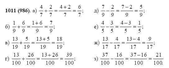
Номер 157. математика номер 157.Математика 6 класс номер 165. математика виленкин номер 157. математика 6 класс 1 часть номер 850. математика 6 класс задача 169.Математика 6 класс номер 157. математика 6 класс мерзляк номер 157.Математика 5 класс номер 620. математика 5 класс мерзляк номер 619. математика 5 класс номер 619.Математика 6 класс номер 810. номер 810 по математике 6 класс мерзляк полонский якир.Математика 6 класс номер 530. математика 6 класс мерзляк номер 529.Математика 6 класс упражнение 159. домашнее задание по математике шестой класс страница 159 упражнение 891. математика пятый класс упражнение 159 160. математика 6 параграф 160 упражнение.Домашнее задание 6 класс математика. математика шестой класс зубарева мордкович.Математика 5 класс мерзляк 620. математика 5 клаас номер 620. математика мерзляк пятый класс страница 157 номер 620.Математика 6 класс виленкин жохов номер 477. математика 6 класс виленкин 477 решение. математика 6 класса н я виленкин номер 477.Математика 6 класс виленкин номер 941. математика 6 класс мерзляк номер 941.Математика 6 класс мерзляк номер 694. номер 694 по математике 5 класс мерзляк. математика 5 класс 1 часть номер 694.Математика 6 класс виленкин 1286. математика 6 класс номер 1286.Математика 6 класс мерзляк номер 270. книга по математике 6 класс мерзляк 2025.Математика 6 класс номер 520. математика 6 класс мерзляк 520.Математика 6 класс номер 1039. математика 6 класс мерзляк номер 1039. математика 6 класс виленкин 1 часть номер 1039.Номер 626 по математике 5 класс. математика 5 класс мерзляк номер 626. математика 5 класс страница 157 номер 626.1058 математика 6 класс мерзляк. математика 6 класс мерзляк задачи. математика 6 класс номер 1058.Математика 5 класс номер 157. математика пятый класс страница 157 номер. математика 5 класс 1 часть страница 157.Номер 626 по математике 5 класс. математика номер 626 5 класс 1 часть виленкин. математика 5 класс страница 157 номер 626.Математика 6 класс мерзляк 770. математика 6 класс номер 780. математика шестой класс номер 773.Математика 6 класс зубарева. учебник по математике 6 класс зубарева. математика 6 класс зубарева учебник.Математика 5 класс номер 625. математика 5 класс мерзляк номер 625. математика 5 класс стр 92 номер 625.Математика 5 класс номер 625. матем 5 класс мерзляк номер 625.Математика 6 класс мерзляк номер 1069. алгебра 7 класс номер 1070.Номер 649 по математике 6 класс мерзляк. математика 6 класс мерзляк 1014.Математика 6 класс номер 899. математика 6 класс мерзляк номер 899. математика пятый класс номер 899.Математика 6 класс номер 982. математика 6 класс стр 210 номер 982.Номер 1011. математика 6 класс номер 1011. математика пятый класс номер 1011.Математика пятый класс мерзляк номер 627. математика 5 класс мерзляк страница 158 упражнение 627.Математике 6 класс виленкин номер 244. математика шестой класс номер 244.Математика 6 класс виленкин дроби. математика 6 класс номер 297. математика 6 класс виленкин номер 297. математика #297.Математика 6 класс виленкин номер 1306. математика 6 класс номер 1306.Повторение 6 класс математика мерзляк. математика 6 класс 3 глава. математика 6 класс мерзляк номер 814. мерзляк 6 класс математика глава 3.Математике 6 класс виленкин 2 часть. 459 математика 6 класс виленкин 2 часть. математика 6 класс виленкин номер 722.Математика 6 класс номер 296. домашнее задание по математике 6. математика 6 класс мерзляк номер 296. математика 6 класс номер 74.Математика номер 265. математика 6 класс номер 266. математика 6 класс параграф 11. математика 6 класс 3 параграф.Математика 6 класс мерзляк 453. математика 6 класс мерзляк номер 451.Математика номер 580. 580 по математике. математика 5 класс 1 часть номер 580.Математика 5 класс номер 860. математика 5 класс номер 220. математика 5 класс учебник 2 часть номер 860.Математика шестой класс номер 967 мерзляк. математика 6 класс мерзляк номер 967 стр 210.873 математика. математика 6 класс 1 часть номер 873.Математика 6 класс мерзляк 589. шестой класс мерзляк упражнение 589.Математика 6 класс мерзляк 1034.Математика 6 класс мерзляк номер 1068. математика 6 класс мерзляк 1069.Математика 6 класс виленкин номер 1306. математика 6 класс домашнее задание номер 1306. математика 6 класс номер 1306(а-г).Математика 6 класс номер 333. математика 5 класс номер 333. 333 математика 6 класс виленкин. математика 6 класс виленкин номер 332.Математика 6 класс виленкин номер 1232. математика 6 класс номер 1232. математика 6 класс вопросы и ответы.Математика 6 класс мерзляк номер 1157 решение. математика 6 класс номер 1157.Математика 4 класс 1 часть стр 5. математика 4 класс 1 часть номер. математика 3 класс 1 часть стр 6.