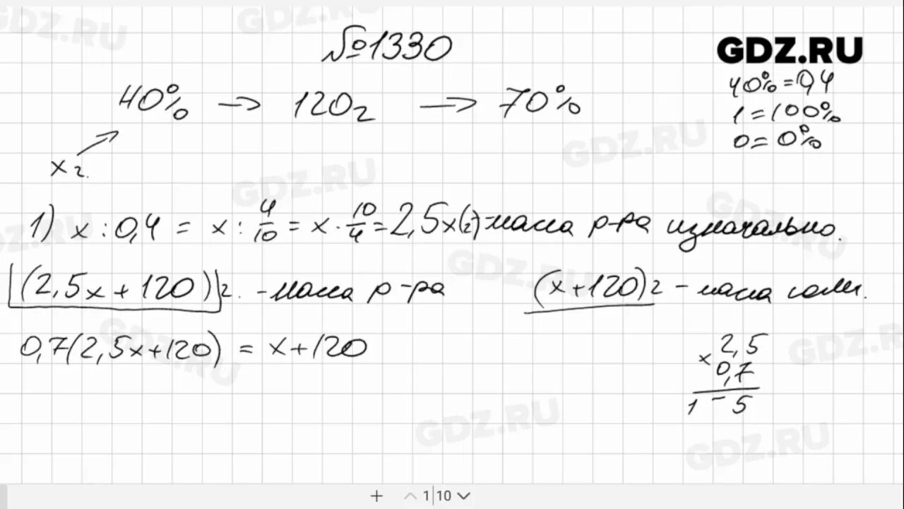
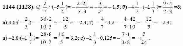
Математика 6 класс 2 часть номер 255. математика 6 класс 2. математика 6 класс никольский номер 255. математика 6 класс виленкин номер 255.Математика 6 класс номер 255. математика 6 класс виленкин 2 часть номер 255. гдзьпо матиматике номер1204. математика 6 класс виленкин 1 часть номер 420.Номер 255 6 класс виленкинМатематика 6 класс виленкин номер 1199. математика 6 класс виленкин номер 1199 решение. математика 6 класс номер 1183.Математика 6 класс номер 1233. математика 6 класс виленкин 1233. номер 1233 по математике 6 класс виленкин.Математика 6 класс виленкин номер 266. математика 6 класс номер 255. матем 6 класс 1 часть номер 255 виленкин.Математика 6 класс номер 255. математика 6 класс упражнение 255 2 часть. математика 5 класс страница 255 упражнение 1687. номер 255 в учебнике 6 класса.Математика 6 класс виленкин номер 1369. математика 6 класс виленкин 2 часть номер 1369.Математика 6 класс виленкин номер 420. математика 6 класс виленкин номер номер 420.Математика 6 класс виленкин 1567. математика 6 класс ном 1567. математика 6 класс страница 276 номер 1567.Номер 255 6 класс виленкинНомер 255 6 класс виленкинМатематика 6 класс виленкин номер 1224 1. математика 6 класс виленкин номер 1224.Математика виленкин 6 класс 1037. математика 6 класс виленкин. номер 1037 по математике 6 класс.Математика 6 класс виленкин 1 часть номер 945. домашнее задание по математике 6 класс виленкин 2 часть страница.Математика 6 класс номер 1144. математика 6 класс виленкин 1144. математика 6 класс номер 1144 страница 195.Математика 6 класс виленкин номер 966. виленкин упражнение 966 6 класс.Математика 6 класс виленкин номер 1464. математика 6 класс 1464. математика 6 класс номер 1464.Математика 6 класс виленкин 2 номер 267. математика 6 класс виленкин 2 часть номер 255.Математика 6 класс 399. математика 6 класс виленкин 415. математика 6 класс страница 76 номер 399.Учебник по математике 6 класс виленкин задания. математика 6 класс упражнение номер 473. виленкин 6 класс задания. жохов математика 6 класс виленкин номер 478.Математике 6 класс 1029. математика веленкин6 класс номер 1029. математике 6 класс виленкин тренажер.Математика 6 класс виленкин 1057. математика 6 класс виленкин номер 1057.Математика 6 класс 1000. номер 1000 по математике 6 класс. математика 6 класс виленкин 1000.Математика 6 класс 1438 виленкин. математика 6 класс виленкин номер 1438. математика 5 класс виленкин 1438.Математика 6 класс номер 1569. математика 5 класс номер 1569. математика 5 класс виленкин номер 1569. номер 680 по математике 6 класс виленкин.Математика 6 класс номер 1238. математика 6 класс мерзляк номер 1238. математика 6 класс виленкин номер 1238. математика 5 класс 1 часть номер 1238.Задача 258 математика 6 класс виленкин. 6.255 математика 5 класс виленкин. номер 258 по математике 6 класс виленкин 2 часть.Математика 6 класс 2 часть номер 255. алгебра 7 класс виленкин. номер 255 по математике 5 класс. номер 255 математике 2 класс.Виленкин 6 класс математика 1330. математика 5 класс виленкин 1330.Математика 6 класс виленкин номер 685. параграф 14 математика 6 класс виленкин.Математика 6 класс номер 5. математика 6 класс виленкин 2 часть. математика 6 класс виленкин номер 529.Номер 421 по математике 6 класс виленкин. математика 6 класс номер 421 задача.Номер 255 6 класс виленкинМатематика 6 класс номер 244. виленкин математика 6 номер 244. номер 244 виленкин.Математика 6 класс виленкин номер 567. математика 6 класс виленкин жохов номер 567. математика 5 класс виленкин номер 567.Математика 6 класс виленкин номер 1465. математика 5 класс виленкин номер 1465.Математека 6 клас номер357. математика 6 класс номер 357. математика 6 класс виленкин номер 361. математика 6 класс никольский номер 357.Математика 6 класс виленкин. математика 6 класс виленкин номер. математика 6 класс виленкин номер 1092.Математика виленкин 6 класс 2000. математика 6 класс виленкин 2025.