Удиви меня
Напишите ядерную реакцию при бомбардировке бора
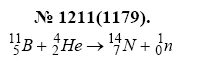
Написать ядерную реакцию происходящую при бомбардировке бора. написать ядерную реакцию происходящую при бомбардировке бора 11 5. ядерная реакция происходящая при бомбардировке бора 11 5. напишите ядерную реакцию происходящую при бомбардировке бора.
Написать ядерную реакцию происходящую при бомбардировке бора. ядерная реакция при бомбардировке альфа частицами бериллия. записать ядерную реакцию происходящую при бомбардировке. взаимные превращения частиц.
Напишите ядерную реакцию при бомбардировке бора
Написать ядерную реакцию происходящую при бомбардировке бора. напишите ядерную реакцию происходящую при бомбардировке бора. напишите ядерную реакцию происходящую при бомбардировке бора 11 5. ядерная реакция происходящая при бомбардировке бора альфа частицами.
Бомбардировка изотопа 10 5 b. бомбардировка изотопа бора 11 5 b. напишите ядерную реакцию бомбардировки бора. написать ядерную реакцию происходящую при бомбардировке бора.
Напишите ядерную реакцию при бомбардировке бора
Рымкевич 1210. ядерная реакция при бомбардировке алюминия альфа частицами. напишите ядерную реакцию, происходящую при бомбардировке. при бомбардировке алюминия.
Написать ядерную реакцию происходящую при бомбардировке бора. записать ядерную реакцию происходящую при бомбардировке. ядерная реакция происходящая при бомбардировке. напишите ядерную реакцию, происходящую при бомбардировке.
Напишите ядерную реакцию. написать ядерные реакции. напишите ядерную реакцию, происходящую при бомбардировке. ядерная реакция бомбардировки бора.
Напишите ядерную реакцию при бомбардировке бора
Напишите ядерную реакцию при бомбардировке бора
Бомбардировка алюминия протонами. написать ядерную реакцию происходящую при бомбардировке бора 10 5. при бомбардировке некоторого элемента альфа частицами.
Написать ядерные реакции. напишите ядерную реакцию, происходящую при бомбардировке. написать ядерную реакцию при бомбардировке алюминия 27. напишите ядерную реакцию которая происходит.
Реакция при бомбардировке альфа частицами алюминия. реакция бомбардировки альфа частицами. бомбардировка алюминия протонами. бомбардировка алюминия альфа частицами.
Напишите ядерную реакцию при бомбардировке бора
При бомбардировке ядер бора 11 5 протонами получается бериллий. при бомбардировке ядер бора 11 5 протонами. задачи по физике с протонами. при бомбардировке ядра бора протонами.
При бомбардировке изотопа бора 10 5 нейтронами. при бомбардировке изотопа бора нейтронами. при бомбардировке изотопа бора нейтронами из образовавшегося. при бомбабадировки ядра желазе.
При бомбардировке изотопа. при бомбардировке изотопа бора нейтронами. бомбардировка изотопа азота нейтронами. при бомбардировке изотопа азота 14 7 n нейтронами.
Углерод бомбардируется протоном. при бомбардировке изотопа азота 14 7 n. задания на распад и бомбардировку. 7 n азот 14,007.
Реакция при бомбардировке альфа частицами алюминия. реакция бомбардировки алюминия альфа частицами. ядерная реакция бомбардировки алюминия. при бомбардировке изотопа алюминия 27 13 альфа частицами образуется.
При бомбардировке бора 10. написать ядерную реакцию при бомбардировке бора 11 альфа частицами. напишите ядерную реакцию происходящую при бомбардировке бора 11 5. написать ядерную реакцию при бомбардировке бора 11.
Энергия связи дефект масс. энергия связи ядра физика 9 класс. при бомбардировке изотопа азота 14 7 n нейтронами. при бомбардировке изотопа азота.
При бомбардировке изотопа бора нейтронами. бомбардировка ядра нейтронами. при бомбардировке ядра бора нейтронами образуется. при бомбардировке изотопа бора 10 5 нейтронами.
Бомбардировка бора альфа частицами. напишите ядерную реакцию, происходящую при бомбардировке. реакция бомбардировки бора. ядерная реакция бомбардировки бора.
При бомбардировке изотопа бора. при бомбардировке изотопа бора 10 5 альфа частицами. при бомбардировке бора. при бомбардировке изотопа бора нейтронами.
При бомбардировке изотопа азота. при бомбардировке изотопа бора нейтронами. при бомбардировке изотопа азота 14 7 n нейтронами. бомбардировка изотопа азота нейтронами.
При бомбардировке ядер бора 11 5 протонами получается бериллий 8 4. при бомбардировке ядра бора протонами. при бомбардировке ядер бора 11 5 протонами получается бериллий. реакции с образованием составного ядра.
Напишите ядерную реакцию при бомбардировке бора
Альфа распад задачи. при бомбардировке железа 56 нейтронами образуется. при бомбардировке ядер железа нейтронами образуется в-радиоактивный. при бомбардировке железа.
Напишите ядерную реакцию при бомбардировке бора
Какая частица испускается при ядерной реакции. какие частицы возникают в результате ядерных реакций. при бомбардировке изотопа. в результате бомбардировки изотопа лития 7 3 ядрами.
Напишите ядерную реакцию при бомбардировке бора
Напишите ядерную реакцию при бомбардировке бора
Ядерная реакция происходящая при бомбардировке алюминия. написать ядерную реакцию происходящую при бомбардировке алюминия. написать ядерную реакцию происходящую при бомбардировке бора. написать ядерную реакцию при бомбардировке алюминия 27.
Напишите ядерную реакцию при бомбардировке бора
Напишите ядерную реакцию при бомбардировке бора
Нейтрон образуется при реакции. при бомбардировке нейтронами ядер алюминия. реакция бомбардировки нейтронами. ядерные реакции бомбардировки.
Напишите ядерную реакцию при бомбардировке бора
Напишите ядерную реакцию при бомбардировке бора
Напишите ядерную реакцию, происходящую при бомбардировке. напишите ядерную реакцию. ядерные реакции. написать ядерные реакции.