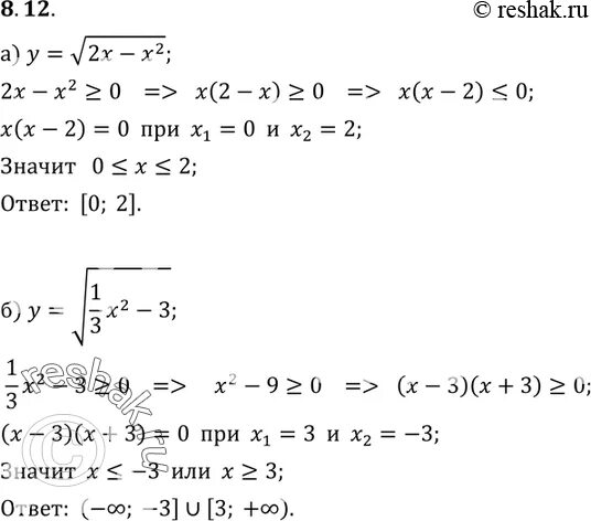
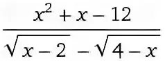
Корень уравнения. уравнение имеет корни. уравнение имеет 1 корень.1. найдите корень уравнения. x^2+2x+1=0 корень уравнения. 0x 0 корень уравнения. корень(x+4)^2+корень(x-6)^2.Корень из (x^2 - x)^2 / x. x1 и x2 корни. корень x2-1. корень x+2-2/корень x+2 1.Корень x 1 12 2xКорень x 1 12 2xКорень 3x+4- корень x 2. корень 3-x= корень 5x 2. 3 корня x = 12. корень(3x^2-2x-2)=корень(4x^2-5x).Корень x 1 12 2x(х-9)^2< корень2(2х-9). корень х+2=-2. корень х-2 больше или равно х-2. корень из 7-3x меньше или равно х-1.Корень из x-2 корень из x-1. корень x+2-2/корень x+2 1. корень x2-2x+1 корень x2+x /x2+x-1. корень 2x+1 - корень x = 1.Корни уравнения x2-4х-32=0. корень уравнения x*x-2=14. найдите корень уравнения 7x-5(х+1)=-2x. найдите корень уравнения 2х+4/х+7 0.Уравнение корень из х. квадратное уравнение с корнями 1 и 2. меньший корень квадратного уравнения. решение уравнения корень из х.Корень уравнения. решение уравнений. решение уравнений с двумя корнями. решение уравнений под корнем.Вариант 1 решить уравнения 1/ x^2+4x -. корень уравнения (4x+6)(-x-1)=0. решите уравнение (x+3)(x-3)-x(x+4)=0. корень (2x/x+1 ) - 2 корень (x+1/2x.Корень x 1 12 2xОбласть определения функции с корнем. найдите область определения функции корень x. найдите область определения функции с корнем. область определения функции y = 2√x -3.Область определения функции корень х. найдите область определения функции с корнем. область определения функции корень из х 2. 4. найти область определения функции.5 корень 2x2-3x+1-5 корень x 2-3x+2=0. корень из x^2. y=корень2x+1. 3 корня из x.Синус x 1/2 решение. cos x корень из 2 /2. решите уравнение cos2x 2sinx+1. укажите корень уравнения cosx 1/2.Корень из степени. корень нечетной степени из отрицательного числа. корень из числа в степени. квадратные корни и степени.Корень x 1 12 2xКорень x-2. решить уравнение корень x-2 +. корень x^2+x-2=2. x2-2x+корень 2-x.Корень из x-2 корень из x-1. корень из х+2 корень из х-1 корень из х-2 корень х-1 2. корень из 12+х-корень из 1-х 1. у 2 корень из х.Корень x 1 12 2xКорень x 2 2x 1 корень x 2 x. корень из x2-2x+1 + корень из x2+2x+1. x2-2x+корень из 4-x=4-x+15. корень x^2 -x-2(x-1)>0.Корень уравнения x^2-4x+4=0. найдите корни уравнения [5-2x}=11. 2x+1/3-4x-x2/12 x2-4/9. x1 = -b + корень d / 2a.F x x2 корень 1+x. f(x) = (3x+1) корень x. f x x 3 2 корень x. f'(x)= корень 2 (x+2).Корень 3x-2 = 4x-3. корень из 2x+5-4=x-3. б) √ 2 x + 4 < 3 x − 2 .. 2x в квадрате деленная на x-2=4x:x-2.Найдите область определения функции у= корень из 4+х. y корень 2x +1/x2-4. y 4 корень из x +1. y 4корня из x 1 +2.Корень x 1 12 2xКорень x 1 12 2xНайдите область определения функции y корень x+2. найдите область определения функции y корень 3-x. найдите область определения функции корень 2+2-. найти область определения функции корень y^2-x^2.Корень из 3x - 1 - корень x + 2 = 1. решение уравнения квадратный корень из ( x + 2 )= -1. кореньx^2-2x+1-кореньx^2+x/x^2+x-1<0. корень из x^12.Корень x+2=3. корень x^2+2x-кореньx = корень 3-кореньx. корень 2x корень x-3 -1. корень 10x-12=3.При каком значении а уравнение. уравнение корень из х. корень уравнения равен. корень уравнения х2 равно х.X-9=-2x найдите корень уравнения. найдите корень уравнения √12 −x =x. x 5/12 корень. найдите корень уравнения 3(2-x)+2x=3x-4.(x^4+1)/x^2+x корень из x2. int 2 0 (2x^3-x-1) dx. dx/корень 1-x 2. 5x6 2- 3x4 3 2x12 при x корень из 31 -2.Корень квадратный 5-x корень квадратный x-2. квадратный корень из 3x^2-9x-26 = 12+3x-x^2. квадратный корень из x-2 2x -5. корень x^2+2x- корень x=корень 3- корень x.Корень x2 +5x+2 - корень x2-3x+3=3. y= корень 5x-2x. корень x^2+x-2=2. 5 корень x 2 корень x 2 корень x x.Уравнение корня из x. y=(5x^4-2/ x корень из x +3)^2. корень x-1/x+корень x/x-2x+5. x2 y 3 корень x2.Lim x-2/корень x+2. корень из x^2-4x+4 - корень из x^2+x. x2-x-12 2/x+корень из 13. lim х стремится к 2 2+х/под корнем+2.Решите нерав корень x+2 - корень 2x-1 больше корень x-2. решите неравенство корень 2x+3. решить неравенство x>корень из+2. 2x^3+x+корень из 2=0.Ctg pi/2+x корень из 3. ctg x 2 -корень из 3. ctg(п/2+x). ctg 2 2п-а.Корень из 3х-5+корень из х-2 = 3. корень х-2(4-3х-1)/2^1-x^2-3. (1/6)х в степени =36. корень 5 степени х2+равно 5.Как решать уравнения под корнем. как решать уравнения с корнем под корнем. как решаются уравнения с корнями. корень из x = 2 иррациональные уравнения.Х1 и х2 корни уравнения. корни уравнения 0х=0. х2-2=х найдите корни уравнения. 1/1+1/х=2 корень уравнения.Интеграл dx/x корень из x^2+5x+1. интеграл 6x^5/x^2 dx =6x. интеграл x^2^:корень 1- x^6 dx. интеграл (x-1)dx/корень 4-9 x^2+9x.Предел функции lim 3x2 - 2x-1 /x2-4x+3. вычислить пределы lim(7x3-4x+2). lim x2-2x-3/x2-3x-4. lim x - 4 корень3x-3-3 2-х кореньх.Под корнем 4x +3 = 2x. корень квадратный из x^2. квадратный корень из x. корень из х + 1/х-2.Функция y=корень x-2. y=корень x-2. y= корень 2. корень 2-x=x-2.Найдите область определения y корень 16-x 2. найти область определения y корень x-5 x+3. найти область определения функции y=x/корень x2-4. найдите область определения функции y корень 12+4x-x 2 корень.Корень x 1 12 2xLg 2 3x+1 -5lg 3x+1 +6. найдите наименьший корень уравнения. найдите корень уравнения 5x 2 3x. найдите корень уравнения:-x=x ..Корень x 1 12 2x2+8÷(0). (х-5)2+(у-10)2=. 7/2х=4 2/3. 5 корень 2x2-3x+1-5 корень x 2-3x+2=0.Y= корень x-3x*2/5. корень(x+4)^2+корень(x-6)^2. y=корень 2x-3x. y=x-корень из -2x+5.(x2+2x-3)×корень из 4-x. 2x+4(x-2)=5-4x. корень x^2-4x+3 + корень 5-0,2x. (0,2)корень x^2-3x+3 >(0,2)^корень x.Область определения функции корень из х 2. найдите область определения функции y корень 2х-3х2. найти область определения y корень x-5 x+3. найдите область определения функции y корень x+2.Х+6=х*4. найди корень уравнения. у=х-4/х^2-х-6. 4х-6х=0.Х1 и х2 корни уравнения. найти корень уравнения.Вычислить предел функции lim корень-x - 1. предел корня из x. корень из x стремится к бесконечности. lim корень x+3.Корень x 1 12 2xКорень x 1 12 2x1 x x 6y 6xy при x корень из 32 y 1 9. y x корень из x 6x +9. корень x-1 + (x-1)=6. y=x-корень из x+6/x+5.Корень x 1 12 2xКорень из 2 sin 7п/8 cos 4pi/8. sin pi 2x+7 /6 -корень 3/2. корень 2 sin п/4+x/2 1. sin x pi 4 корень 2 2.Найдите корень уравнения x+4/2-x=9. . найдите корень уравнения − − − − − 5 2+4( +1) 4( 3 ) 1 x x x = .. как найти корень уравнения. уравнение с одним корнем.Найти производную функции квадратный корень из 3х. как найти 5 производную функции. найти производную функции из корня. производная в функции f(x) =x2.Sinx корень 2/2. sinx корень из 2 на 2. sin x = корень 2. sin2x корень из 2 на 2.Составьте приведенное квадратное уравнение. составить приведенное квадратное уравнение. составьте квадратное уравнение если его корни равны. корень уравнения равен.Область определения функции корень из х 2. найдите область определения функции:1)y=x2-8x. 1. найдите область определения функции. область определения функции из корня.X в квадрате равно. корень х в квадрате -х-3 3. корень из x в квадрате. x в квадрате на корень из х.Корень x 1 12 2xИнтеграл dx/x корень из x^2+5x+1. интеграл корень из x+1/x dx. интеграл dx/корень из x-x^2. dx/корень из 1 - x^2.5*25^x-6*5^x+1,2=(корень 0,2-x^2)^2+x^2. x4+4x3-2x2-12x+9. корень x2+3x+2=0. найдите корни уравнения x-10/x+2=3x/x+2.Корень квадратный из 4x-x 2 > -2z-3x^2. воспользуйся формулой 2x+1 2 (2x+(-1))2.Корни принадлежащие промежутку (-п;п/2). sinx=корень из 3\2 в промежутке [-3п\2;п]. найдите корни уравнения принадлежащие промежутку -2 3. корни принадлежащие отрезку -3п -3п/2.2 корень из x производная. производная x корень из х. производная из 2 корень из x. производная 2x корень x.Интеграл корня из 1+x 2. интеграл корень 1-x 2. интеграл arcsin x dx корень 1-x 2. интеграл (arcsin x)^2/(sqrt(1-x^2)).X-2a/x+2+x-1/x-a 1 один корень. x^2+4x/корень из a-x^2-ax-6x+7. найти все значения а при каждом из которых уравнение x^2+a^2-5x-4a=x+a. при каком значении а уравнение 2а/x+4.