Удиви меня
Метод кодирования фано
Кодирование информации методом шеннона-фано. построение кода методом шеннона-фано. алгоритм кодирования шеннона-фано. алгоритм сжатия информации шеннона фано.
Кодирование методом шеннона-фано. алгоритм кодирования шеннона-фано. алгоритм шеннона фано пример. метод шеннона фано русский алфавит.
Кодирование методом шеннона-фано. алгоритм сжатия информации шеннона фано. метод оптимального кодирование шеннона-фано. блочное кодирование шеннона фано.
Метод кодирования фано
Кодирование методом шеннона-фано. метод шеннона фано. префиксный код шеннона-фано. метод фано дерево.
Кодирование методом шеннона-фано. построение алгоритма шеннона фано. алгоритм шеннона-фано таблица кодировки. метод оптимального кодирование шеннона-фано.
Кодирование методом шеннона-фано. построение алгоритма шеннона фано. кодирование сообщения методом шеннона-фано. код шеннона алгоритм построения.
Алгоритм кодирования шеннона-фано. алгоритм шеннона фано пример. метод сжатия шеннона фано. эффективное кодирование информации методом шеннона-фано..
Кодирование методом шеннона-фано. алгоритм кодирования шеннона-фано. алгоритм сжатия информации шеннона фано. префиксный код шеннона-фано.
Метод кодирования фано
Кодирование методом шеннона-фано. алгоритм кодирования шеннона-фано. алгоритм шеннона - фано изображения. алгоритм шеннона-фано таблица кодировки.
Метод сжатия шеннона фано. алгоритм кодирования шеннона-фано. кодировка методом шеннона-фано таблица. алгоритм сжатия шеннона.
Кодирование по методу шеннона-фано. кодирование по шеннону фано. закодировать по алгоритму шеннона-фано.. метод шеннона фано дерево.
Закодировать методом шеннона-фано. алгоритм кодирования шеннона-фано. эффективное кодирование шеннона фано. алгоритм шеннона - фано.
Кодирование информации методом шеннона-фано. таблица шеннона фано. теория информации метод шеннона фано. кодирование источника по шеннону-фано:.
Алгоритм кодирования фано с++. алгоритмы замены алфавитного кодирования. метод кодирования рябко.
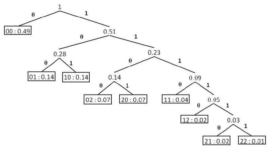
Алгоритм кодирования шеннона-фано. – кодовое дерево для кода шеннона-фано. алгоритм сжатия шеннона-фано. выполните кодирование сообщения методом шеннона-фано..
Кодирование шеннона-фано. метод шеннона фано. кодирование шеннона-фано онлайн. кодирование шеннона фано калькулятор.
Алгоритм кодирования шеннона-фано. закодировать методом шеннона-фано блоки. блок схема шеннон-фано. построение дерева шеннона фано.
Алгоритм кодирования шеннона-фано. алгоритм шеннона - фано. алгоритм шеннона фано пример. . кодирование методом шеннона-фан.
Префиксный код шеннона-фано. блоковое кодирование шеннона фано. алгоритм шеннона - фано. сжатие информации методом шеннона фано.
Алгоритм кодирования шеннона-фано. префиксный код шеннона-фано. дерево кода шеннона-фано. кодовая таблица шеннона фано.
Алгоритм кодирования шеннона-фано. код шеннона-фано табличный способ. коды русского алфавита по методу шеннона фано.
Кодирование методом шеннона-фано. методика шеннона фано. алгоритм кодирования шеннона-фано. – кодовое дерево для кода шеннона-фано.
Кодирование методом шеннона. алгоритм шеннона-фано. эффективное кодирование. недостатки кода шеннона-фано. алгоритм шеннона-фано таблица кодировки.
Алгоритм кодирования шеннона-фано. метод шеннона алгоритм. метод шеннона фано фано. оптимальное кодирование фано.
Алгоритм кодирования шеннона-фано. построение кода методом шеннона-фано.
Метод кодирования фано
Кодирование информации методом шеннона-фано. префиксный код шеннона-фано. метод сжатия шеннона фано. код шеннона фано дерево.
Методы шеннона фано. кодирование шеннона. алгоритм шеннона. алгоритм шеннона фано и хаффмана.
Метод кодирования фано
Код фано. код фано алгоритм. построить код фано. метод фано онлайн.
Кодирование информации методом шеннона-фано. кодирование фано алгоритм. алгоритм кодирования шеннона-фано. кодовое дерево фано.
Кодирование по методу шеннона-фано. алгоритм кодирования шеннона-фано. дерево кода шеннона-фано. таблица шеннона фано.
Метод кодирования фано
Кодирование по методу шеннона-фано. алгоритм кодирования шеннона-фано. дерево кодирования шеннона-фано. метод сжатия шеннона фано.
Алгоритм шеннона - фано. алгоритмы фано и хаффмана.. метод шеннона фано дерево. алгоритм шеннона фано дерево.
Алгоритм кодирования хаффмана дерево. кодовое дерево фано. двоичное дерево методом хаффмана. код шеннона фано дерево.
Методика шеннона фано. префиксный код шеннона-фано. код шеннона фано дерево. алгоритм шеннона фано и хаффмана.
Алгоритм кодирования шеннона-фано. кодовое дерево для кода фано. префиксный код шеннона-фано. – кодовое дерево для кода шеннона-фано.
Метод кодирования фано
Метод кодирования фано
Метод кодирования фано
Кодирование информации методом шеннона. кодирование шеннона-фано. код фано. кодировка шеннона фано.
Кодирование алфавита фано. алгоритм кодирования фано с++. закодировать слово барабашка алгоритмом шеннона фано. кодировка стихотворения фано.
Метод кодирования фано
Метод фано. метод фано информатика. метод фано в программировании. метод фано онлайн.
Дерево шеннона фано. дерево кода фано. код шеннона фано дерево. дерево шеннона фано с++.
Шеннон фано java. shannon fano decoding. shannon fano c++. shannon fano tree generator.
Коды шеннона-фано. код шеннона фано таблица. алгоритм шеннона пример. метод шеннона фано предполагает.
Метод кодирования фано
Метод кодирования фано
Таблица фано. метод оптимального кодирование шеннона-фано. алгоритм шеннона - фано. метод шеннона фано и хаффмана.
Метод кодирования фано
Алгоритм кодирования. алгоритмическое кодирование. алгоритм кодирования, пример. алгоритм кодирования текста.
Метод кодирования фано
Метод кодирования фано
Метод кодирования фано
Алгоритм шеннона фано и хаффмана. алгоритм сжатия данных хаффмана. сжатие файлов методом хаффмана. метод сжатия шеннона фано.
Бинарное дерево условие фано. способы построения двоичных кодов. условие фано информатика. обратное условие фано дерево.
Алгоритм сжатия последовательности шеннона-фано. сжатие при архивации как происходит. чем отличается сжатие данных от архивации данных. архивация сжатие данных осуществляется в первую очередь для.
Дерево шеннона фано. метод шеннона фано дерево. алгоритм шеннона фано дерево. код фано дерево.
Кодирование по методике шеннона-фано. код хаффмана код шеннона фано. блоковое кодирование шеннона фано пример. таблица кода шеннона фано.
Метод кодирования фано
Префиксный код шеннона-фано. кодирование шеннона-фано таблицей. построение кода методом шеннона-фано. таблица шеннона фано.
Кодирование информации методом шеннона. метод сжатия шеннона фано. метод шеннона фано предполагает. алгоритм шеннона.
Дерево кодирования шеннона-фано. алгоритм шеннона фано дерево. дерево фано информатика. троичное дерево по методу шеннона-фано.
Дерево фано информатика. дерево фано егэ информатика. обратное условие фано дерево. условие фано егэ.
Алгоритм хаффмана блок схема. алгоритм шеннона фано блок схема. дерево хаффмана для русского алфавита. дерево хаффмана информатика.