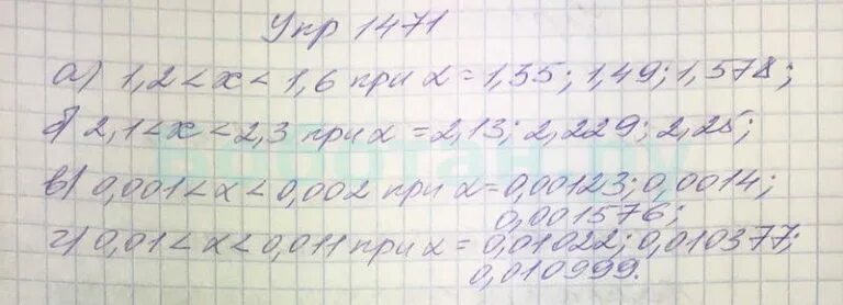
Математика пятый класс номер 224Математика 6 класс номер 224. номера 224. номер 224 по математике 5 класс. математика 5 класс учебник страница 224 номер 880.Математика 5 класс мерзляк номер 224. д/з по математике 5 класс. математика 5 класс страница 60 номер 224.Математика 6 класс номер 224.Математика 5 класс страница 224 номер 876. математика 5 класс задача 876.Математика 5 класс номер 1024. математика 6 класс 1024. математика 5 класс страница 224 номер 1024.Математика 5 класс номер 1024.Математика пятый класс номер 224Математика 6 класс номер 224. номера 224. 6 класс математика виленкин 224. математика 6 класс страница 50 номер 224.Номер 224 дидактический материал. номера 224. 224 number.Номер 1019.Номера 224.Математика 5 класс мерзляк номер 880. номер 880 по математике 5 класс. задача мерзляк 5 класс. математика 5 класс мерзляк учебник номер 880.877 математика 5 класс мерзляк. математика пятый класс номер 875. математика 5 класс мерзляк номер 875.Математика 5 класс номер 900.877 математика 5 класс мерзляк.Математика 5 класс номер 226. номера 224.Математика 5 класс мерзляк номер 880. математика 5 класс номер 880. математика 5 класс мерзляк упражнение 880. математика 5 класс виленкин номер 880.Математика 5 класс учебник мерзляк номер 879.Математика пятый класс номер 224Математика 5 класс номер 882. математика 5 класс мерзляк номер 882.Математика 5 класс номер 1020. математика упражнение 1020.Математика 6 класс номер 224. математика 6 класс мерзляк номер 224. мерзляк 6 класс математика 2014.Математика 5 класс номер 883. математика 883 номер в виленкин. 507 664-296085. математика 5 класс страница 221 номер 883.Номера по математике 5 класс.Математика 5 класс мерзляк номер 880. математика 5 класс страница 224 номер 880.Математика пятый класс номер 224Математика 5 класс номер 884. математика 5 класс мерзляк номер 884.Математика номер 882. номер 882 по математике 5 класс. математика пятый класс номер 1082.Математика 5 класс стр 224 номер 877. математика 5 класс номер 877. математика 5 класс мерзляк номер 877.Номера 224.Математика 5 класс виленкин 1019 задача. номер 1019 по математике 5 класс.Графы математика 5 класс виленкин. математика 5 класс виленкин 1990. н я виленкин фото. математика виленкин номер 871.Математика 5 класс виленкин 1040. математика 5 класс 1041. математика 5 класс виленкин номер 1041. математика 5 класс страница 161 номер 1041.Прмикпы по математике 5 класс. примеры для 5 класса по математике. примеры для 5 класса с ответами. математика 5 класс задачи.Математика 5 класс мерзляк номер 878. математика 6 класс номер 878. 5 класс математика 5 класс математика 5 класс номер 878.Математика 5 класс стр 224 номер 1023. математика 5 класс упражнение 1023.Математика пятый класс номер 224Математика шестой класс номер 1019.Математика 5 класс мерзляк упражнение 890. номера по математике 5 класс.Математика пятый класс номер 224Математика 5 класс мерзляк номер 878. математика 5 класс виленкин номер 878.Математика пятый класс номер 224Математика пятый класс номер 224Математика 6 класс виленкин 1113. математика 6 класс номер 1113.Математика 6 класс виленкин номер 1113. математика 6 класс математика номер 1113.Краткая запись задачи 5 класс по математике.Математика 6 класс номер 1042. математика 6 класс мерзляк 1042. рациональные числа 6 класс мерзляк.Математика 6 класс мерзляк номер 1040.Математика 5 класс упражнения.Математика 5 класс виленкин номер 609. математика номер 5.Математика пятый класс номер 224Математика 5 класс мерзляк номер 912 в столбик. математика 5 класс мерзляк страница 273.Выразите в квадратных метрах 6 га 56 а. математика 5 класс виленкин номер 781. номер 784 по математике 5 класс.Математика 6 класс виленкин номер 1113. математика 6 класс виленкин номер 1113 по действиям.Математика 5 класс номер 891. математика 5 класс мерзляк номер 891. решение уравнений 5 класс мерзляк.Математика 5 класс мерзляк номер 931 стр 233. математика 5 класс номер 931. математика 5 класс мерзляк. математика 5 класс мерзляк номер 931.Математика пятый класс номер 800. математика 5 класс страница 179 номер 800.Математика 5 класс номер 976.Математика 5 класс номер. математика 5 класс номер 205. математика 5 класс страница. математика класс 5 страница 205.Математика 6 класс номер 174. математика 4 класс упражнение 174.Математика 5 класс мерзляк номер 970. номера по математике 5 класс.Задачи по математике 5 класс мерзляк номер 2. мерзляк матем номер 728.Математика 5 класс виленкин мерзляков. задачи по математике 5 класс мерзляк номер 2.Математика 5 класс номер 1119. математика 5 класс виленкин номер 1119.Математика пятый класс номер 224Математика 5 класс виленкин номер 1483. математика 5 класс учебник стр 225 номер 1483. учебник по математике 5 класс виленкин номер 1483.Математика 5 класс мерзляк 873. номер 873 по математике 5 класс мерзляк. задача мерзляк 5 класс.Математика 5 класс стр 224 номер 877. математика пятого класса страница 216 номер 877.Математика 5 класс мерзляк номер 964 в столбик. математика 5 класс виленкин мерзляков.Математика пятый класс номер 224На платье для первой куклы было израсходовано 6/25 м. математика 6 класс номер 1040.Математика пятый класс мерзляк номер 977. математика 5 класс мерзляк.Математика 5 класс мерзляк решение задач уравнением. решение уравнений 5 класс мерзляк.Математика 5 класс 1483. виленкин 5 класс номер 1483. математика номер 5.Математике 6 класс виленкин номер 170. наибольший общий делитель чисел 585 и 360. найдите наибольший общий делитель чисел 585 и 360. наибольший общий делитель чисел 680 и 612.Алгебра 7 класс макарычев номер 224. алгебра 7 класс номер 224. алгебра страница 224 номер 51 7 класс.Математика 5 класс мерзляк уравнения. уравнения 5 класс по математике мерзляк. решение уравнений 5 класс мерзляк.Математика 5 класс номер 551 553. математика 5 класс номер 5.Математика 5 класс номер 1380 в столбик. математика 5 класс виленкин упражнение 1380. математика 5 класс виленкин номер 1380 столбиком.