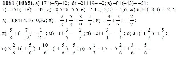
Математике 6 класс виленкин номер 254. математика 6 класс номер 1.Математика шестой класс виленкин номер 1081. математика 6 класс виленкин 1081.Математика 6 класс виленкин номер 1174. домашнее задание 6 класс математика.Математика 6 класс номер 1.78 решениеМатематика 6 класс 633. математика 6 класс виленкин номер 633. математика 6 класс виленкин учебник номер 633.Математика 6 класс номер 1.78 решениеМатематика 6 класс номер 1.78 решениеМатематика 6 класс номер 1.78 решениеМатематика 6 класс номер 1.78 решениеМатематика 6 класс номер 1.78 решениеМатематика 6 класс номер 1.78 решениеМатематика 6 класс номер 1.78 решениеМатематика 6 класс номер 473. математика 6 класс виленкин задачи. жохов математика 6 класс виленкин номер 478. математика 6 класс упражнение 473 виленкин.Математика виленкин упражнение 722.Шпаргалки по математике 6 класс мерзляк. математика 6 класс мерзляк параграф 24. математика 6 класс номер 1138 решение.Математика 6 класс виленкин номер 446. домашнее задание по математике 6.Математика 6 класс номер 1.78 решениеМатематика 6 класс номер 1.78 решениеРешение задач 6 класс мерзляк. математика 6 класс мерзляк номер. математика 6 класс решение. уравнения 6 класс по математике мерзляк.Математика 6 класс виленкин 92. математика 6 класс номер 92. математика 6 класс виленкин номер 92.Математика 6 класс номер 1.78 решениеМатематика 6 класс виленкин номер 758.Математика 6 класс номер. математика 6 класс виленкин. математика 6 класс виленкин номер 1016.Математика 6 класс номер 384. математика 6 класс номер 907. математика 5 класс номер 384. математика 6 класс 386.Математика 6 класс номер. математика 6 класс номер 1037. математика 6 класс виленкин 148.Математика 6 класс виленкин номер 1109 стр 188. математика 6 класс номер 220.Математика 6 класс номер 1.78 решениеМатематика 6 класс виленкин номер 477. математика 6 виленкин.Математика 6 класс номер 1.78 решениеМатематика 6 класс виленкин номер 1254. математика шестой класс виленкин упражнение 1254.Математика 6 класс виленкин номер 414. математика 6 класс (виленкин н.я.), издательство мнемозина. математика 6 класс виленкин 2.419.Математика шестой класс виленкин номер 1229. математика 6 класс виленкин номер 1226. математика 6 класс виленкин номер 1206. номер 1226 по математике 6 класс.Номер 332. математика 6 класс виленкин. виленкин 337 математика 6. математика 6 класс номер 332.Домашнее задание по математике 6 класс. домашние задания по математике 6 класс.Матем номер 294. математика 6 класс виленкин номер 294. математика шестой класс упражнение 294.Математика 6 класс номер 1.78 решениеМатематика 6 класс номер 1.78 решениеМатематика 6 класс виленкин 513 514. математика 6 класс виленкин номер 1. математика 6 класс виленкин номер.Математика 6 класс номер 1.78 решениеМатематика 6 класс номер 1.78 решение