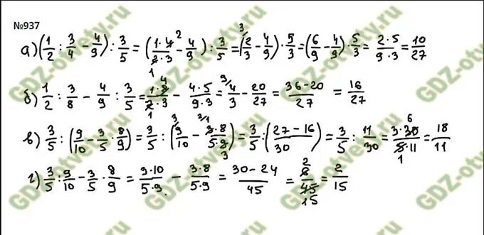
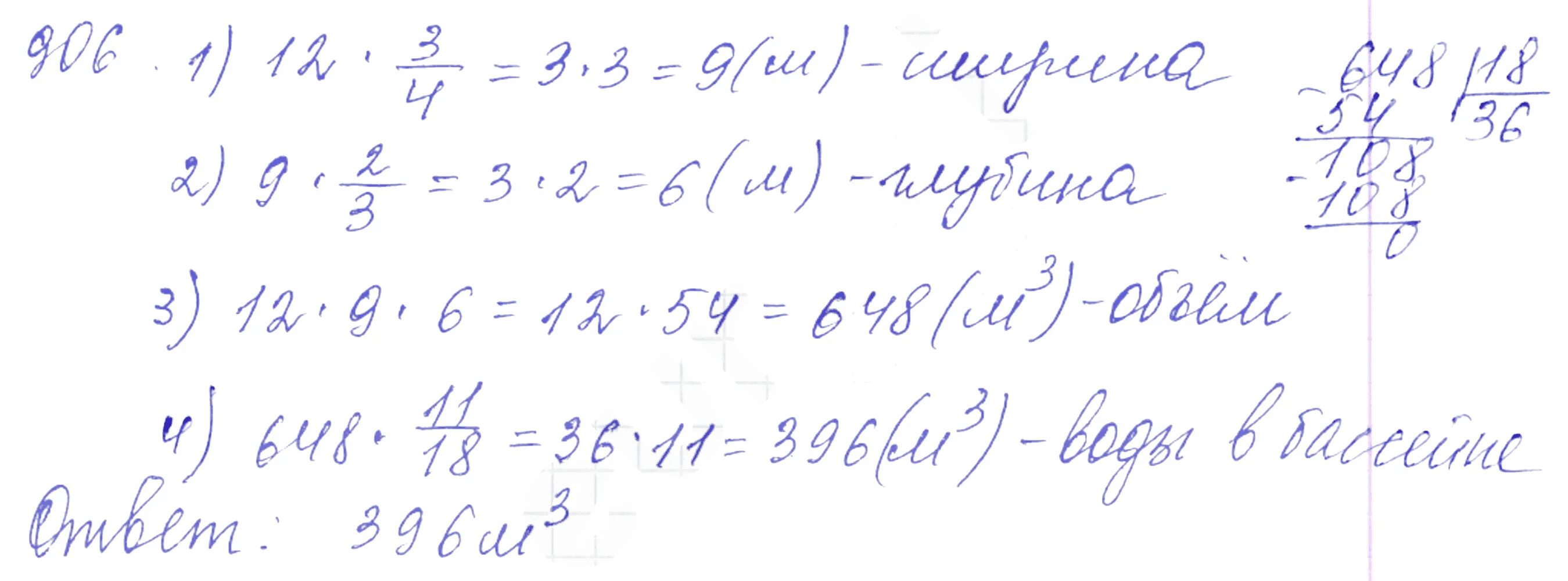
Примеры для 5 класса по математике. прмикпы по математике 5 класс. примеры для 5 класса с ответами. математика 5 класс задачи.Математика 5 класс упр 850 виленкин. математика 5 класс виленкин номер 644. математика 5 класс 2 часть номер 850. номер 371 по математике 5 класс 1 часть.Математика пятый класс номер 27. математика 5 упражнение. 27 упражнение математика 5 класс. математика страница 27 упражнение 5.Математика пятый класс 7.73275 номер по математике. математика 1 часть виленкин упражнение 816. математика 5 класс 816. математика 5 класс номер 275.Математика 5 класс никольский номер 763. 763 математика 5. матем номер 763 5 класс.Математика 6 класс номер 957. класс математика номер 957.Математика 5 класс номер 1705. математика 5 класс виленкин 1705. математика виленкин 5 класс номер 259. математика 5 класс страница 259 номер 1707.Математика 5 класс 1 часть номер. математика 5 класс номер 1. математика 5 класс номер 59. математика 5 класс номер 17.Математика 106. математика 5 класс виленкин. математика 5 класс виленкин 375. математика 5 класс номер 375.Номер 1076 по математике 5 класс. математика 5 класс мерзляк номер 1076. математика 5 класс номер 1076 виленкин. математика 5 класс страница 166 номер 1076.Математика 5 класс номер. матем 5 класс номер 460. математика 5 класс стр 124 номер 460. математика 5 класс номер 459.Математика 5 класс номер 1598. математика 5 класс виленкин 1598. математика. 5 класс. математика 5 класс номер 1569.Задача мерзляк 5 класс. мерзляк 110 5 класс. математика 5 класс мерзляк номер 386.Математика 5 класс виленкин 1357 номер. математика 5 класс учебник номер 1357. математика 5 класс страница 211 номер 1357. математика 5 класс виленкин жохов чесноков.Математика 5 класс виленкин номер 1032. класс 5 1032 математика сравните. математика 5 класс упражнение 1032.Математика пятый класс 7.73Математика 5 класс виленкин 1492. математика 5 класс виленкин номер 1492. математика 5 класс номер 1492.Математика пятый класс номер 778 мерзляк. математика+пятый+класс+мерзляк+полонский+якир+778.Математика 5 класс страница 207 номер 937. математика 6 класс номер 937. математика пятый класс никольский номер 937.Математика 5 класс виленкин 1492. номер 1492 по математике 5 класс виленкин.Номер 949 по математике 5 класс. номер 949 по математике 5 класс мерзляк. математика. 5 класс. математика 5 класс мерзляк.Математика 5 класс мерзляк.Математика пятый класс автор виленкин номер 739. математика 5 класс мерзляк. номер 739 по математике 5 класс мерзляк. математика 5 класс номер 739.912 математика 5 класс мерзляк. математика 5 класс мерзляк. математика 5 класс номер 912. номер 912 по математике 5 класс мерзляк.Математика 5 класс 2 часть 5.2 5.3.Математика 5 класс мерзляк 1117. математика пятый класс номер 1117. номер 1117 по математике 5 класс мерзляк.603 математика. 603 математика 5. математика 5 класс упражнение 603. математика 5 класс виленкин номер 603.Математика 5 класс мерзляк номер 920 в столбик. математика 5 класс мерзляк номер 970.Математика 5 класс номер 1277. математика 5 класс виленкин 1 часть номер 1277.Номер 999 по математике 5 класс мерзляк. математика 5 класс мерзляк.Математика 5 класс мерзляк номер 927. упражнения 927 математика 5 класс мерзляк. математика номер 927 мерзляк.Математика 5 класс номер 755. математика 5 класс мерзляк. матем 5 класс дорофеев номер 755.Учебник по математике 5 класс фгос. математика 5 класс дорофеева шарыгин математика. математика 5 класс дорофеев, суворова, шарыги. математика 5 класс дорофеев шарыгин фгос учебник просвещение.Математика 5 класс номер 373. математика 5 класс мерзляк номер 373. математика 5 класс виленкин номер 373 д.Примеры по математике. примеры для 5 класса по математике. примеры для 4 класса по математике. сложные примеры.Математика 5 класс виленкин номер 1004.Математика 5 класс номер 983. математика 5 класс упражнения. математика 5 класс мерзляк номер 983. математика 5 класс страница 243 номер 983.Математика 5 класс номер 1560. математика 5 класс виленкин. математика 5 класс упражнения.Математика 5 класс никольский номер 683. матем номер 683 5 класс. математика 5 класс номер 683. математика 5 класс никольский.Математика мерзляк 551. мерзляк 5 класс математика № 551. математика 5 класс номер 551. математикв 5 клачс номер551.Математика 5 класс мерзляк 873. номер 873 по математике 5 класс мерзляк. задача мерзляк 5 класс.Математика 5 класс виленкин. номер 371 по математике 5 класс виленкин. математика 5 класс номер 371. номер 371 по математике 5 класс 1 часть.Математика 5 класс виленкин номер 1391. математика 5 класс номер 1391. математика 5 класс номер п 57 0.Математика 5 номер 1011. математика 5 класс никольский номер 1011. математика 5 класс стр 222 номер 1011.Математика 5 класс 1 часть номер 371. виленкин 5 класс. номер 371 по математике 5 класс виленкин. математика 5 класс страница номер 371.919 математика 5 класс никольский. математика 5 класс никольский номер 919. страница 97 номер 5 класс математика. математика 5 класс учебник никольский.Математика 5 класс номер 627. номер 627 по математике 5 класс виленкин. 627 виленкин 5 класс 1 часть. математика 5 класс мерзляк упражнения 627.Математика 5 класс мерзляк номер 906. математика 5 класс мерзляк. формулы по математике 5 класс мерзляк. формулы по математике 6 класс мерзляк.Математика 5 класс 2 часть номер 1489. 1489 математика 5 класс виленкин. математика 5 класс виленкин номер 1489. математика 5 класс 1 часть номер 1489.657 математика 5 класс виленкин. математика пятый класс номер 657. математика 5 класс упражнения. математика 5 класс виленкин 1 часть номер 657.Номер 1488 по математике виленкин 5 класс. математика 6 класс номер 1488. математика 5 класс номер 772.Математика 5 класс номер 631. математика 5 класс 1 часть номер 158. математика 5 класс 1 часть номер 631 стр 158. математика 5 класс номер 95.Математика 5 класс виленкин номер 1107. математика 5 класс номер 5.172. математика математика пятый класс номер номер номер номер 172.Математика 5 класс номер. математика 5 класс номер 657. математика 5 класс виленкин. математика 5 класс номер 825.Математика 5 класс номер 976.Пятый класс математика мерзляк номер 242. домашние задания по математике 5 класс. математика 5 класс 1 часть номер 1.Номер 910 математика 5 класс. математика 5 класс учебник 1 часть номер 910. математика 6 класс номер 910.