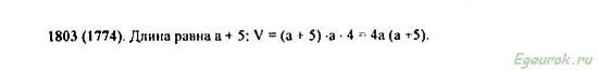
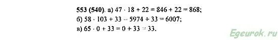
Математика 5 класс 1 часть номер 291. гдз по математике 5 класс номер 291. математика 5 класс 1 часть страница 59 номер 291. гдз по математике 5 класс 1 часть номер 291.Математика 5 класс виленкин номер 1140. математика 5 класс часть 1 страница 178 номер 1140. 5 класс математика номер 1140 и решение. математика 5 класс часть 2 гдз 1140.Гдз по математике 5 класс. математика 5 класс виленкин. математика 5 класс виленкин 2 часть. математика 5 класс виленкин номер 291.Номер 291 по математике 5 класс мерзляк. гдз по математике 5 класс мерзляк номер 291. гдз по математике 5 класс номер 291. гдз по математике 6 класс номер 291.Гдз математика 5 класс виленкин номер 1117. математика 5 класс номер 1117. математика 5 класс виленкин жохов. уравнения 6 класс по математике виленкин.Математика 5 класс виленкин номер 291. задача номер 291 математика 5 класс. математика 5 класс номер 1870. математика 5 класс виленкин номер 291 краткая запись.Гдз по математике 5 класс виленкин 1 часть номер 1685. математика 5 класс номер 1685. математика 5 класс виленкин стр 255 номер 1685. гдз математика пятый класс виленкин номер 1685.Математика 5 класс виленкин 2 часть учебника номер 1524.627 гдз. гдз математика 5 класс номер 627 часть 1. ответкин 5 класс математика. математика 6 класс виленкин 2 часть номер 627.Гдз по математике 5 класс виленкин 1263. математика 5 класс номер 1263. гдз по математике 5 класс виленкин 1 часть номер 1263. матем 5 класс 1 часть виленкин номер 1263.1223 математика 5 класс виленкин. гдз по математике 5 класс виленкин номер 1223. математика 5 класс номер 1223. номер 1223.Математика 5 класс виленкин номер 3.291Гдз по математике 5 класс номер 647. уравнение 5 класс по математике виленкин. математика 5 класс виленкин уравнения. математике 5 класс номер 3 н.я виленкин.Математика 5 класс виленкин номер 843. математика 5 класс номер 843. математика 5 класс виленкин 1 часть номер 843. математика 5 класс виленкин номер 843 решение.Математика 5 класс виленкин 1643. гдз по математике 5 класс виленкин номер 1643. матем 5 класс номер 1643. математика 5 класс номер 1641,1643.115 выполните действия 1 229 372 286 506 2 282 370 302 85. выполни действия 5 класс математика. математика 5класм номер 964. математика 5 класс номер 964.Математика 5 класс виленкин номер 1487. математика 5 класс номер 1487. в цистерну через две трубы налили 2.28 т. математика 5 класс номер 1486.Домашнее задание по математике 5 класса номер 535. гдз по математике 5 класс виленкин номер 1133. математика 5 класс виленкин номер 1692. математика 5 класс виленкин столбиком.Математика 5 класс номер 1835. математика 5 класс номер 1836. математика 5 класс часть 1 номер 1836. математика 5 класс виленкин номер 1835.Математика 5 класс номер 1733. гдз по математике 5 класс виленкин номер 1733. математика 5 класс 2 часть номер 643. математика 5 класс виленкин 643.124:(у-5)=31. (x-12)*8=56. уравнения 5 класс виленкин. уравнение 5 класс по математике виленкин.1829 математика 5 класс виленкин. гдз по математике 5 класс номер 1829. математика 5 класс виленкин номер 1522. гдз по математике 5 класс виленкин номер 1535.Гдз по математике 5 класс упражнение 1834. 5124-4267 23-5200 325. 1834 математика 5 класс виленкин. гдз по математике 5 класс виленкин номер 1834.Математика 5 класс великин номер. математика 5 класс номер 855. математика 5 класс виленкин номер 855. математика 5 класс виленкин номер.Математика 5 класс номер 1070. кусок джинсовой ткани разрезали на равные части. гдз по математике номер 1070. кусок джинсовой ткани разрезали на равные части из 3.Математика 5 класс виленкин номер 1830. математика 5 класс номер 1830. 1831 математика 5 класс виленкин. виленкин номер 1830 задача.Гдз по математике номер 353. математика 5 класс номер 353. математика 5 класс виленкин 2 часть номер 353. математика 5 виленкин жохов.Гдз по математике. гдз математика пятый класс. математика 5 класс номер 1745 в столбик. математика 5 класс номер 1745 в г.Уравнение 5 класс по математике виленкин. математика 5 класс виленкин уравнения. уравнения 5 класс виленкин. решение уравнений 5 класс математика виленкин.Математика виленкин номер 553. математика 5 класс виленкин номер 553. номер 553 по математике 5 класс. математике 5 класс упражнение 553.1354 номер по математике 5 класс виленкин. гдз по математике 5 класс виленкин номер 1443 столбиком. математика 6 класс номер 1354. математика пятый класс виленкин номер 1540.Математика 5 класс виленкин номер 3.291Математика 5 класс номер 1339. математика 6 класс номер 1339. номер 1339. гдз по математике 6 класс номер номер 1339.Математика 5 класс виленкин номер 1830. математика 5 класс номер 1831. математика 5 класс номер 1830. гдз по математике 5 класс виленкин 1831.1803 виленкин 5 класс. математика 5 класс номер 1803. номер 1803. математика 6 класс виленкин номер 1280.Математика 5 класс виленкин 1137. математика 5 класс номер 1137. математика 5 класс виленкин 2 часть номер 288. виленкин 5 класс математика гдз номер 1137.Математика 5 класс номер 330 решение. гдз по математике 5 класс виленкин номер 330. математика 5 кл 1063. гдз по математике 5 класс виленкин.Виленкин 591а. найдите значение выражения наиболее удобным способом. математика 5 класс 1 часть номер 591. номер 591 по математике.Математика 5 класс виленкин номер 3.291Математика 5 класс номер 1118. гдз 5 класс математика номер 1118. математика 5 класс виленкин 1118. математика 5 класс страница 175 номер 1118.Математика 5 класс номер 1596. математика 5 класс часть 2 номер 1596. математика 5 класс виленкин 1 часть номер 1596. математика 5 класс страница 241 номер 1596.Математика 6 класс виленкин номер 308. математика виленкина шестой класс номер 303. гдз по математике 6 класс номер 303 виленкин жохов чесноков шварцбурд. математика 6 класс виленкин 1 часть номер 3,1.Математика 5 класс номер 1739. математика 5 класс виленкин номер 1685. математика 5 класс виленкин номер 263. математика 5 класс виленкин стр 255 номер 1685.Математика 5 класс виленкин гдз 1375. гдз по математике 5 класс виленкин номер 1375. математика 5 номер 1375. гдз по математике 5 класс виленкин 1375 столбиком.Математика 5 класс виленкин учебник номер 627. гдз математика 5 класс номер 627. математика 5 класс номер 630. виленкин 5 класс математика 627 столбиком.Математика пятый класс упражнение 1652. математика 5 класс виленкин 2 часть номер 251. математика 5 класс 1 часть номер 252. математика 5 класс виленкин страница 252.Математика 5 класс 1435 виленкин. математика 5 класс номер 1435. математика 5 класс виленкин 1435 решение. математика 5 класс страница 219 номер 1435.Гдз по математике 5 класс номер 293. математика 5 класс номер 293 виленкин. математика 5 класс 1 часть страница 58 номер 293. гдз по математике 5 класс виленкин 1 часть номер 293.Математика 5 класс номер 1211. гдз по математике 6 класс номер 1211. гдз по математике 6 класс виленкин 1211. математика 5 класс виленкин 1 часть номер 1211.Математика 6 класс виленкин номер 1463. математика 6 класс номер 1463. гдз по математике 6 класс. математика 5 класс виленкин номер 1463.396 математика 5 класс 1 часть виленкин. домашнее задание по математике 5 класс номер 396. гдз по математике 5 класс 1 часть номер 396. гдз по математике 5 класс виленкин 1 часть номер 396.1107 математика 5 класс виленкин. математика 5 класс мерзляк номер 1107. гдз по математике 5 класс виленкин 1107. математика 5 класс виленкин номер 1107.Математика виленкин номер 1601 5 кл. матем 5 класс номер 1601. виленкин 5 класс номер 1601. гдз по математике 5 класс виленкин номер 1601.Математика 5 класс виленкин гдз 1375. учебник по математике 5 класс виленкин номер 1340. математика 5 класс виленкин упр 1340. гдз по математике 5 класса виленкин упражнение 1375.Математика 5 класс виленкин 1603. номер 1603 по математике 5 класс виленкин. номер 1603 по математике 5 класс. гдз по математике 5 класс виленкин номер 1603.Математика 5 класс виленкин номер 1703. номер 1703 по математике 5 класс. математика 5 класс виленкин номер 1685. математика 5 класс страница 255 номер 1685.Математика 5 класс виленкин номер 3.291Математика номер 1596. домашнее задание по математике 5 класс виленкин. математика 5 класс виленкин номер 1596.Математика 5 класс виленкин номер 3.291Стр 91 математика 5 класс. математика 5 класс 1 часть виленкин номер 2.55. математика 5 класс мерзляк номер 233. гдз по математике 5 класс виленкин номер 478 1 часть.Математика номер 235. математика 6 класс номер 235. гдз по математике 6 класс виленкин 235. математика 6 класс виленкин номер 236.Математика 5 класс виленкин 1 часть. математика 5 класс учебник 1 часть номер 578. математика 5 класс виленкин 1 часть номер 578. гдз по математике 5 класс виленкин 1 часть 2019.Математика 5 класс виленкин номер 1001. математика 6 класс номер 999. номер 1001 по математике 5 класс. математика 5 класс виленкин номер 1001 страница 154.Виленкин 5 класс задачи. математика 5 класс номер 1351. 1351 математика 5 класс виленкин. решение задач по математике 5 класс виленкин.Гдз по математике 5 класс номер 668. гдз по математике 5 класс виленкин. математика 5 класс виленкин номер. гдз по математике номер 668 пятый класс.Математика пятый класс часть первая номер 456 гдз.Математика 5 класс виленкин номер 1198. гдз по математике 5 класс н я виленкин. математика 5 класс 2 часть номер 1198. математикам 5 класс номер 1198.