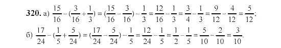
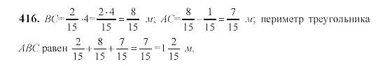
Математика 6 класс виленкин жохов упражнение 416. математика 6 класс виленкин жохов чесноков. математика 6 класс учебник виленкин жохов. математика 6 класс жохов чесноков.Математика 6 класс номер 2 416Математика 6 класс номер 2 416Математика 6 класс виленкин 1305. гдз по математике 6 класс номер 1305. гдз по математике 6 класс виленкин номер 1305. математика - 6 класс, виленкина, номер 1305.Математика 6 класс виленкин 416. гдз по математике 6 класс виленкин номер 416. гдз по математике 6 класс номер 421. гдз по математике 6 класс номер 416.Математика 6 класс номер 2 416Математика 6 класс виленкин номер 846. математика 6 класс виленкин номер 846 б. математика 6 класс виленкин гдз номер 846. математика 6 класс виленкин 1 часть номер 846.Математика 6 класс виленкин 426. математика класс 6 упражнения 416. математика 6 класс виленкин 568. номер 416 по математике 6 класс виленкин.Математика 6 класс номер 2 416Математика 6 класс номер 2 416Математика 6 класс виленкин 417. математика 6 класс номер 417. гдз по математике номер 417. гдз по математике 6 класс виленкин номер 417.Математика виленкин номер 1081. гдз по матем 6 класс номер 1081. гдз по математике 6 класс виленкин номер 1081. математика 6 класс номер 192.Гдз по математике 6 класс номер 417. математика 6 класс виленкин 417. гдз по математике 6 класс виленкин 417. математика 6 класс виленкин номер 417.Математика 6 класс номер 2 416Гдз по математике 6 класс зубарева 1028. математика 6 класс зубарева мордкович номер 1029. математика 6 класс зубарева номер 427. гдз по математике 6 класс зубарева 1040.Математика 6 класс номер 585. математика 5 класс номер 585. математика 6 класс никольский номер 585. математика 6 класс номер 585 виленкин.Математике 6 класс виленкин №400. математика 6 класс виленкин номер 400. гдз по математике шестой класс виленкин номер 400. гдз математика виленкин 6 класс номер 400.Математика 6 класс вариант 2. математика 6 класс чесноков вариант 2. гдз по математике 6 класс вариант 2. чесноков 6 класс дидактический материал.Математика 6 класс номер 2 416Математика 6 класс номер 2 416Математика 6 класс номер 2 416453 математика 6 класс виленкин. математика 6 класс номер 439. математика шестой класс номер 436.Математика 6 класс номер 2 416Математика 6 класс номер 2 416Математика 6 класс номер 1. математика 6 класс номер 2.1. математика 6 класс страница. гдз по математике 6 класс номер 260.Математика 6 класс номер 2 416Математика 6 класс номер 2 416Математика 6 класс номер 2 416Математика шестой класс виленкин номер 366. гдз по математике 6 класс виленкин. гдз по математике 6 класс виленкин 366. гдз математика 6 класс виленкин номер 366.Математика 6 класс номер 2 416Математика 6 класс номер 2 416Математика 6 класс номер 2 416Математика 6 класс номер 2 416Математика 6 класс бунимович задачник. задачник по математике 6 класс бунимович. математика 6 класс бунимович задачник гдз. гдз по математике 6 класс бунимович задание.Математика 6 класс номер 2 416Математика 6 класс номер 2 416Математика 6 класс номер 2 416Математика 6 класс номер 436. математика 6 класс виленкин номер 436. математика 6 класс упражнения. гдз математика 6 класс.Математика 6 класс номер 2 416Математика 6 класс номер 2 416Математика 6 класс номер 2 416Гдз 5 класс математика номер 415. математика 6 класс номер 415. математика 5 класс номер 415 страница 69. математика 5 класс виленкин задача 415.Математика 6 класс номер 2 416Математика 6 класс номер 2 416Математика 6 класс номер 2 416Математика 6 класс номер 2 416Математика 6 класс номер 2 416Гдз по математике 6 класс номер 540. математика 6 класс никольский 540. математика 6 класс номер 244 страница. номер 504 по математике 6 класс никольский.Математика 6 класс номер 2 416Математика 6 класс виленкин. математика 6 класс виленкин 1. гдз по математике 6 класс номер 421. математика 6 класс виленкин упражнение.Математика 6 класс номер 2 416Математика 6 класс номер 2 416Математика 6 класс номер 2 416Математика 6 класс виленкин гдз 574. виленкин, математика, номер 574. номер 574а 6 класс виленкин. математика 6 класс виленкин номер 574.Математика 6 класс номер 2 416Математика 6 класс номер 2 416Задачи 6 класс виленкин. математика 6 класс виленкин жохов чесноков учебник. учебник по математике 6 класс виленкин жохов 1 часть. математика 6 класс жохов дробь.Математика 6 класс виленкин номер 846. математика 6 класс виленкин номер 846 б. гдз по математике 6 класс виленкин. математика 6 класс номер 852.Математика 6 класс номер 2 416Математика 6 класс номер 2 416Математика 6 класс номер 2 416Математика 6 класс номер 2 416Математика 6 класс виленкин 417. 417 математика 6 класс виленкин жохов. математика шестой класс виленкин номер 417. упражнение 417 по математике 6 класс виленкин.Математике 6 класс виленкин 1342. виленкин математика 6 класс гдз 1342. математика 6 класс виленкин номер 1342. гдз по математике виленкин шестой класс номер 1342.Математика 6 класс номер 2 416Номер 804 шестой класс никольский. гдз по математике 6 класс никольский 804. номер 804 по математике 6 класс никольский. математика 6 клас номери101.Гдз по математике 6 класс виленкин номер 953. математика 6 класс виленкин 953. математика шестой класс виленкин номер 953 шестой класс. готовые домашние задания по математике 6 класс виленкин.Алгебра 7 класс макарычев номер 416. алгебра 7 класс миндюк номер 416. гдз по алгебре 7 класс макарычев номер 416. номер 416 по алгебре 7 класс макарычев.Математика 6 класс номер 2 416Математика 6 класс никольский упражнение 320. математика 6 класс номер 319.Математика 6 класс номер 2 416Математика 6 класс номер 2 416Математика 6 класс номер 2 416