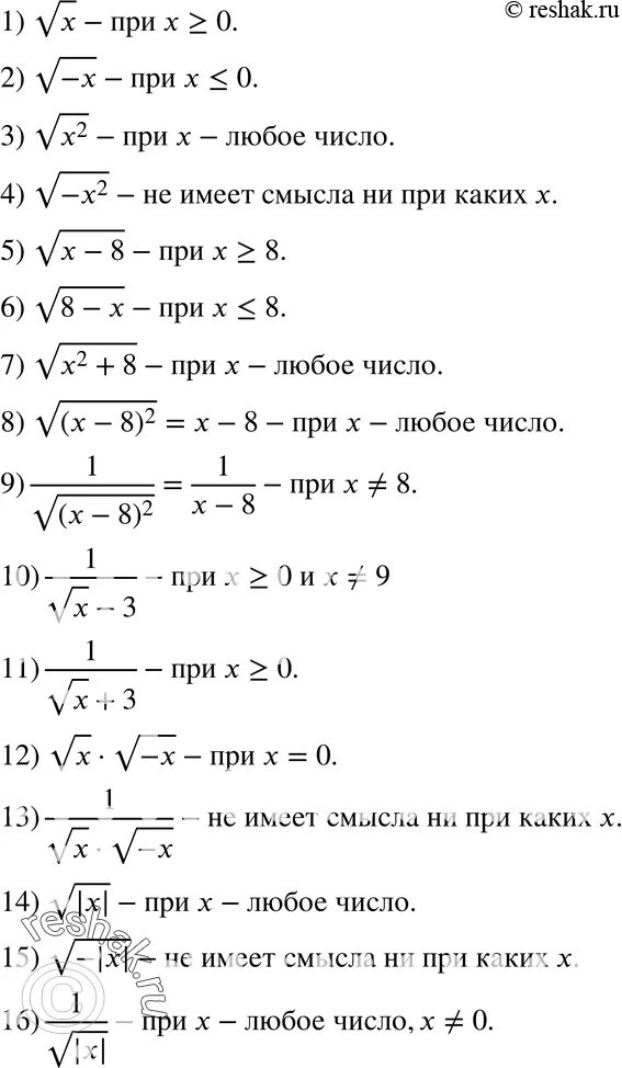
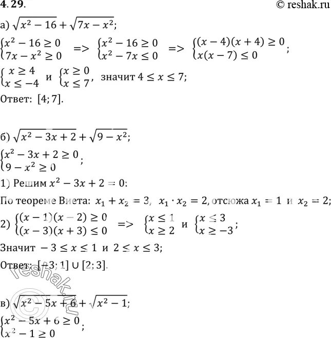
5 корень 2x2-3x+1-5 корень x 2-3x+2=0. корень из x^2. y=корень2x+1. 3 корня из x.Корень x+5. корень 5-4x=2-x. корень x+1=x-5. корень x+5=x+7.Корень x 2 6x 4Корень x 2 6x 41. найдите корень уравнения. x^2+2x+1=0 корень уравнения. 0x 0 корень уравнения. корень(x+4)^2+корень(x-6)^2.Корень x-2. решить уравнение корень x-2 +. корень x^2+x-2=2. x2-2x+корень 2-x.Корень из x+2=3. 3 корня из x. корень 3x-2>2x-1. y 2 3x корень из x 3x+1.Решите нерав корень x+2 - корень 2x-1 больше корень x-2. решите неравенство корень 2x+3. решить неравенство x>корень из+2. 2x^3+x+корень из 2=0.Корень x 2 6x 4Корень 1-x x+1. корень x+2 - 2x-1 корень x-2. x 1 корень 6+2x. корень x на корень x.Корень x2-2x+1 корень x2+x x2+x-1. x2-2x+корень 2-x корень 2-x+3. корень x 2 корень 2x-3. корень 2-x=x-2.Корень x2-6x < 8+2x. корень 6x-8>x. корень x+12<x. (8x+x2) корень из x.Предел функции lim 3x2 - 2x-1 x2-4x+3. вычислить пределы lim(7x3-4x+2). lim x2-2x-3x2-3x-4. lim x - 4 корень3x-3-3 2-х кореньх.X 2 − ( x − 4 ) ( x + 4 ) = 2 x ответ. y = –2x^2 + 4x – 1 уравнение. x^2+2x+1=0 корень уравнения. решение уравнений 5x-9=2.3x+1.Отрицательный корень уравнения. найдите наибольший отрицательный корень уравнения. найти наименьший корень уравнения. наименьший отрицательный корень тригонометрического уравнения.2sin 3x-п4 -корень из 2. 2cos 2x 4п корень из 3. 2sin п 3 x 4 корень из 3. 2cos x 2 п 6 корень из 3.Корень x 2 6x 4Корень уравнения (0,8-4х)(5х+5,5). корень x^2-5x+1>5. 0,22х+4=0,5х-6. 2х-76-4х=0,50,8.Корень 3x+4-корень x равно 2. неравенство корень квадратный из 4-3x меньше x+2. x-корень из 2x^2-2x-4=2. 2 корень x+x+x=2.X2-9x+ корень 9-x=корень 9-x+70. 3кореньх-5 =3. корень x-2 + корень x-6. корень x2 - 16 +x в корне =2.Умножение на сопряженное уравнение. икс в квадрате под корнем. уравнение корень из х. метод умножения на сопряженное выражение.Корень 2х+1 равно 2 корень х - корень х-3. х2 2х корень 4-х корень 4-х 15. корень из 3х+4 корень из х = 2. корень квадратный из х-2 =3.2cos(п3-x4) = -корень из 3. cos 2 3x корень 22. cos3x корень из 22. cos x корень 3.Y= корень x-3x*25. корень(x+4)^2+корень(x-6)^2. y=корень 2x-3x. y=x-корень из -2x+5.Cos pi x 2 6 корень из 2 2. 2cos x 2 p 6 корень из 3. cos x 3 п 6 корень 2 2. cos pi x 6 корень из 32.Корень из x 5 корень из x-5. корень x-2=5. у=корень из 5x-x:2. корень из 5 + 2x=.4 корня из х х+2 = 0. корень 5-4х=3,2. корень 2х-6 + корень х+4. найдите корень уравнения 2х+4=6.6cos2x-cosx-2 корень -sinx. sin2x+корень из 3 cos2x 2cos6x. cos 6 3x -корень 22. sin3x корень из 32.Корень x 2 6x 4График функции y корень x-2. функция y корень из x +2. функция корень из x +2. график функции y корень из x +2.Корень их x+4 (8-3^2+x^2) 4^x-1 -3 решение. (корень 5 + 2корень6)^x + (корень 5 - 2корень6)^x = 10. (3корень10 +1)(корень5корень8 +корень5. x2-8x=корень 8х-1.Корень 3x 4 корень x 4 2 корня из x. (корень из 3+1) х>4+2корня из 3. корень из 3х+4 корень из х = 2. корень из 3х в 2 степени.Корень х=2-х. 4 корня из х. у 2 корень из х. корень из x=4.Y=корень 9-x2. y корень x-9. (2x+3y)^2-3x(43x+4y) при х = -1,038 , y = корень 3. y=корень из 4+9x.Корень из х-2 (4-3 х-1)2 1-x2. корень 4x+3 = корень x^2+x-1. x2-2x+корень 4-x корень 4-x+15. корень 4х+3 = корень 4х² +5х-2.У 2 корень из х. корень из 3х +1 - корень из х+4 =1. у=корень х. 4 корня из х.Найдите область определения функции корень из x-2x+1. найдите область определения функции y корень x+2. область определения функции y= корень из 6-2х. найдите область определения функции f(х)=2 корня из х -2.Что такое наименьший корень уравнения и примеры. sin x корень из 2 2 решение уравнения. cos2x+корень из 2sinx+1 0. как найти наименьший положительный корень уравнения.2 cos x 2 пи 6 корень из 3. решить уравнение 2cos(pi4-x)=2^(12). cos x 3 pi 4 корень 2 2. cos 6 3x -корень 22.Lim x 6 x-6корень x+3-3. lim x стремится к 6 x-6корень из x+3-3. lim 6-x3-корень из x+3. lim x стремится к 5 5-x3- корень 2x-1.