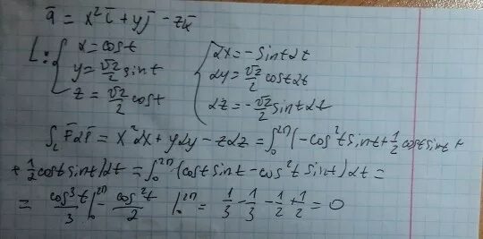
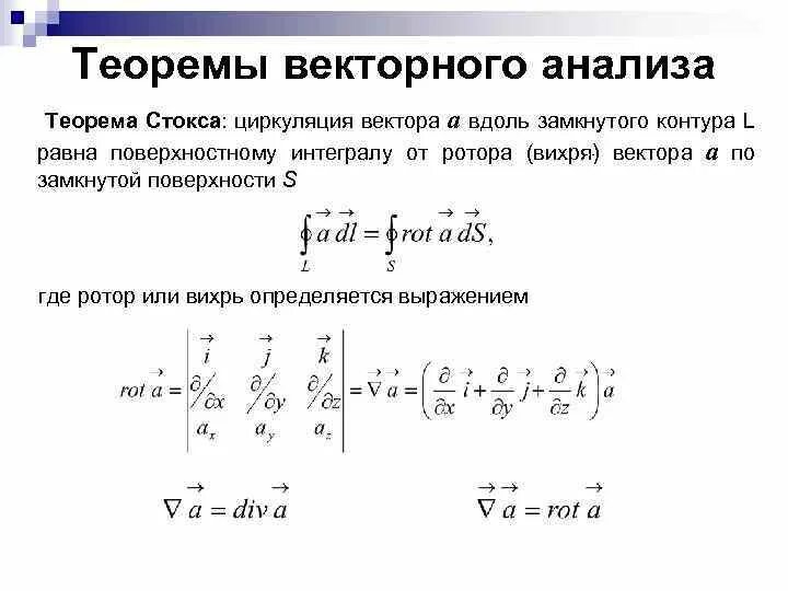
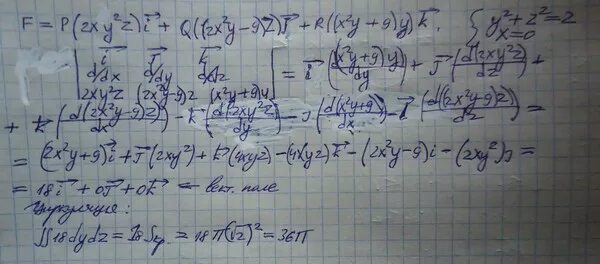
Вычислить циркуляцию векторного поля вдоль линии. модуль циркуляции векторного поля по замкнутому контуру. циркуляция векторного поля по формуле стокса. вычисление циркуляции векторного поля по формуле стокса.Найти циркуляцию поляНайти модуль циркуляции векторного поля вдоль контура. формула стокса циркуляция векторного. циркуляция вектора вдоль контура. вычислить циркуляцию векторного поля вдоль контура.Формула модуль циркуляции векторного поля. вычислить циркуляцию векторного поля по формуле стокса. циркуляция векторного поля по замкнутому контуру. циркуляция векторного поля на примерах вычисления.Циркуляция векторного поля формула. формула стокса циркуляция векторного поля. циркуляция вектора по замкнутому контуру. векторные поля поток и циркуляция векторного поля.Найти циркуляцию поляНайти циркуляцию поляНайти циркуляцию поляЦиркуляция векторного поля. вычисление циркуляции. циркуляция математический анализ. циркуляция векторного поля формула.Циркуляция вектора формула стокса. циркуляция векторного поля по контуру, вычисление. вычислить поток векторного поля и циркуляцию. модуль циркуляции векторного поля по замкнутому контуру.Найти циркуляцию поляНайти циркуляцию поляЦиркуляция поля. циркуляция векторного поля. циркуляция векторного поля формула. циркуляция вектора в математике.Вычислить циркуляцию векторного поля вдоль контура. найти работу векторного поля вдоль контура. вычислить циркуляцию векторного поля по контуру. найти модуль циркуляции векторного поля.Формула стокса для циркуляции. циркуляция векторного поля формула. циркуляция поля по формуле стокса. формула стокса циркуляция векторного поля.Найти циркуляцию поляЦиркуляция электрического поля формула. теорема о циркуляции вектора напряженности в вакууме. циркуляция вектора напряженности электрического поля формула. циркуляция вектора напряженности электростатического поля.Циркуляция векторного поля. вычислить циркуляцию вектора. найти циркуляцию вектора по контуру. циркуляция векторного поля формула.Циркуляция вектора. циркуляция вектора по контуру. циркуляция вектора вдоль контура. циркуляция векторного поля.Найти циркуляцию поляЦиркуляция векторного поля. циркуляция и ротор векторного поля. циркуляция в математике. циркуляция векторного поля по замкнутому контуру.Найти циркуляцию поляСвойства ротора. формула ротора векторного поля. модуль ротора векторного поля. rot векторного поля.Формула стокса для циркуляции. циркуляция векторного поля. циркуляция векторного поля формула. циркуляция векторного поля вдоль линии..Найти циркуляцию по стоксу.Циркуляция векторного поля по формуле стокса. формула стокса ротор. формула стокса для циркуляции. циркуляция векторного поля по замкнутому контуру по формуле стокса.Циркуляция векторного поля по замкнутому контуру. циркуляция поля по замкнутому контуру формула. формула стокса для циркуляции. циркуляция векторного поля по замкнутому контуру по формуле стокса.Найти циркуляцию поляНайти циркуляцию поляНайти циркуляцию поляЦиркуляция векторного поля вдоль контура. найти циркуляцию векторного поля вдоль контура. вычислить циркуляцию вектора a=(z,y^2,-x) по формуле стокса. вычислить стокса и непосредственно циркуляцию.Найти циркуляцию поляЦиркуляция электростатического поля. работа по перемещению заряда. теорема о циркуляции напряженности электрического поля. теорема о циркуляции вектора напряженности электростатического поля.Вычислить циркуляцию векторного поля по контуру. найти модуль циркуляции векторного поля. найти циркуляцию векторного поля по формуле стокса. найти циркуляцию векторного поля a вдоль контура l.Найти циркуляцию поляЦиркуляция вектора h по контуру. циркуляция вектора по контуру равна 1 а 2 а. циркуляцию вектора индукции вдоль контура. теорема о циркуляции вектора магнитной индукции.Циркуляция вектора напряженности электрического поля. циркуляция вектора напряженности электростатического поля. циркуляция вектора напряженности поля. циркуляция вектора напряженности.Циркуляция вектора напряженности электрического поля. циркуляция вектора напряженности по замкнутому контуру. циркуляция электрического поля формула. циркуляция вектора напряженности электростатического поля.Найти циркуляцию поляЦиркуляция магнитной индукции по контуру. теорема циркуляции вектора магнитной индукции по замкнутому контуру\. циркуляция вектора магнитной индукции определение. циркуляция вектора индукции магнитного поля по замкнутому контуру.Найти циркуляцию поляНайти циркуляцию поляНайти циркуляцию поляЦиркуляция по замкнутому контуру. циркуляция вектора поля. циркуляция формула. циркуляция поля по замкнутому контуру формула.Циркуляция вектора магнитной индукции формула. циркуляция вектора магнитной индукции по замкнутому контуру. теорема циркуляции вектора магнитной индукции по замкнутому контуру\. циркуляция вектора индукции магнитного поля по замкнутому контуру.Понятие векторного поля. векторное поле примеры. векторные линии векторного поля. уравнение векторного поля.Найти циркуляцию поляЦиркуляция вектора магнитного поля в вакууме. циркуляция вектора магнитного поля. циркуляция вектора напряженности магнитного поля в вакууме. циркуляция вектора по замкнутому контуру.Нахождение ротора векторного поля. вычислить ротор векторного поля примеры. модуль ротора векторного поля. ротор вектора пример.Вычислить поверхностный интеграл второго рода. вычислить поток векторного поля через поверхность. поток вектора через плоскость. поток через интеграл.Найти циркуляцию поляНайти циркуляцию поляЦиркуляция векторного поля. циркуляция вектора скорости. циркуляция векторного поля по замкнутому контуру. физический смысл циркуляции векторного поля.Найти циркуляцию поляЦиркуляция электрического поля формула. циркуляция вектора напряженности электрического поля. работа электрического поля по замкнутому контуру. разность потенциалов равна нулю между точками.Способы вычисления потока векторного поля. формула нахождения потока векторного поля. вычислить поток векторного поля. вычисление потока векторного поля через замкнутую поверхность.Найти циркуляцию поляНайти циркуляцию поляНайти циркуляцию поляТеорема стокса. ротор напряженности электрического поля. теорема стокса циркуляция. теорема стокса ротор.Формула стокса ротор. циркуляция вектора теорема стокса. теорема стокса для электростатического поля. циркуляция поля. ротор. теорема стокса..Работа электростатического поля по замкнутому контуру. работа по перемещению заряда по замкнутому контуру. работа векторного поля по замкнутому контуру. работа кулоновских сил.Теорема о потенциальных полях. магнитное поле непотенциально или потенциально. непотенциально поле что значит.Циркуляция поля. циркуляция поля онлайн.Теорема о циркуляции вектора напряженности электростатического поля. циркуляция вектора напряженности по замкнутому контуру. теорема о циркуляции вектора напряженности электрического поля. циркуляция электрического поля формула.Ротор магнитной индукции. ротор вектора напряженности магнитного поля. поток и циркуляция магнитного поля. поток и циркуляция вектора магнитной индукции.Найти циркуляцию поляНайти циркуляцию поляЦиркуляция вектора скорости плоского потока жидкости. циркуляция скорости формула. циркуляция потенциального поля. циркуляция вектора скорости.Найти циркуляцию поляНайти циркуляцию поляПотенциальное векторное поле. потенциал векторного поля. потенциальные векторные поля примеры. определение потенциала векторного поля.Найти циркуляцию поляВывод индукции магнитного поля соленоида. характер распределения магнитного поля на оси соленоида. формула расчета магнитного потока соленоида. магнитное поле внутри соленоида (если пренебречь краевыми эффектами):.Поток векторного поля через внешнюю поверхность пирамиды. поток векторного поля через часть плоскости. вычислить поток векторного поля через поверхность. поток векторного поля через замкнутую поверхность.