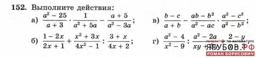
Математика выполните действия. выполните действия 5 класс. выполните действия 5 класс математика. номер 1205 по математике 5 класс.Выполните действия 8 класс алгебра. выполните действия 152. алгебра 8 класс макарычев номер 152. выполни действие 8 класс.Математика 8 класс выполните действиеВыполните действия. выполните действие выполните действие. выполните действия 8 класс. выполните действия 6,3 = 10.Математика 8 класс выполните действиеМатематика 8 класс выполните действиеВыполните действия алгебра. алгебра 8 выполните действия. алгебра восьмой класс выполните действия. алгебра восьмой класс выполни действие.Выполните действия. выполните действия ответы и решения. выполните действия 5 класс. номер 2 выполните действие.Выполните действия 58-25 +320. гдз по математике 6 класс. выполни действия 5+2 38. выполните действия.Выполните действия. выполнителействи- +;.Выполните действия 5 класс. выполните действия 5 класс математика. выполни действия 5 класс. выполнить действия 7 класс.Выполните действия примеры 9 класс. выполните действия номер 136. выполните действия номер 136 6 класс. математика упражнение 136 выполни действия 5 класс.Математика 8 класс выполните действиеВыполни действия. выполнить действие с дробями. выполните действия 3. выполни действия с дробями.Выполните действия. номер 1 выполните действия. вариант 1 выполните действия. выполнить действия 7 класс.Выполните действия.Выполнить действия 6 класс математика. выполните действия 6 класс. выполните действия математика шестой класс. в пятый класс выполните действия.Выполните действия 5+2 38. выполните действие 914+314. выполнить действие 9 14 плюс 314. выполните действия 4 1114-2 514+1 314.Выполните действия xy2-1x. выполните действия (x(x-1)-1). xy2-1x 1y-1x выполните действия. выполните действия 8 класс алгебра.Запиши результаты действий. 15 выполните действия и запишите результат в виде pq.Математика 8 класс выполните действиеВыпрлните действия7 класс. выполнить действия 7 класс. выполните действия 7 класс алгебра. выполни действия 7 класс.Выполните действия. выполните действия 22962.Выполните действие выполните действие. 196 выполните действия. выполните действия 5 класс. выполните действия 5 класс математика.Выполните действие (8аb-3a)-(2a+ab).Выполните действия 5 класс. в пятый класс выполните действия.Действия над алгебраическими дробями. действия с алгебраическими дробями задачи. алгебраические дроби примеры. действия с алгебраическими дробями 7 класс.30. выполните действия:. выполните действия 6 класс. выполните действия 4,87+32,496. выполните действие 3,87+32,496.Выполнение действий алгебра. выполните действия 7 класс алгебра. выполните действия 8 класс алгебра. как понять выполните действие примеры алгебра.Выполните действия ответы и решения.6 класс номер 249. математика 6 класс выполните действия (8,8: 1,6-3,05)*1,4. выполните действия 4 15 8 15. выполните действия 6 класс 912-415.Выполните действие 4,2 + 27,647. выполните действие (-4а²в³)*(0,5ав³)³=.Выполните действия. выполните действие выполните действие. выполнить действия 7 класс. выполнять действие рисунок.Выполните действия. выполните действия 5 класс. выполни действия 5 класс. выполни действия урок 14 6 класс.956- 715-512 314+12 по действиям. выполните действия (2 23 + 1 56) : 1 12; гдз. математика 1 второй - 5 двенадцатых. математика выполните действия.Выполните действия 3 3 3 4 2 2 5 2 1 2 3 5 6. выполните действия 16 4 5 3 9 16. 3+5(6+45)-6 по действиям решение. выполните действие 10 1 17 27 по действиям.Математика 8 класс выполните действие483 выполните действия. 483 выполните действия 956. 483 выполните действия g213.Выполните действие (2a2 -4a+2)-(11a2-5a).Выполните действия. гдз по математике 6 класс номер 414. выполните действие 91 16+3. математика 6 класс виленкин номер 414.