Удиви меня
Катушка индуктивности 0.6 гн
Катушка индуктивностью 1 гн включается на напряжение 20. имеется катушка индуктивностью 0.2 гн и сопротивление 1.64.
В катушке индуктивностью 0.6 гн сила тока равна 20 а. в катушке индуктивностью 0.6 гн сила тока. индуктивности 20гн. определите энергию магнитного поля катушки индуктивностью 0.2.
Катушка индуктивности 0.6 гн
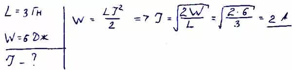
Энергия магнитного поля катушки индуктивности. какова индуктивность катушки. индуктивность катушки 3гн сила тока 6а. максимальная энергия магнитного поля.
Катушка индуктивности 0.6 гн
В катушке с индуктивностью 0.6 гн сила тока 20. задачи на энергию магнитного поля катушки. катушка индуктивности магнитное поле. в катушке индуктивностью 0.6 гн сила тока равна 20 а.
В катушке индуктивностью 0.6 гн. в катушке индуктивностью 0.6 гн сила тока равна 20 а какова энергия.
Энергия магнитного поля катушки. в катушке индуктивностью 0.6 гн сила тока равна 20 а. энергия поля катушки. в катушке индуктивностью 0.6 гн сила тока.
В катушке индуктивностью 0.6 гн.
Катушка индуктивности 0.6 гн
Катушка индуктивности 0.6 гн
Катушка индуктивности 0.6 гн
Катушка индуктивности 0.6 гн
В катушке индуктивностью 0.6 гн сила тока равна 20 а.
Катушка имеет индуктивность 0.144 гн и сопротивление 10 ом. какой должна быть сила тока в обмотке дросселя с индуктивностью 0.5 гн.
Катушка индуктивности 0.6 гн
Катушка индуктивности 0.6 гн
Катушка индуктивности 0.6 гн
Катушка индуктивности 0.6 гн
Катушка индуктивности 0.6 гн
Катушка индуктивности 0.6 гн
В катушке индуктивностью 0.6 гн сила тока равна 20 а. в катушке индуктивностью 0.6 гн сила тока равна 20 а какова энергия. в катушке индуктивностью 0.6 гн сила тока. какова энергия магнитного поля катушки индуктивностью 2 гн.
Катушка индуктивности 0.6 гн
Каково индуктивное сопротивление. катушка сопротивлением 50 ом и индуктивностью 0.001 гн. какой должна быть сила тока в обмотке дросселя с индуктивностью 0.5 гн. в катушке индуктивностью 0.6 гн сила тока равна 20 а.
Катушка индуктивности 0.6 гн
Катушка индуктивности 0.6 гн
Катушка индуктивности 0.6 гн
Катушка индуктивности 0.6 гн
2 катушки индуктивности. сила тока в катушке индуктивности.
В катушке индуктивностью 0.6 гн сила тока равна 20 а. определить энергию магнитного поля. в катушке индуктивностью 0.6 гн сила тока. энергия магнитного поля катушки.
Катушка индуктивности 0.6 гн
Катушка индуктивности 0.3 мгн для питания. катушка индуктивности 0.28 мгн. катушка индуктивности 0.3 мгн для питания квадратная.
Катушка индуктивности 0.6 гн
Катушка индуктивности 0.6 гн
Магнитная энергия катушки индуктивности. энергоемкость катушки индуктивности. магнитная сила тока в катушке индуктивность. как найти силу тока в катушке индуктивности.
Катушка индуктивности 0.6 гн
Катушка индуктивности 0.6 гн
Катушка индуктивности 0.6 гн
Катушка индуктивности 0.2 ом. контурные катушки индуктивности. катушка медная на плате.
Катушка индуктивности 0.6 гн
1310 lp катушка индуктивности. катушка индуктивности 680. 5240-rc катушка индуктивности. катушка индуктивности 22uh.
Гн50. пассивный ккм на дросселе. значения катушки индуктивности для силовой электроники.
Катушка индуктивности 0.6 гн
Катушка индуктивности 0.6 гн
Катушка индуктивности 12гн. 0.47 mg катушка индуктивности. гн50. пра 250.
Сопротивление 20 ом. катушка имеет индуктивность 0.144 гн и сопротивление 10 ом. в катушке индуктивностью 0.6 гн сила тока.
4 катушки индуктивности соединённых параллельно. переходные процессы размыкание катушки индуктивности. на катушке с сопротивлением р=8,2 ом и индуктивностью. к резистору r и катушка индуктивности.
Катушка индуктивности 0.6 гн
Катушка индуктивности 2,2 мгн. 0.2mh катушка индуктивности. jantzen iron core coil 21 awg / 0.70 mm 1.200 mh 0.400 ohm. катушка индуктивности 1 мгн.
Катушка индуктивности 0.6 гн
Катушка индуктивности 0.6 гн
Количество теплоты в катушке индуктивности. сколько тепла выделится на резисторе при отключении. количество теплоты выделившееся на катушке индуктивности.
Катушка индуктивности 0.6 гн
Катушка индуктивности 3+3. катушка индуктивности 200 мкгн. индуктивность тороидальной катушки. катушка индуктивностью 0 1 гн.
Катушка индуктивност 0,08 гн присоединена киисточнику. катушка индуктивностью 0.08. катушку индуктивностью 0.6 гн подключают к источнику тока. катушка индуктивностью 0.08 гн присоединена.
Энергия магнитного поля катушки. энергия магнитного поля катушки индуктивности. энергия магнитного поля равна. энергия магнитного поля индуктивности равна.
Катушка индуктивности 0.6 гн
Катушка индуктивности для акустики. катушка индуктивности 1r40. l602 катушка индуктивности. катушка индуктивности 800.
Катушка индуктивности 0.6 гн
Площадь поперечного сечения катушки. катушка с железным сердечником с площадью поперечного сечения 20. сила тока в катушке с индуктивностью 0,2 гн. однослойная катушка с диаметром каркаса 2см содержит.
Катушка индуктивности visaton sp 0.47 mh/1.0. visaton 3mh0,6. катушка индуктивности visaton sp 0.82 mh/0.6. катушка индуктивности 0.22 мгн.
Vtp-01001. индуктивность 200 мкгн голубой корпус. катушка индуктивности 0.6- 50 мкгн. 100 мкгн катушка вертикальная.
Катушка индуктивности 0.6 гн
Дроссель д32. др-0.0015 20а дроссель. 1310а катушка индуктивности.
Катушка индуктивности 0.6 гн
Дроссель 470 мкгн. дроссель катушка 470. дроссель 10 мгн. катушка индуктивности 100 мкгн.
Катушка индуктивности 01 гн. катушка индуктивностью 0 1 гн и активным. сила тока в катушке индуктивности 0,1 гн. катушка сопротивлением 50 ом и индуктивностью 0.001 гн.
9741h042 катушка индуктивности. катушка индуктивности 200 мгн. катушка индуктивности sr0302. катушки индуктивности: 301m.
По катушке индуктивностью l 0.03 мгн течет ток 0.6 а. в катушке индуктивностью 1 мгн 0.1 с равномерно. мгн индуктивность. в катушке индуктивность сила тока в 0,1.
Катушка индуктивностью 0 1 гн. конденсатор емкости 200мкф и катушка с индуктивностью. колебательный контур из катушки и конденсатора. колебательный контур с двумя катушками индуктивности.
Катушка индуктивности 0.6 гн