Удиви меня
Корень 2 x 2 интеграл
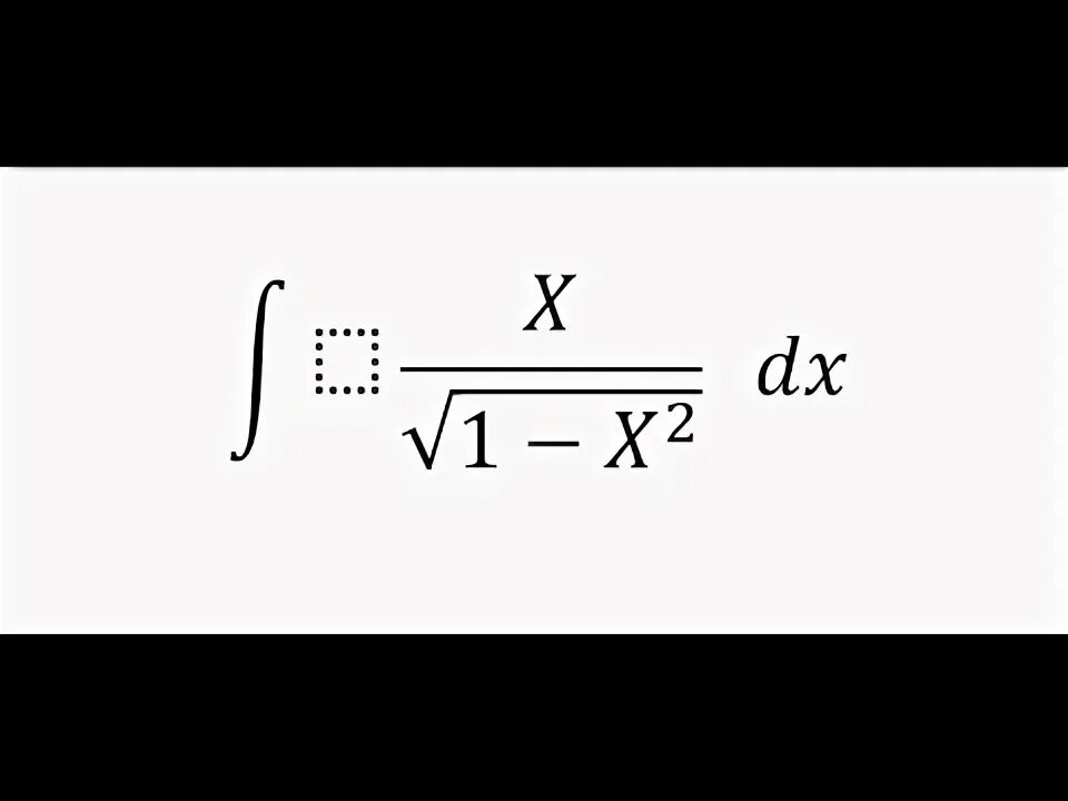
Интеграл корень 2x 3 dx. интеграл dx/x*корень 2+x-x^2. интеграл dx/ корень x^2+3x. интеграл xdx/корень 1-x^2.
Корень 2 x 2 интеграл
Интеграл dx x корень x 2+1. интеграл dx/корень из x-x^2. интеграл от корня из 1+x 2. интеграл корень из x+1/x dx.
Интеграл x^2. интеграл dx/x^2+x+1. интеграл (2x-1)/((x-1)(x-2)). интеграл от 1 до 2 (2x-5)dx.
Интеграл dx/3 корень x + корень x. интеграл dx/x 2. интеграл dx/3+корень 3+x. интеграл от 1 до 5 dx/корень из 2x-1.
Интеграл корень из 4-x 2 dx. корень (4 - x:2) интеграл. интеграл dx/x корень *4-x^2). интеграл корень из 4-x^2.
Интеграл dx/корень из x-x^2. интеграл dx. интеграл от dx/корень из x. интеграл dx/корень 1-x 2.
Интеграл x корень из x^2-2x+2. интеграл dx/корень 6-4x-2x^2. интеграл корень из 4-x^2. интеграл dx/корень из x +4 корень из х.
Интеграл от 1/(корень из 5x^2+1). интеграл 1/корень x. интеграл x^2^:корень 1- x^6 dx. интеграл 1/корень из x dx.
Интеграл 1/x *dx=2x корень из х. интеграл (1+корень из x)^2*2x dx. интеграл корень 2x 3 dx. интеграл 2/корень из 3-x.
Интеграл 4 1 корень x dx. x^2dx/(x^2+4) интеграл. интеграл e^x^2 dx^2. интеграл (x^2+4x+3)*e^3x dx.
Интеграл 1/корень из x. интеграл корень из 1-х^2. интеграл корня из 1+x 2. корень из х dx/1+х интеграл.
Корень x первообразная. интеграл x/ корень 5 степени. интеграл корня пятой степени. интеграл корень 1-x 2.
Интеграл 3 корень из х dx. интеграл dx/корень из x +3 корень из x. вычислить интеграл dx/корень из x ^3. интеграл от dx/корень из x.
Интеграл корень из x+1/x dx. интеграл 1/x *dx=2x корень из х. интеграл dx/корень из x +3 корень из x. интеграл dx/корень из х +1.
Интеграл корень из x+1/x dx. интеграл dx x корень x 2+1. интеграл dx/корень из х +1. интеграл (1+корень из x)^2*2x dx.
Интеграл 1/корень из x. интеграл корень из x 2-1/x. интеграл от 1/корень из 1+x 2. интеграл корня из 1+x 2.
Интеграл корень из х. интегрирование корня из x. интеграл х под корнем. интеграл корня из х формула.
Интеграл dx/корень 1-x 2. интеграл х корень 1-х 2 dx. интеграл корень из х. интеграл из корня квадратного 1 - x2.
Sqrt 1 x 2 интеграл. dx/2x-1 определенный интеграл. интеграл корень из x 2-1/x. интеграл dx/x^2+x+1.
Интеграл корня из 1+x 2. интеграл корень из x 2-1/x. интеграл (1- 1/х²)кореньx dx. интеграл корень из 1-x/1+x.
Dx/(x-1) корень -х2 +2х+3. интеграл корень из х dx. интеграл dx/корень из трех х^2. интеграл от 2 до 2/корень из 3 dx/x(x^2+1).
Интеграл 4 1 xdx/корень 2+4x. интеграл xdx/корень 2+x 2. интеграл dx/корень 1-x 2. интеграл 1 x 2 x 2 dx.
X^2dx/(x^2+4) интеграл. интеграл (х+1)dx/(x 2+x+1)корень (x2+x+1). интеграл (x^2-2x+3)dx. интеграл x^2/(x^3+1) решение.
Интеграл корень х-1/х dx. интеграл корень из x+1/x dx. интеграл dx/корень х +1. интеграл dx корень x - x + 1.
Интеграл корня из 1+x 2. интеграл корень из 1-x 2 dx. интеграл корень xdx /1+x. интеграл корень из 1+х5dx.
Интеграл dx/a^2-x^2. sqrt 1 x 2 интеграл. интеграл 1/sqrt(1+x^2). интеграл sqrt(a^2-x^2).
Неопределенный интеграл (2x^3+1)x^2*dx. интеграл x*2^x. интеграл x/(x^2+a^2).
X^2dx/(x^2+4) интеграл. интеграл dx/x^5-x^2. интеграл 8 1 3 корень х dx. интеграл корень 2x 3 dx.
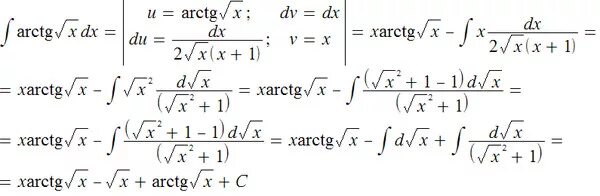
Интеграл от арктангенса корень из х. интеграл арктангенс корня из x. интеграл от arctg корень из x. интеграл arctg корень x.
(6^x-4)dx интеграл. интеграл корень 4-x^2*dx. интеграл (8-x)dx/ корень x^2+4x+8. интеграл корень из 4-x 2 dx.
Интеграл (х+1)dx/(x 2+x+1)корень (x2+x+1). интеграл корень из x+1/x dx. dx/корень 1-x 2. интеграл от dx/корень из x.
Sqrt 1 x 2 интеграл. интеграл (a^2-x^2)^1/2. интеграл sqrt(a^2-x^2). интеграл dx/(x-sqrt(x^2-x+1)).
Интеграл dx/x корень из x^2+5x+1. интеграл 6x^5/x^2 dx =6x. интеграл x^2^:корень 1- x^6 dx. интеграл (x-1)dx/корень 4-9 x^2+9x.
Интеграл 4 1 xdx/корень 2+4x. интеграл от -2 до 1 dx/x 4 dx. x^2dx/(x^2+4) интеграл. интеграл от dx/1+корень из x+1.
Интеграл от корня 3х+1/х. интеграл от корня 5х^4+1. интеграл от корень из икс. интеграл из корня квадратного.
Интеграл xdx/корень 1-x^2. интеграл корня из 1+x 2. интеграл 3x /корень из x2+1. dx/корень 3-2x.
Интеграл dx/ корень 5x+1. интеграл от 2 до 1 dx/5x+6. интеграл dx/5-2x^2. интеграл dx/x корень из x^2+5x+1.
Интеграл корня x^2+a^2. интеграл dx/корень a^2-x^2. интеграл корень из а^2 - x^2. интеграл sqrt(a^2-x^2).
Корень 2 x 2 интеграл
Интеграл dx/x корень из x^2+5x+1. интеграл dx x корень x 2+4x -4. dx x^4+x^2+1. интеграл корень 4-x^2*dx.
X^2dx/(x^2+4) интеграл. интеграл dx/a^2-x^2. интеграл корня x^2+a^2. интеграл dx/корень a^2-x^2.
X^2/(1+x^4) определенный интеграл. определенный интеграл dx. интеграл sqrt(4-x^2). интеграл x^2 sqrt(x^2 + 4).
Интеграл dx/x 2. интеграл dx/x. интеграл dx/a^2-x^2. интеграл dx/корень a^2-x^2.
Интеграл корня из 1+x 2. интеграл корень 1-x 2. интеграл arcsin x dx корень 1-x 2. интеграл (arcsin x)^2/(sqrt(1-x^2)).
Интеграл корень 1-x 2. интеграл dx/(x^2+1)^2. интеграл (х+1)dx/(x 2+x+1)корень (x2+x+1). интеграл корень из x+1/x dx.
Интеграл dx/a^2-x^2. интеграл sqrt(a^2-x^2). интеграл dx/корень из x 2 - a 2. интеграл корня x^2+a^2.
Интеграл x. интеграл от dx/x^2-a^2. интеграл корня x^2+a^2. интеграл sqrt(a^2-x^2).
Интеграл dx x корень x 2+1. интеграл 4 1 xdx/корень 2+4x. интеграл 2x3-корень x5+1/кореньx. интеграл 5 0 x dx корень 3x+1.
X^2dx/(x^2+4) интеграл. интеграл dx/x. интеграл dx/x^2+x+1. интеграл 1/((x-1)^2*(x+2)).
1 x 2 a 2 интеграл. sqrt 1 x 2 интеграл. определенный интеграл от 0 до 1. интеграл от sqrt(a^2 - x^2).
Интеграл корень x dx /x(x2-1). интеграл 4x 3 - 3 корень из х dx. интеграл dx/корень из x-x^2. первообразная 1/корень из x.
Интеграл dx/1+x 2. интеграл 2x+3/x4 dx решение. интеграл(7x^6-8)dx. интеграл х^2-1/х^2+1 дх.
Вычислить интеграл dx/корень из x ^3. интеграл ((1+х)/(корень из х))²dx. интеграл корень из х dx. интеграл (3х-2)/√4х^2+2х-3.
Интеграл 0 -1 3x-2x/6x dx. интеграл 5 1 dx/корень из 2x-1. интеграл корень из х 1 корень х 3 dx. интеграл корень из x+1/x dx.
Интеграл arcsin x. интеграл от arcsin^2 x. формула интеграла арксинуса. интеграл арксинус 2 х.
Интеграл dx/(x^2-4x-5). интеграла ∫1x2+2x+5dx. интеграл x2 / (1 + x3). интеграл x/x^2+2x+5.
Интеграл 1/(1+sqrt(2x+1). sqrt 1 x 2 интеграл. (1-x)(x+2) интеграл. интеграл x 2 sqrt 1-x 2.
Dx/2+sqrt(x+4) интеграл. sqrt(2-x)/x:4 интеграл. интеграл x^2 sqrt(x^2 + 4). sqrt(4+x^2)/x^4 интеграл.
Интеграл e^x2+3 xdx. интеграл x 2 e -x 2. интеграл e^(1/x^2)/x^3 dx. интеграл (x^2+2)/(e^3x)*dx.
Dx/2+sqrt(x+4) интеграл. интеграл x^2 sqrt(x^2 + 4). интеграл sqrt(4-x^2). x^2sqrt(4+x^2)dx.
Корень 2 x 2 интеграл
Интеграл x/x+1. интеграл xdx :(√x⁴-x²-1).
Интеграл х^2-1/х^2+1 дх. интеграл корень из х. интеграл из корня. интеграл корень из х dx.
X^2dx/(x^2+4) интеграл. интеграл x 2 sqrt 1-x 2. интеграл 1-x2 50dx. интеграл от 0 до 1 (x^2-3x+2) dx.
Корень 2 x 2 интеграл
Интеграл 1/sqrt(1+x^2). вычислить интеграл sqrt(1-x^2). интеграл x 2 sqrt 1-x 2. sqrt 1 x 2 интеграл.
Интеграл x2 2dx 1 +4x2. интеграл (x:3+2)/((x-2)(x+1)(x:2-x-2)). x^2dx/(x^2+4) интеграл. интеграл (((x^2+a^2)^(1/2))/x)*dx.
Интеграл dx/x^2+x+1. интеграл dx/a^2-x^2. интеграл dx/(x:2-9):3. x^2dx/(x^2+4) интеграл.
Интеграл dx/a^2-x^2. интеграл dx/(x^2+1)^2. интеграл 1 /(a^2+x^2)^n. 1 1 x 2 интеграл.
Интеграл 1/sqrt(1+x^2). dx/(x^2*sqrt(4-x^2)) в интеграле. интеграл x 2* sqrt a^2-x 2. интеграл 1/sqrt(x^2+a^2).
Вычислите неопределенный интеграл (2x-1)dx. dx/3x-2. неопределенный интеграл (2x+1)^3. интеграл (x^2-2x+3)dx.
Интеграл 4 0 (х-3 корень из х). интеграл корень 1-x 2. интеграл корень квадратный из 1 плюс 4х. интеграл из корня квадратного 1 - x2.
X^2dx/(x^2+4) интеграл. интеграл 4x+4dx решение. интеграл dx/4x^2-4. интеграл dx/x^2+x+1.
Интеграл (х^3 +5) dx. интеграл x^4-x^4-x^4/x^5dx. x^2/(x^4-x^2+1) интеграл. вычислить интеграл dx/корень из x ^3.
Интеграл 1/x. интегрирование 1/(x^2-1)^3. интеграл 1 √ x ( x + 4 ).
Интеграл x^2 sqrt(x^2 + 4). интеграл 1/(3-sqrt(1-4x)). интеграл 1/(sqrt(x^2-4)^3. интеграл 1/((x-5)*sqrt(x^2-x+1).
Интеграл от корня из 1+x 2. интеграл sin x / x. интеграл корень из x. интеграл из корня квадратного 1 - x2.
Интеграл корень из x+1/x dx. интеграл 4 1 xdx/корень 2+4x. интеграл 3 1 dx/x 2. интеграл 6x^5/x^2 dx =6x.
Интеграл x * корень из x^2+1 dx. интеграл x-1/3 корень из x. интеграл корень из x+1/x dx. интеграл от 1 до 4 dx/корень из x +1.
Интеграл x^2 sqrt(x^2 + 4). sqrt(2-x)/x:4 интеграл. интеграл sqrt(a^2-x^2). sqrt 1 x 2 интеграл.
Интеграл x/sqrt 1-x 2. интеграл x 2 sqrt 1-x 2. sqrt 1 x 2 интеграл. интеграл sqrt 1 x 2 dx.
Интеграл dx/1+x 2. интеграл (4^x+2/4^x)dx. интеграл dx/(x^2+1)(x^2+4). интеграл dx/x 2 - x 4.
Sqrt 1 x 2 интеграл. x^3/(sqrt(1 + x^2)) интеграл. интеграл x 2 sqrt 1-x 2. интеграл x/(x^2+a^2).